



本节将介绍关于拉格朗日乘子法的预备知识,拉格朗日乘子法可用于求解含等式约束的优化问题。
1.基本原理
含等式约束优化问题的数学模型为
(2.51)
式(2.51)的求解方法可见如下命题。
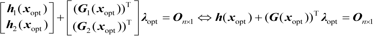
【命题2.14】
设
和
均为连续一阶可导函数,记向量
是式(2.51)的局部最优解,
是
的梯度向量(即有
),
是函数
的Jacobian矩阵(即有
),并且
是行满秩矩阵,则存在
维列向量
满足
(2.52)
【证明】
由于向量
是式(2.51)的局部最优解,它一定也是可行解,于是满足
。另一方面,由于
是
阶行满秩矩阵,其中必然存在
阶子矩阵是可逆的,不失一般性,假设其中前
列构成的子矩阵可逆,则根据隐函数定理可知,在
的某个
-领域内,基于方程组
可以确定将
的前
个变量
表示成关于其后
个变量
的闭式函数,不妨将该函数记为
,于是下面仅需要考虑对向量
进行优化即可。
现将矩阵
按列分块表示为
,其中
为
的前
列构成的子矩阵(可逆),
为
的后
列构成的子矩阵,则在向量
处通过对恒等式
求一阶导数可以建立如下等式:
(2.53)
接着将向量
按行分块表示为
。其中,
为
的前
个分量构成的子向量,
为
的后
个分量构成的子向量。由于向量
是式(2.51)的局部最优解,于是有
(2.54)
将式(2.53)代入式(2.54)中可得
(2.55)
若令
,则有
(2.56)
将式(2.56)中的两个等式合并可得
(2.57)
证毕。
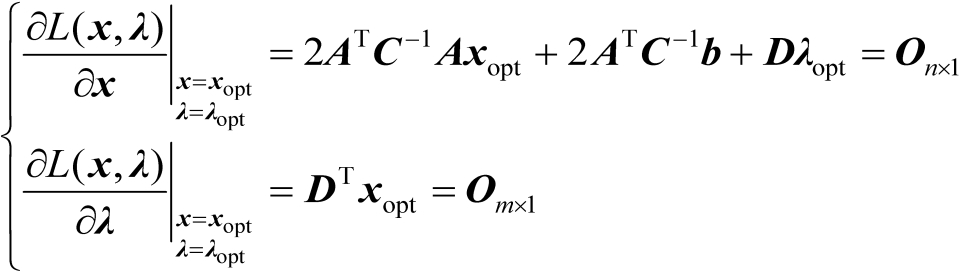
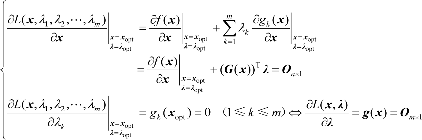
命题2.14间接给出了求解式(2.51)的方法,即拉格朗日乘子法。为了求解式(2.51)可以构造如下拉格朗日函数:
(2.58)
式中,
称为拉格朗日乘子。式(2.51)的最优解
和
需要满足如下等式:
(2.59)
可以将式(2.59)看成关于
和
的方程组,其中的方程个数为
,未知参数个数也为
。在一些特殊情况下,该方程组存在闭式解,但是在绝大多数情况下,该方程组并不存在闭式解,需要通过数值技术来进行求解。
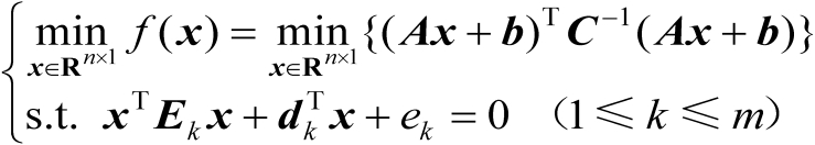
2.两种数学优化模型
下面将讨论本书涉及的两种数学优化模型,第1种模型存在最优闭式解,第2种模型则不存在最优闭式解。
首先考虑第1种模型。设列满秩矩阵
、正定矩阵
、向量
及向量组
,相应的数学优化模型为
(2.60)
式(2.60)对应的拉格朗日函数为
(2.61)
式中,
,假设其为列满秩矩阵。根据式(2.59)可知,式(2.60)的最优解
和
应满足如下等式:
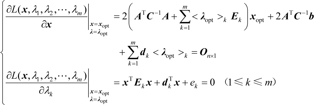
(2.62)
由式(2.62)中的第1式可得
(2.63)
将式(2.63)代入式(2.62)中的第2式可得
(2.64)
最后将式(2.64)代入式(2.63)中可得
(2.65)
从上述推导中不难发现,优化模型式(2.60)的最优闭式解存在,这是因为其中的等式约束为线性约束。
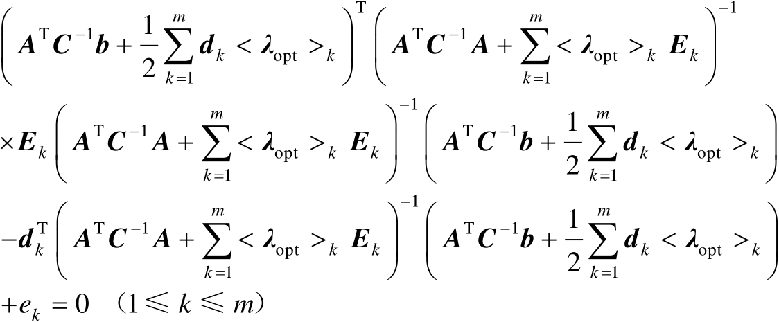
接着考虑第2种模型。设列满秩矩阵
、正定矩阵
、向量
、向量组
、对称矩阵组
及标量组
,相应的数学优化模型为
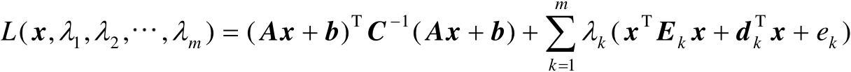
(2.66)
式(2.66)对应的拉格朗日函数为
(2.67)
根据式(2.59)可知,式(2.66)的最优解
和
应满足如下等式:
(2.68)
由式(2.68)中的第1式可得
(2.69)
将式(2.69)代入式(2.68)中的第2式可得
(2.70)
不难发现,式(2.70)是关于
的非线性方程,需要通过迭代或多项式求根的方式进行数值求解,将
的数值解代入式(2.69)中即可得到最优解
。从上述推导中不难发现,由于
的最优闭式解并不存在,因此优化模型式(2.66)的最优闭式解无法获得,需要利用数值技术进行求解,这是因为其中的等式约束为非线性约束(事实上为二次约束)。