



本节将给出定位成功概率的定义及其理论计算公式。假设辐射源位置向量
的某个无偏估计值为
,其均方误差矩阵为
,于是有
(3.27)
式中,
表示估计误差,假设其服从高斯分布,并且其均值为零,协方差矩阵为
。
下面给出两类定位成功概率的定义,并且分别推导它们的理论表达式。
【定义3.1】
若定位误差满足
(其中
表示误差向量
的维数),则认为是第1类定位成功。
由于误差向量
的概率密度函数为
(3.28)
于是第1类定位成功概率的计算公式为
(3.29)
显然,式(3.29)是正方体上的高维积分,可以通过数值运算获得其数值解。
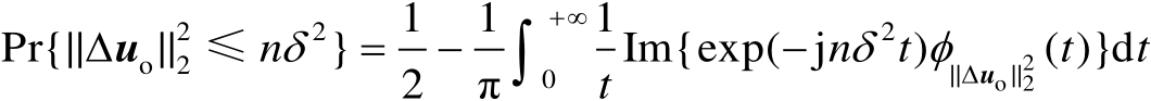
【定义3.2】
若定位误差满足
,则认为是第2类定位成功。
第2类定位成功所满足的条件等价为
,于是第2类定位成功概率可以表示为
。利用文献[59]中的结论可以得到如下关系式:
(3.30)
式中,
表示虚数单位,满足
;
表示随机变量
的特征函数。下面需要确定函数
的表达式,具体可见如下命题。
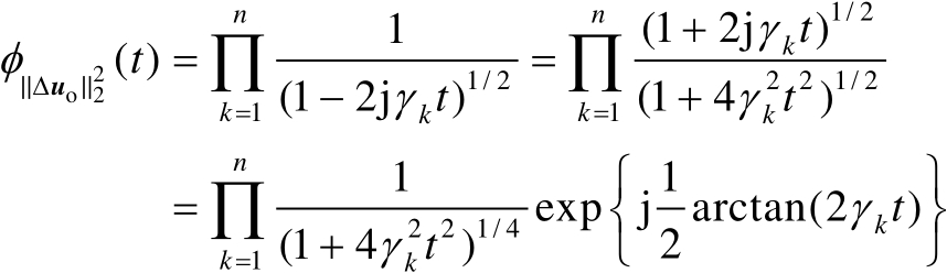
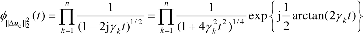
【命题3.7】
若均方误差矩阵
的
个特征值为
,则随机变量
的特征函数可以表示为
(3.31)
【证明】
令随机向量
服从均值为零、协方差矩阵为
的高斯分布,则有
(3.32)
式中,
表示两边的随机变量服从相同的概率分布。对矩阵
进行特征值分解可得
(3.33)
式中,
表示对应于特征值
的单位特征向量。将式(3.33)代入式(3.32)中可得
(3.34)
式中,
。由于
是服从均值为零、方差为1的高斯随机变量,于是随机变量
的特征函数为
,而随机变量
的特征函数为
。另一方面,利用对称矩阵特征向量之间的正交性可知,
与
(
)之间相互统计独立,于是
与
(
)之间也相互统计独立,由此可得
(3.35)
证毕。
将式(3.31)代入式(3.30)中可得
(3.36)
式中
(3.37)
由式(3.36)可知,第2类定位成功概率可以通过一维数值积分来获得,并且其积分区间为
,为此需要分析被积分函数在
和
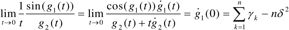
时的取值。首先根据洛必达法则可得
(3.38)
并且不难验证
(3.39)
由于当
时被积分函数趋于零,因此式(3.36)中的积分上限可以选取一个充分大的正数来逼近。
【注记3.9】 不难证明,第1类定位成功概率总是小于第2类定位成功概率,这是因为第1类定位成功概率是在正方体内进行积分的,而第2类定位成功概率是在该正方体的外接球内进行积分的,显然第2类积分区域要大于第1类积分区域。
【注记3.10】
根据定义3.1和定义3.2可知,两类定位成功概率均随着
的增加而增加,当
时,无论采用何种定位方法,两类定位成功概率都将趋于1;当
时,无论采用何种定位方法,两类定位成功概率都将趋于0。因此,参数
应根据具体的定位场景和需求来选取。