



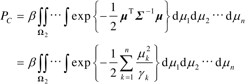
本节将介绍定位误差椭圆的相关概念。假设辐射源位置向量
的某个无偏估计值为
,服从高斯分布,并且均方误差矩阵为
,则估计向量
的概率密度函数为
(3.40)
该概率密度函数的等值曲线可以表示为
(3.41)
式中,
为任意正常数,由它可以确定曲线表面所包围的
维区域大小。当
时,其表面为椭圆;当
时,其表面为椭圆体;当
时,其表面为超椭圆体。需要指出的是,若
不为对角矩阵,则超椭圆体的主轴就不会与坐标轴平行。
估计向量
位于式(3.41)定义的超椭圆体内部的概率为
(3.42)
式中,积分区域
为
(3.43)
下面将式(3.42)中的多重积分转化为单重积分。
首先引入变量
,此时可以将式(3.42)转化为
(3.44)
式中,
,其中的积分区域
为
(3.45)
下面简化式(3.44),通过旋转坐标轴以使其与超椭圆体主轴平行。由于
是对称正定矩阵,则一定存在正交矩阵
满足
(3.46)
式中,
表示矩阵
的
个特征值。若令
,则可以将式(3.44)转化为
(3.47)
式中
(3.48)
若再令
,则还可以将式(3.47)进一步简化为
(3.49)
式中
(3.50)
式(3.49)中第2个等号处的运算利用了等式
。根据文献[60]可知,对于半径为
的超球体
,其体积为
(3.51)
式中,
为伽马函数。由式(3.51)可知,超球体的体积微分与半径微分之间满足
(3.52)
于是可以将式(3.49)最终简化为
(3.53)
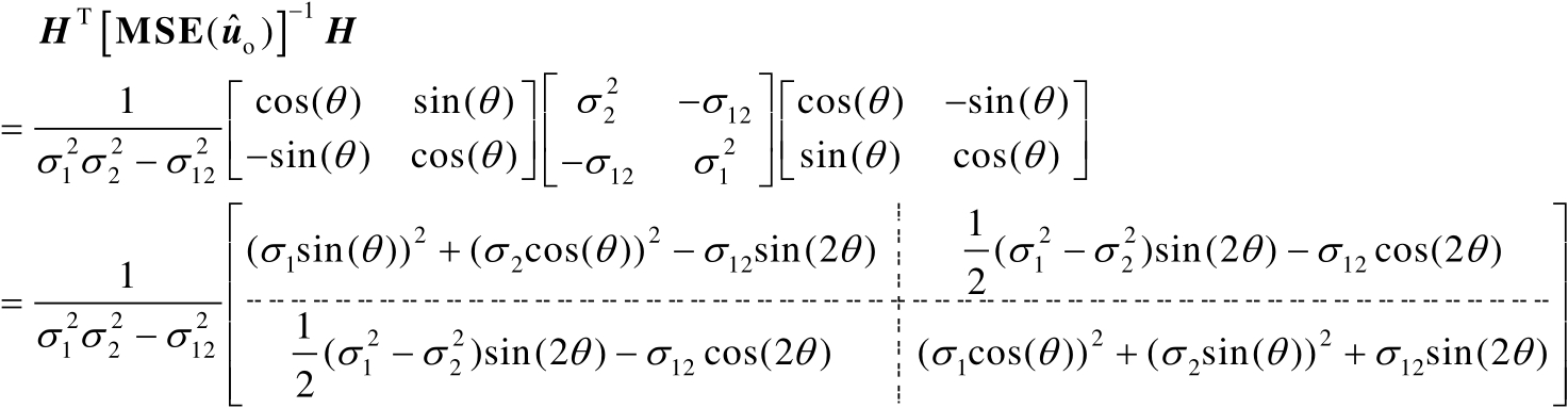
不难证明,当
时,式(3.53)中的积分式可以分别表示为如下更为简化的形式:
(3.54)
式中,
表示误差函数,其表达式为
。
【注记3.11】
概率
随着参数
的增大而单调递增,如图3.1所示。
图3.1 概率
随着参数
的变化曲线
定位误差椭圆面积能够体现出定位精度的高低。下面将参数
固定为
,将概率
固定为
,然后以
为例,推导定位误差椭圆
的面积。对于固定概率
而言,定位误差椭圆面积越小,定位精度越高。
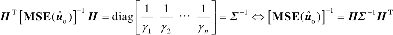
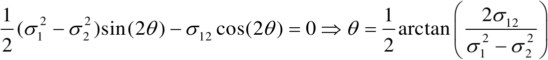
首先将二维均方误差矩阵
表示为
(3.55)
为了推导椭圆
的面积,需要进行坐标轴旋转,以使得坐标轴方向与椭圆主轴方向一致。针对二维坐标系,其旋转矩阵可以表示为
(3.56)
式中,旋转角度
的选取应能使
为对角矩阵。结合式(3.55)和式(3.56)可得
(3.57)
为了使
为对角矩阵,需要满足
(3.58)
当
满足式(3.58)时,矩阵
可以写为
(3.59)
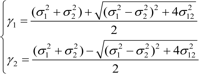
式中,
和
表示矩阵
的两个特征值,并且满足
,它们的表达式分别为
(3.60)
若令
,则旧坐标系中由
定义的椭圆在新坐标系中将由
或
来描述,该椭圆的主轴和副轴的长度分别为
和
,于是椭圆
的面积为
(3.61)
式中,第4个等号处的运算利用了关系式
。
需要指出的是,定位误差椭圆面积和形状不仅与定位观测量的精度有关,还与辐射源与传感器之间的相对位置有关。图3.2给出了在5站时差定位场景下,辐射源处于不同位置时的定位结果散布图,其中给出了2000次蒙特卡洛独立实验的结果,定位方法采用文献[58]中的泰勒级数迭代法,距离差(可等价为时间差)观测误差的协方差矩阵设为
。从图中不难看出,定位结果散布图呈椭圆形分布,并且定位误差椭圆面积和形状与辐射源位置有关,椭圆面积越小,定位精度越高。图3.3给出了时差定位误差椭圆面积随着概率
的变化曲线,其中选取了4个不同的位置坐标。从图中可以看出,定位误差椭圆面积随着概率
的增加而增大。图3.4和图3.5分别将辐射源坐标(220m,90m)和(10m,30m)对应的定位结果散布图进行了显示放大,图中还给出了3个概率值(分别为0.5、0.7及0.9)对应的定位误差椭圆曲线。
图3.2 传感器位置分布与时差定位结果散布图
图3.3 时差定位误差椭圆面积随着概率 P C 的变化曲线
图3.4 时差定位结果散布图与误差椭圆曲线(辐射源坐标为(220m,90m))
图3.5 时差定位结果散布图与误差椭圆曲线(辐射源坐标为(10m,30m))