



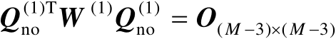
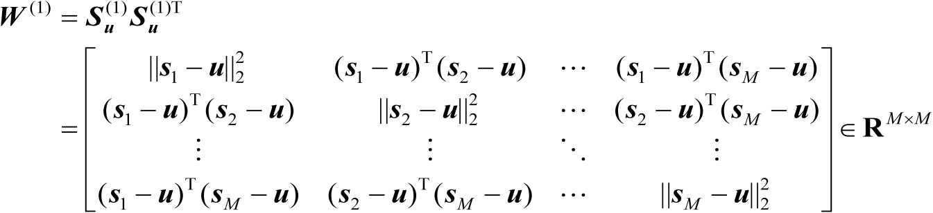
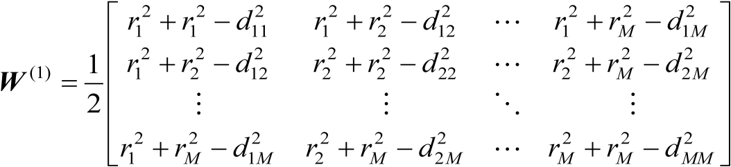
在多维标度分析中,需要构造标量积矩阵。首先利用传感器和辐射源的位置向量定义如下坐标矩阵:
(4.5)
式中,
。假设
为列满秩矩阵,即有
。然后构造如下标量积矩阵:
(4.6)
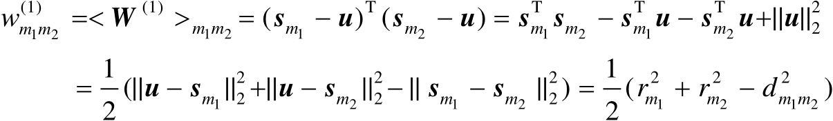
容易验证,该矩阵中的第
行、第
列元素为
(4.7)
式中,
。式(4.7)实际上提供了构造矩阵
的计算公式,如下式所示:
(4.8)
现对矩阵
进行特征值分解,可得
(4.9)
式中,
为特征向量构成的矩阵;
为特征值构成的对角矩阵,并且假设
。由于
,则有
。若令
、
及
,则可以将矩阵
表示为
(4.10)
再利用特征向量之间的正交性可得
(4.11)
【注记4.1】
本章将矩阵
的列空间称为信号子空间(
也称为信号子空间矩阵),将矩阵
的列空间称为噪声子空间(
也称为噪声子空间矩阵)。
下面将给出一个重要的关系式,它对于确定辐射源位置至关重要。首先将式(4.6)代入式(4.11)中可得
(4.12)
由式(4.12)可知
(4.13)
接着将式(4.5)代入式(4.13)中可得
(4.14)
式(4.14)是关于辐射源位置向量
的子空间等式,但其中仅包含噪声子空间矩阵
。根据式(4.10)可知,标量积矩阵
是由信号子空间矩阵
表示的,因此下面还需要获得向量
与矩阵
之间的关系式,具体可见如下命题
[28]
。
【命题4.1】
假设
是行满秩矩阵,则有
(4.15)
【证明】 首先利用式(4.14)可得
(4.16)
将式(4.16)两边右乘以
,然后两边再同时除以
可得
(4.17)
由于
是行满秩矩阵,结合第2章命题2.5和式(4.17)可得
(4.18)
根据对称矩阵特征向量之间的正交性可知
,最后将该式与式(4.18)相结合可得
(4.19)
证毕。
式(4.15)给出的关系式至关重要,命题4.1是根据子空间正交性原理对其进行证明的,附录A.1中还基于矩阵求逆定理给出了另一种证明方法。
需要指出的是,式(4.15)并不是最终的关系式,为了得到用于定位的关系式,还需要将式(4.15)两边左乘以
,可得
(4.20)
式中,第2个等号处的运算利用了式(4.10)。式(4.20)即为最终确定的关系式,它建立了关于辐射源位置向量
的伪线性等式,其中一共包含
个等式,而TOA观测量也为
个,因此观测信息并无损失。
【注记4.2】
虽然在上面的推导过程中利用了信号子空间矩阵
和噪声子空间矩阵
,但是在最终得到的关系式(4.20)中并未出现这两个矩阵,这意味着无须进行矩阵特征值分解即可完成辐射源定位。
下面将基于式(4.20)构建确定辐射源位置向量
的估计准则,并且推导其最优解。为了简化数学表述,首先定义如下矩阵和向量:
(4.21)
结合式(4.20)和式(4.21)可得
(4.22)
1.一阶误差扰动分析
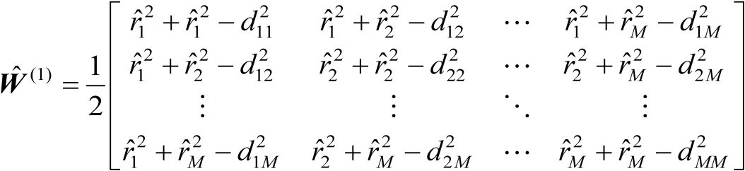
在实际定位过程中,标量积矩阵
的真实值是未知的,因为其中的真实距离
仅能用其观测值
来代替,这必然会引入观测误差。不妨将含有观测误差的标量积矩阵
记为
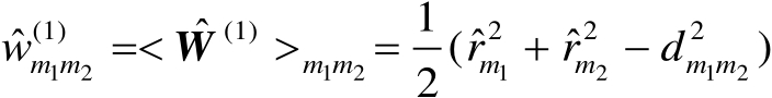
,于是根据式(4.7)可知,矩阵
中的第
行、第
列元素为
(4.23)
进一步可得
(4.24)
由于
,于是可以定义如下误差向量:
(4.25)
式中,
表示
中的误差矩阵,即有
。若忽略观测误差
的二阶及其以上各阶项,则根据式(4.24)可以将误差矩阵
近似表示为
(4.26)
将式(4.26)代入式(4.25)中可以将误差向量
近似表示为关于观测误差
的线性函数,如下式所示:
(4.27)
式中
(4.28)
式(4.27)的推导见附录A.2。由式(4.27)可知,误差向量
渐近服从零均值的高斯分布,并且其协方差矩阵为
(4.29)
2.定位优化模型及其求解方法
基于式(4.25)和式(4.29)可以构建估计辐射源位置向量
的优化准则,如下式所示:
(4.30)
式中,
可以看作加权矩阵,其作用在于抑制观测误差
的影响。不妨将矩阵
分块表示为
(4.31)
于是可以将式(4.30)重新写为
(4.32)
根据命题2.13可知,式(4.32)的最优解为
(4.33)
【注记4.3】
由式(4.29)可知,加权矩阵
与辐射源位置向量
有关,因此严格来说,式(4.32)中的目标函数并不是关于向量
的二次函数。庆幸的是,该问题并不难以解决,可以先将
设为单位矩阵,从而获得关于向量
的初始值,然后再重新计算加权矩阵
,并再次得到向量
的估计值,重复此过程3~5次即可获得预期的估计精度。理论分析表明,在一阶误差分析理论框架下,加权矩阵
中的扰动误差并不会实质影响估计值
的统计性能。
图4.1给出了本章第1种加权多维标度定位方法的流程图。
图4.1 本章第1种加权多维标度定位方法的流程图
下面将推导估计值
的理论性能,主要是推导估计均方误差矩阵,并将其与相应的克拉美罗界进行比较,从而证明其渐近最优性。这里采用的性能分析方法是一阶误差分析方法,即忽略观测误差
的二阶及其以上各阶项。
首先将最优解
中的估计误差记为
。基于式(4.33)和注记4.3中的讨论可知
(4.34)
式中,
表示
的估计值。在一阶误差分析框架下,基于式(4.34)可以进一步推得
(4.35)
式中,
表示矩阵
中的扰动误差。由式(4.35)可知,估计误差
渐近服从零均值的高斯分布,因此估计值
是渐近无偏估计,并且其均方误差矩阵为
(4.36)
【注记4.4】
式(4.35)表明,在一阶误差分析理论框架下,矩阵
中的扰动误差
并不会实质影响估计值
的统计性能。
下面证明估计值
具有渐近最优性,也就是证明其估计均方误差矩阵可以渐近逼近相应的克拉美罗界,具体可见如下命题。
【命题4.2】
在一阶误差分析理论框架下,
。
【证明】 首先根据命题3.1可知
(4.37)
式中
(4.38)
然后将式(4.29)代入式(4.36)中可得
(4.39)
对比式(4.37)和式(4.39)可知,下面仅需要证明
(4.40)
考虑等式
,将该等式两边对向量
求导可得
(4.41)
由式(4.41)可知式(4.40)成立。证毕。
假设利用5个传感器获得的TOA信息(也即距离信息)对辐射源进行定位,传感器三维位置坐标如表4.1所示,距离观测误差
服从均值为零、协方差矩阵为
的高斯分布。
表4.1 传感器三维位置坐标 (单位:m)
首先将辐射源位置向量设为
(m),将标准差设为
,图4.2给出了定位结果散布图与定位误差椭圆曲线;图4.3给出了定位结果散布图与误差概率圆环曲线。
图4.2 定位结果散布图与定位误差椭圆曲线
图4.3 定位结果散布图与误差概率圆环曲线
然后将辐射源坐标设为两种情形:第1种是近场源,其位置向量为
(m);第2种是远场源,其位置向量为
(m)。改变标准差
的数值,图4.4给出了辐射源位置估计均方根误差随着标准差
的变化曲线;图4.5给出了辐射源定位成功概率随着标准差
的变化曲线(图中的理论值是根据式(3.29)和式(3.36)计算得出的,其中
m)。
图4.4 辐射源位置估计均方根误差随着标准差 σ t 的变化曲线
图4.5 辐射源定位成功概率随着标准差 σ t 的变化曲线
最后将标准差
设为两种情形:第1种是
;第2种是
,将辐射源位置向量设为
(m)
[1]
。改变参数
的数值,图4.6给出了辐射源位置估计均方根误差随着参数
的变化曲线;图4.7给出了辐射源定位成功概率随着参数
的变化曲线(图中的理论值是根据式(3.29)和式(3.36)计算得出的,其中
m)。
图4.6 辐射源位置估计均方根误差随着参数 k 的变化曲线
图4.7 辐射源定位成功概率随着参数 k 的变化曲线
从图4.4~图4.7可以看出:(1)基于加权多维标度定位方法1的辐射源位置估计均方根误差可以达到克拉美罗界(见图4.4和图4.6),这验证了4.2.4节理论性能分析的有效性;(2)随着辐射源与传感器距离的增加,其定位精度会逐渐降低(见图4.6和图4.7),其对近场源的定位精度要高于对远场源的定位精度(见图4.4和图4.5);(3)两类定位成功概率的理论值和仿真值相互吻合,并且在相同条件下第2类定位成功概率高于第1类定位成功概率(见图4.5和图4.7),这验证了3.2节理论性能分析的有效性。