



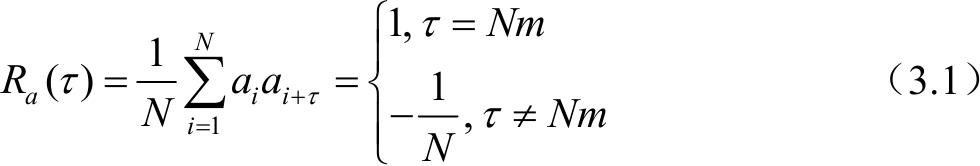
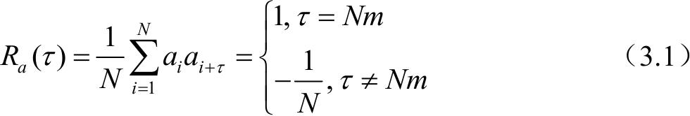
所谓伪随机序列是指某个字符集中的一列有序字符串对合法使用者表现为容易产生、预测,并可以准确复制、判读;而对于非法使用者表现为随机、不能预测,且难以复制和判读,其特性难以了解 [102-104] 。数学上关于伪随机序列的定义为:若长度为 N 的序列 a ={ a 1 , a 2 , …, a N -1 },其自相关函数满足
式中, m =0, ±1, ±2, …,则称序列 a 为狭义伪随机序列。
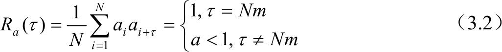
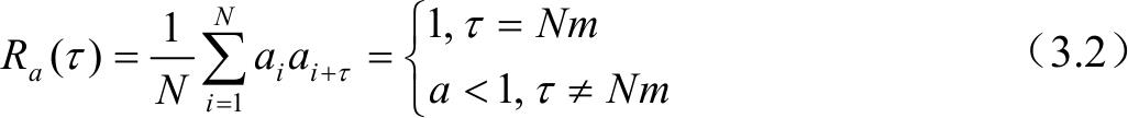
若长度为 N 的序列 a ={ a 1 , a 2 , …, a N -1 },其自相关函数满足
式中, m =0, ±1, ±2, …,则称序列 a 为广义伪随机序列。狭义伪随机序列可以被认为是广义伪随机序列的特例。
在工程上,希望这种伪随机信号最大限度地接近白噪声,即功率谱与频率无关或等价,自相关函数具有冲激函数的特性。伪随机序列的应用十分广泛,其典型应用主要有作为扩频通信的扩频序列 [105-107] 、保密通信的密钥 [59-61, 108-111] 、航空航天的遥控指令信号 [29-31] 、多址通信中的多址码 [64, 66, 67] 等。近年来,混沌动力系统理论的研究与发展,尤其是时空混沌系统的研究为伪随机序列设计开辟了新途径。因为时空混沌系统在时间和空间上均表现出混沌行为,由此生成的混沌扩频码序列具有复杂度高、保密性能好、难以破译、数量多等优点,因此,研究如何生成既能保持时空混沌系统的特性,又便于在混沌保密通信中使用的混沌伪随机序列,对伪随机序列的研究和混沌保密通信具有重要意义。