



方法2中标量积矩阵的构造方式与方法1中的有所不同。首先令
(4.42)
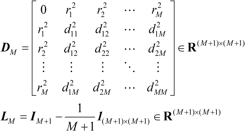
利用传感器和辐射源的位置向量定义如下坐标矩阵
:
(4.43)
式中
(4.44)
假设
为列满秩矩阵,即有
。然后构造如下标量积矩阵:
(4.45)
根据命题2.12可知,矩阵
可以表示为
(4.46)
式中
(4.47)
式(4.46)和式(4.47)提供了构造矩阵
的计算公式,相比于方法1中的标量积矩阵
,方法2中的标量积矩阵
的阶数增加了1维。现对矩阵
进行特征值分解可得
(4.48)
式中,
为特征向量构成的矩阵;
为特征值构成的对角矩阵,并且假设
。由于
,则有
。若令
、
及
,则可以将矩阵
表示为
(4.49)
再利用特征向量之间的正交性可得
(4.50)
【注记4.5】
本章将矩阵
的列空间称为信号子空间(
也称为信号子空间矩阵),将矩阵
的列空间称为噪声子空间(
也称为噪声子空间矩阵)。
类似于命题4.1,这里可以得到如下结论。
【命题4.3】
假设
是行满秩矩阵,则有
(4.51)
命题4.3的证明与命题4.1的证明类似,限于篇幅这里不再重复阐述。式(4.51)给出的关系式至关重要,但并不是最终的关系式。将式(4.51)两边左乘以
可得
(4.52)
式中,第2个等号处的运算利用了式(4.49)。式(4.52)即为最终确定的关系式,它建立了关于辐射源位置向量
的伪线性等式,其中一共包含
个等式,而TOA观测量仅为
个,这意味着该关系式是存在冗余的。
下面将基于式(4.52)构建确定辐射源位置向量
的估计准则,并且推导其最优解。为了简化数学表述,首先定义如下矩阵和向量:
(4.53)
结合式(4.52)和式(4.53)可得
(4.54)
1.一阶误差扰动分析
在实际定位过程中,标量积矩阵
的真实值是未知的,因为其中的真实距离
仅能用其观测值
来代替,这必然会引入观测误差。不妨将含有观测误差的标量积矩阵
记为
,于是利用式(4.46)和式(4.47)可知,矩阵
可以表示为
(4.55)
由于
,于是可以定义如下误差向量:
(4.56)
式中,
表示
中的误差矩阵,即有
。若忽略观测误差
的二阶及其以上各阶项,根据式(4.55)可以将误差矩阵
近似表示为
(4.57)
将式(4.57)代入式(4.56)中可以将误差向量
近似表示为关于观测误差
的线性函数,如下式所示:
(4.58)
式中
(4.59)
式(4.58)的推导见附录A.3。由式(4.58)可知,误差向量
渐近服从零均值的高斯分布,并且其协方差矩阵为
(4.60)
2.定位优化模型及其求解方法
一般而言,矩阵
是列满秩的,即有
。由此可知,协方差矩阵
的秩也为
,但由于
是
阶方阵,这意味着它是秩亏损矩阵,所以无法直接利用该矩阵的逆构建估计准则。下面利用矩阵奇异值分解重新构造误差向量,以使其协方差矩阵具备满秩性。
首先对矩阵
进行奇异值分解,如下式所示:
(4.61)
式中,
为
阶正交矩阵;
为
阶正交矩阵;
为
阶对角矩阵,其中的对角元素为矩阵
的奇异值。为了得到协方差矩阵为满秩的误差向量,可以将矩阵
左乘以误差向量
,并结合式(4.56)和式(4.58)可得
(4.62)
由式(4.61)可得
,将该式代入式(4.62)中可知,误差向量
的协方差矩阵为
(4.63)
容易验证
为满秩矩阵,并且误差向量
的维数为
,其与TOA观测量个数相等,此时可以将估计辐射源位置向量
的优化准则表示为
(4.64)
式中,
可以看作加权矩阵,其作用在于抑制观测误差
的影响。不妨将矩阵
分块表示为
(4.65)
则可以将式(4.64)重新写为
(4.66)
根据命题2.13可知,式(4.66)的最优解为
(4.67)
【注记4.6】
由式(4.60)、式(4.61)及式(4.63)可知,加权矩阵
与辐射源位置向量
有关。因此,严格来说,式(4.66)中的目标函数并不是关于向量
的二次函数,针对该问题,可以采用注记4.1中描述的方法进行处理。理论分析表明,在一阶误差分析理论框架下,加权矩阵
中的扰动误差并不会实质影响估计值
的统计性能。
图4.8给出了本章第2种加权多维标度定位方法的流程图。
图4.8 本章第2种加权多维标度定位方法的流程图
下面将推导估计值
的理论性能,主要是推导估计均方误差矩阵,并将其与相应的克拉美罗界进行比较,从而证明其渐近最优性。这里采用的性能分析方法是一阶误差分析方法,即忽略观测误差
的二阶及其以上各阶项。
首先将最优解
中的估计误差记为
。基于式(4.67)和注记4.6中的讨论可知
(4.68)
式中,
表示
的估计值。在一阶误差分析框架下,基于式(4.68)可以进一步推得
(4.69)
式中,
,表示矩阵
中的扰动误差。由式(4.69)可知,估计误差
渐近服从零均值的高斯分布,因此估计值
是渐近无偏估计,并且其均方误差矩阵为
(4.70)
【注记4.7】
式(4.69)再次表明,在一阶误差分析理论框架下,矩阵
中的扰动误差
并不会实质影响估计值
的统计性能。
下面证明估计值
具有渐近最优性,也就是证明其估计均方误差矩阵可以渐近逼近相应的克拉美罗界,具体可见如下命题。
【命题4.4】
在一阶误差分析理论框架下,
。
【证明】 首先将式(4.63)代入式(4.70)中可得
(4.71)
对比式(4.37)和式(4.71)可知,下面仅需要证明
(4.72)
考虑等式
,将该等式两边对向量
求导可知
(4.73)
再用矩阵
左乘以式(4.73)两边可得
(4.74)
由式(4.74)可知式(4.72)成立。证毕。
假设利用6个传感器获得的TOA信息(也即距离信息)对辐射源进行定位,传感器三维位置坐标如表4.2所示,距离观测误差
服从均值为零、协方差矩阵为
的高斯分布。
表4.2 传感器三维位置坐标 (单位:m)
首先将辐射源位置向量设为
(m),将标准差设为
,图4.9给出了定位结果散布图与定位误差椭圆曲线;图4.10给出了定位结果散布图与误差概率圆环曲线。
图4.9 定位结果散布图与定位误差椭圆曲线
图4.10 定位结果散布图与误差概率圆环曲线
然后将辐射源坐标设为两种情形:第1种是近场源,其位置向量为
(m);第2种是远场源,其位置向量为
(m)。改变标准差
的数值,图4.11给出了辐射源位置估计均方根误差随着标准差
的变化曲线;图4.12给出了辐射源定位成功概率随着标准差
的变化曲线(图中的理论值是根据式(3.29)和式(3.36)计算得出的,其中
m)。
图4.11 辐射源位置估计均方根误差随着标准差 σ t 的变化曲线
最后将标准差
设为两种情形:第1种是
;第2种是
,将辐射源位置向量设为
(m)。改变参数
的数值,图4.13给出了辐射源位置估计均方根误差随着参数
的变化曲线;图4.14给出了辐射源定位成功概率随着参数
的变化曲线(图中的理论值是根据式(3.29)和式(3.36)计算得出的,其中
m)。
图4.12 辐射源定位成功概率随着标准差 σ t 的变化曲线
图4.13 辐射源位置估计均方根误差随着参数 k 的变化曲线
从图4.11~图4.14中可以看出:(1)基于加权多维标度的定位方法2的辐射源位置估计均方根误差同样可以达到克拉美罗界(见图4.11和图4.13),这验证了4.3.4节理论性能分析的有效性;(2)随着辐射源与传感器距离的增加,其定位精度会逐渐降低(见图4.13和图4.14),其对近场源的定位精度要高于对远场源的定位精度(见图4.11和图4.12);(3)两类定位成功概率的理论值和仿真值相互吻合,并且在相同条件下第2类定位成功概率高于第1类定位成功概率(见图4.12和图4.14),这验证了3.2节理论性能分析的有效性。
图4.14 辐射源定位成功概率随着参数 k 的变化曲线
[1] 参数 k 越大,辐射源与传感器之间的距离越远。