购买
下载掌阅APP,畅读海量书库
立即打开
畅读海量书库
扫码下载掌阅APP

3.4 定位误差概率圆环

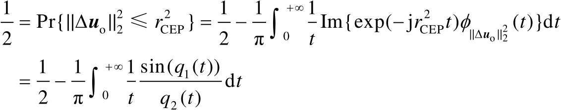
本节将介绍定位误差概率圆环(Circular Error Probable,CEP)的基本概念,这是一种相对粗糙但简单的刻画定位精度的度量标准。误差概率圆环定义了一个圆,其圆心位于估计值的均值(对于无偏估计而言就是辐射源的真实位置),圆半径的选取原则是保证估计值以概率0.5落入圆内。

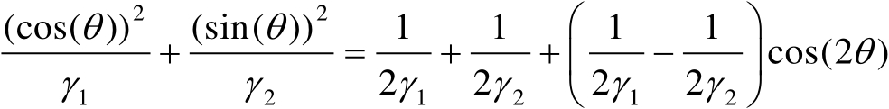
为了简化数学分析,下面以 为例进行讨论。根据上述定义可知,若将误差概率圆环半径(CEP半径)记为 ,则有

(3.62)

式中

(3.63)

下面将基于式(3.62)推导半径 的表达式。

首先类似于式(3.47)可知

(3.64)

式中

(3.65)

利用变量替换 可以将式(3.64)转化为

(3.66)

为了简化式(3.66),需要引入第1类零阶修正贝塞尔函数

(3.67)

式中的积分具有周期性,对于任意正整数 都满足

(3.68)

由式(3.68)可以推得

(3.69)

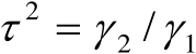
若令 ,并进行坐标变换可得

(3.70)

利用三角恒等式可得

(3.71)

将式(3.71)代入式(3.66)中可得

(3.72)

通过坐标变换可以最终得到等式

(3.73)

式中,

从式(3.73)中不难看出,半径 的表达式应为 ,其中 是某个确定但未知的函数。如果式(3.55)中的 ,则有 ,此时由式(3.73)可以解得 。然而,绝大多数情况下 ,此时需要利用数值积分获得 的数值解。值得一提的是,文献[60]中给出了计算 的简单公式,如下式所示:

(3.74)

式(3.74)的误差取决于 的数值。

另一方面,利用式(3.30)还可以获得另一种计算 的方法。根据式(3.30)和式(3.36)可知

(3.75)

式中

(3.76)

将式(3.76)代入式(3.75)中可得

(3.77)

由式(3.77)可知,半径 可以看作一维优化问题

(3.78)

的最优解。通过优化求解式(3.78)即可获得半径 的数值解。

基于图3.2描述的定位场景,图3.6和图3.7分别给出了辐射源坐标(220m,90m)和(10m,30m)对应的误差概率圆环曲线,图中的两个圆环半径分别是基于式(3.74)和式(3.78)计算所得的。从图中不难看出,两种方法计算出的误差概率圆环半径是比较接近的。

图3.6 时差定位结果散布图与误差概率圆环曲线(辐射源坐标为(220m,90m))

图3.7 时差定位结果散布图与误差概率圆环曲线(辐射源坐标为(10m,30m))


[1] 也应是校正源位置向量 的函数,但由于 精确已知,所以无须将其作为变量来看待。 WcnYFoME0wUyGEdj5bPE2OhkZnVDF7B44b1hI+eD500ZaRY3aOQu+2lWcaTgtxsN

点击中间区域
呼出菜单
上一章
目录
下一章
×