



针对1.1节所述的电视制导系统在控制指令加密方法、图像加密方式及载波通信传输3个方面的不足,本书后续章节将主要围绕如何利用混沌信号处理的相关技术解决电视制导吊舱抗干扰能力的问题展开研究。
通过对目前国内外电视制导吊舱的控制指令、视频加密和射频组件的研究与分析,不难发现当前电视制导系统普遍存在以下3个方面的不足。
(1)电视制导系统的编码/译码方法过于简单,容易被敌方破译并遭受攻击:①密钥通过公开信道传输,完全暴露给敌方,很容易被截获;②编码组件采用分组密码方式,密钥空间较小;③载机-导弹之间没有认证,即不能抵抗“欺骗编码”,而且不同载机发射的电视制导导弹在邻近区域使用时会相互干扰。
(2)在控制指令无线电传输方面,国际上文献可查的指令信号的调制方式为AM、PM或FM单载波调制,所以一旦被敌方跟踪,整个数据链很可能完全被敌方压制。下面以AM调制方式为例进行原理性分析。
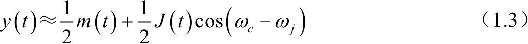
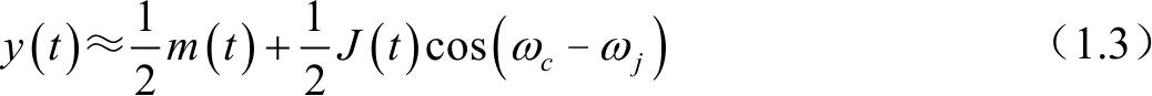
设基带信号为 m ( t ),载波为 v ( t )= A cos( ω v t ),载波初相为0。则AM调制信号为 s AM( t ) =[ A + m ( t )]cos( ω v t ),调制幅度为1。在讨论有源干扰时,一般不考虑自然噪声的影响,并设信号初相为0。当干扰信号采用调幅干扰时为 j ( t )= J ( t )cos( ω j t )。接收机输入端的合成信号为
经过解调,并被后续滤波器滤除直流项和高频项后,解调器的输出信号为
由式(1.3)可以看出,干扰源对调制信号的影响分为两个方面:① J ( t ),即只要干扰信号电平足够大,就能对AM信号起到干扰压制作用;②cos( ω c - ω j ),说明干扰源载波频率越接近信号载波频率,干扰效果越好。敌方采用搜索机或全景接收机搜索截获该频率后,能够很容易地实施干扰。因此,这种单载波调制方法无法满足载机和导弹之间通信安全性和可靠性的需要 [55] 。文献[43]证明了对AM通信信号的最佳干扰方式为噪声调制干扰,即采用调频指数小于等于1的调频信号,并且其带宽与AM信号带宽一致,即可实现对AM调制信号的有效干扰。对于单载波电视制导系统,窄带噪声调制干扰最直接的结果就是造成通信接收机终端的差错率(误码率)增大,甚至完全被压制,使载机失去对导弹的控制。
(3)电视图像的质量直接影响武器操控者对攻击目标状态的判读,因此,图像的传输质量直接影响电视制导导弹的命中精度。以国际标准PAL制式信号为例进行分析,假设PAL图像信号为25帧/s、场频为50Hz,按照全电视信号的发送格式逐行发送,如图1.5所示。但这种发送方式存在一个缺陷:加密电路采用模拟电路搭建,加密方式固定,且算法较为简单,很容易被敌方通过穷举法破译,若被破译则导弹的探测视野和飞行路径就会暴露给敌方,敌方就能以此判断导弹的空间位置,实施有效拦截。
图1.5 电视制导系统图像传输方式
混沌信号具有非周期、宽频谱、类噪声等特性,混沌的功率谱与纯粹的随机过程几乎无区别,通过合适的信息加载手段,可以使窃听者无法利用频谱信息对混沌信号进行跟踪、分析和破译,往往会被误认为噪声而忽略,因而可以达到保密通信的目的。将混沌应用于保密通信是一种动态方法,由于其处理速度和密钥长度有关,使得这种方法的计算效率很高,用这种方法加密的信息很难被破译,具有较高的保密度。由于其实时性强、保密度高和运算速度快等明显优势,在保密通信领域中已经成为一个重要的组成部分。
1990年,美国海军实验室的两位学者佩科拉(Pecora)和卡罗尔(Carroll)首先应用电路实验实现了混沌同步,并立即提出了利用混沌同步进行保密通信及信息处理的实验方案 [56] ,从此拉开了20世纪90年代以来国际上混沌保密通信技术激烈竞争的序幕。近年来,对混沌动力系统的研究及对混沌控制、同步与反控制的研究,为保密通信和密码技术提供了新思路,迄今已经提出和发展了混沌同步通信的四大保密技术,即混沌掩盖、混沌调制、混沌键控和混沌扩频。这是目前保密通信研究中竞争最为激烈的4项技术 [57-64] ,表1.2为混沌保密通信研究的主要发展现状总结。
表1.2 混沌保密通信研究的主要发展现状总结
其中,混沌掩盖和混沌调制是基于模拟信号的混沌调制;混沌键控、混沌扩频和混沌密码系统是基于数字信号的混沌调制。本书重点讨论混沌密码学和混沌扩频的相关理论和应用技术,下文将主要围绕这两个方面进行重点介绍 [95] 。
混沌密码系统是把传统密码编码与混沌同步结合起来设计的保密通信系统,其工作原理是利用发送端的混沌信号产生密钥,加密明文信息得到准密文信号,再把经过加密处理的信号加载到混沌系统上,经过调制之后,发送到接收端。这种保密方式,在公共信道中传送的是准密文信号与混沌信号的某种组合,即使入侵者得到了准密文信号,由于还有一层密码系统的保护,也很难得到准确的明文信息 [68-74] 。图1.6为Kocarev教授总结出的混沌与经典密码学的对应关系 [68] ,从中可以看出混沌与密码学之间的紧密内在联系,也奠定了将离散混沌映射与传统密码学结合的理论基础。
图1.6 混沌与经典密码学的对应联系
文献[68]讨论了截至20世纪90年代中前期有关混沌密码的研究进展,同时就如何利用离散化后的混沌系统来构造混沌密码、混沌密码的局限性及有限精度实现等问题进行了仔细分析。文献[70-72]非常详细深入地研究了数字化混沌密码系统的设计方法与安全性能分析手段,系统地讨论了数字化混沌系统的动力学特性退化、混沌密码的有限精度实现、加密/解密速度和安全强度等关键问题。文献[72]系统地研究了混沌的起源、发展,并归纳了现有的混沌密码学方案,给出了混沌理论应用于密码学的实例,并讨论了混沌应用于保密通信应该注意的问题,设计了一些具体的混沌流密码,并且应用到图像加密领域,给出了相关分析结果,基本代表了当时国内学者在混沌密码领域的最新研究进展。综合整理上述文献的研究脉络,在混沌密码尤其是混沌流(序列)密码的研究中,基于混沌理论的伪随机数发生器(CPRNG)是一个热点研究方向。
混沌扩频主要有直接序列扩频和跳频序列扩频两种方式。混沌扩频序列主流研究方向是利用混沌序列代替扩频码,实现扩展频谱通信。传统的CDMA技术主要受PN码的周期特性及可用正交PN地址码个数的限制,而利用混沌对初始条件的敏感依赖性,通过演化可以产生大量相关特性良好的扩频序列,同时这些序列可利用混沌的确定性重复产生,利用混沌序列良好的统计特性,对实现混沌扩频码分多址通信是非常有效的 [74-78] 。混沌序列只需要一个映射公式和若干初始值就可以产生,不必存储各序列点的值,因此更适合扩频通信中的扩频码。
文献[76]讨论了混沌密码和混沌扩频相关技术的最新研究成果,同时就如何利用离散混沌系统构造混沌跳频序列及其优化方法进行了仔细分析;文献[77]深入详细地研究了数字化混沌跳频码的设计方法及其优选方案,系统地讨论了数字化混沌系统的动力学特性退化和混沌跳频码的有限精度实现对跳频系统性能的影响;文献[78]在上述研究的基础上,提出了解决数字化混沌系统的动力学特性退化和有限精度效应的影响,设计了一种基于余弦映射法的宽间隔跳频码的构造方法和优选方案,并给出了相关结论。目前,利用混沌理论实现保密通信主要有电路系统、计算机网络和激光系统3种途径,其中以电路系统的研究最多和最为成熟,其应用之一就是通过计算机或微处理器等产生各类混沌信号用于保密通信。近年来,数字可编程逻辑器和计算机发展迅速,使得数字混沌保密通信成为研究热点。数字通信的优势在于能较好地解决因信道环境恶劣和干扰等造成的通信质量下降问题,这也为混沌信号处理的相关技术提供了实现平台。
本书主要讨论将混沌保密通信应用于电视制导系统的3个方面:控制指令加密认证、电视图像加密、通信。在下文的分析和研究过程中,控制指令、电视图像和载波跳频的分析方法与常规保密通信理论类似,因此,不再对电视制导系统的具体信号格式和调制方式进行阐述,而是重点研究混沌信号在3类数据通信业务中的应用方法。其中,控制指令加密认证和电视图像加密将混沌理论和传统密码学相结合,根据混沌变化的有界性、对参数和初值的敏感性等基本属性产生混沌伪随机序列应用于加密。
Shannon在其经典的文章中提出指导密码设计的两个基本原则,即扩散(Diffusion)和混乱(Confusion)。其中,扩散是将明文冗余分散到密文中去,使之分散开来;混乱是用于遮盖明文、密文和密钥之间的关系,使密钥和密文之间的统计关系变得尽可能复杂,使攻击者无法从密文中反推出密钥 [73] 。混沌的轨道混合特性对应于传统密码学的扩散特性,而混沌信号的伪随机特性和对参数的敏感性对应传统密码学的混乱特性。可见,混沌具有的优异特性保证了混沌加密器的扩散和混乱作用能达到与传统加密器一致的效果。此外,很多典型的混沌系统与密码学中常用的Feistel网络结构具有极大的相似性。
如何选取满足密码学特性要求的混沌映射是混沌密码学需要解决的关键问题。L. Kocarev在文献[68]中给出了这方面的指导性建议。选取的混沌映射应该至少具有混合特性(Mixing Property)、健壮性(Robust)和足够大的参数集(Large Parameter Set)。
(1)混合特性。将明文看作初始条件域,则混合特性是指将单个明文符号扩散到许多密文符号中去。该特性对应传统密码学的扩散属性,当迭代次数 n →∞时,密文的统计性质不依赖明文的统计性质,因而分析密文的统计结构不能得到明文的统计结构。
(2)健壮性。健壮性是指在微小扰动下,混沌仍能保持混沌状态,从而可以保证密钥空间的扩散属性。从经典混沌系统来看,多数奇异吸引子的结构是不稳定的,因而设计混沌加密序列必须排除结构非健壮性导致的弱密钥问题,即控制混沌映射的参数和初值,使之保持密钥空间的扩散属性。
(3)足够大的参数集。衡量密码安全性的一个重要指标就是Shannon熵,即密钥空间的测度log 2 K ,如果用( M , C , K , E k , D k , Z )表示序列密码的六元组,其中 K 表示密钥的数目,那么动力系统的参数空间越大,相应的可用 K 数目越多。
将混沌理论应用于保密通信系统是具备理论依据的,在实现过程中,电视制导导弹有其特定的使用条件和使用环境,有以下几个关键问题必须考虑。
(1)导弹脱离载机后,载机对导弹的控制信号都是通过公开信道来传输的,因此指令传输的安全性必须考虑。电视制导控制指令系统必须提供安全的信息传输信道,使敌方在这些信息传输时不能识别、增添、删除、修改或伪造,从而实现消息的保密性、完整性和可认证性。其中,可认证性提供了发射导弹的载机身份唯一性保证,同时还能防止同型号导弹之间的相互干扰。
(2)为确保控制指令传输不受敌方欺骗干扰,提高其抗主动欺骗干扰的能力,电视制导指令系统除了对指令信号进行加密处理,还必须对控制指令进行签名认证。加密即通过采用密码技术对信息进行编码,这样可以隐蔽和保护需要保密的信息,使未经授权者在这些信息存储或传输时不能识别、增添、删除、修改或伪造,从而实现信息的保密性。认证是产生一个经过加密的认证符来验证接收到的信息的真实性(确保是由它所声称的实体发来的)和完整性(未被篡改、插入、删除),同时还用来验证信息的顺序性和时间性(未重排、重放、延迟)。认证除了专用方法,还可以用公钥密码来完成 [79-81] 。
(3)电视制导吊舱输出的控制指令对于加密算法来说,只是一帧0、1的数据流,控制指令单元从信号类型和信号格式上都具备直接进行数字加密的特征,只要将混沌系统离散化为二进制数值序列就可以按照异或方式直接加密。与经典的分组加密和流加密算法并无差别,因此所采用的加密算法可以直接沿用经典算法。不同的是,由于电视制导系统的控制指令数据量并不大,因此加密耗时较少,可以考虑采用安全性高、效率高的加密算法,在特定的环境下甚至可以牺牲加密速度来保证安全性。
以标准PAL电视图像信号格式为例,一帧标准的全电视信号包含图像信号、复合消隐(行消隐和场消隐)信号和复合同步(行同步和场同步)信号。其中,复合消隐信号和复合同步信号是标准脉冲信号,而图像信号则是连续的模拟信号。图像信号不能直接进行数字加密,而是需要设计视频制式转换电路,经A/D转换,并进行必要的预处理使之量化为标准的脉冲信号才可以实施加密。由上述分析可知,电视制导系统传输的图像和指令信息都可以用量化编码技术转化为二进制比特序列用密钥流的对应元素分别加密。综上所述,将混沌理论应用于电视制导系统的加密和认证技术是具备理论依据的,传统密码学和混沌理论相结合,将混沌伪随机序列发生器嵌入传统密码学结构中会在很大程度上提高电视制导系统的保密度,并且便于硬件实现。
混沌跳频技术把一个宽频带分成若干个频率间隔,利用混沌伪随机序列取代常规的m序列或Gold伪随机序列,发射机按照跳频图案选择某个频隙发送信号,是混沌技术应用于扩频通信的主要方式,具有更大的系统容量和更低的误码率。与常规跳频通信系统相比,混沌跳频通信主要有两个优点:①混沌对初始条件的敏感性极容易产生数目巨大的混沌跳频序列;②内在的类随机、宽谱特性使得混沌跳频信号不容易被截获。因此,混沌技术为跳频通信提供了一种有效的实现方式。混沌跳频控制指令传输系统是载波频率按混沌跳频图案在很宽的频带范围内跳变的通信收发系统,图1.7为混沌跳频系统的工作原理框图。
图1.7 混沌跳频系统的工作原理框图
明文控制信息数据经波形变换后,进入加密器,经混沌序列加密后,进入载波调制单元,单元的载波频率由伪随机数发生器(CPRNG)控制可变频率合成器产生,载波频率随跳频序列的改变而改变。跳频信号经射频滤波器(BPF)发射后,被导弹接收机接收。导弹接收机从混沌跳频信号中提取跳频信号同步信息,使本机混沌伪随机数发生器(CPRNG)控制的频率跳变与接收的跳频信号同步,输出被同步的本地载波解调,经过低通滤波,获得携带信息的基带信号,基带信号经过解密器解调,即可得到制导吊舱发射机传送的控制指令。