



序列的随机特性表现为序列的不可预测性,这就要求对序列的伪随机特性建立一套定量的度量方法,格伦布首先人为序列随机特性提出3条公设 [112] ,后被普遍认为可以作为衡量序列伪随机特性优劣的标准。
设 a 是GF( q )上周期为 q n -1 的序列,格伦布的3条公设如下。
GF( q )中的每个非零元素在序列 a 的一个周期中恰好出现 q n -1 次;GF( q )中的零元素在序列 a 的一个周期中恰好出现 q n -1 -1次。
在序列 a 的一个周期中,由GF( q )中的每个元素构成的长度为 r (1≤ r ≤ n -2)的游程恰好出现( q -1) 2 q n-r -2 次;由GF( q )中每个非零元素构成的长度为 n -1的游程恰好出现 q -2次;长度为 n -1的游程恰好出现 q -1次;GF( q )中的每个元素构成的长度为 n 的游程恰好出现1次。
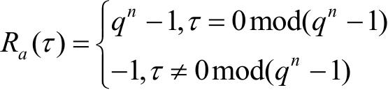
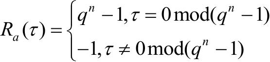
序列 a 的周期自相关函数是二值的,即
如果序列 a 满足上述3个条件,那么称序列 a 具有理想自相关函数。