



在混沌保密通信中,选用混沌伪随机序列充当加密序列和扩频码,这些序列是由处于混沌态的时间离散非线性动态系统产生的,这些系统有的是从物理学和生态学等领域提炼出来的,有的则来源于某些非线性采样数据控制系统,有的则只有纯粹数学意义而与实际物理系统没有直接关系。不管它们的形式如何,都有许多共性,如类噪声、初始值敏感性、遍历性等基本特性。本书研究的混沌保密通信领域中涉及多种典型的混沌系统 [81, 96-99] ,下面将分别对它们进行介绍。
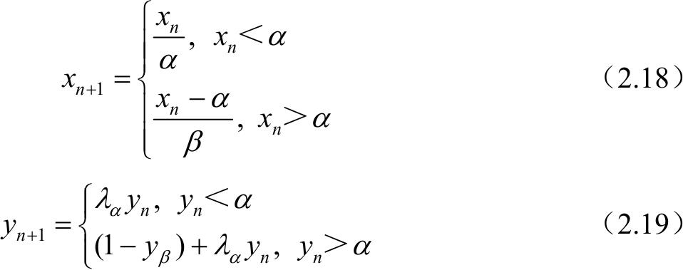
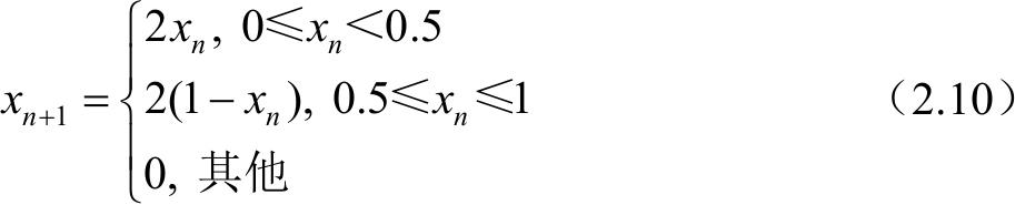
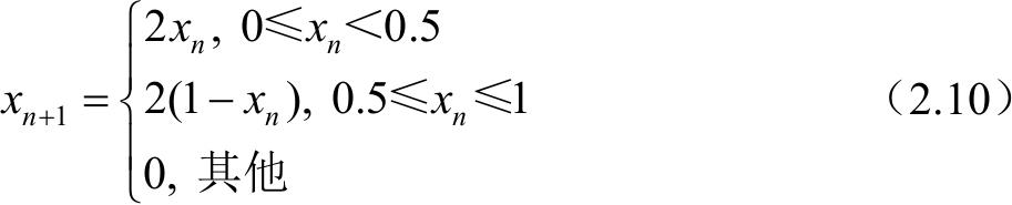
Tent是一类最为简单和广泛研究的动力学模型,Tent这一名称来源于其迭代轨迹的形状,标准Tent映射 [81] 的方程为
其映射的迭代轨迹如图2.1所示。Tent映射有一种更为常用的变形表达式,该变形表达式通过引入参数 a ,得到所谓的斜帐篷映射,此时映射方程变换为
图2.1 Tent映射的迭代轨迹
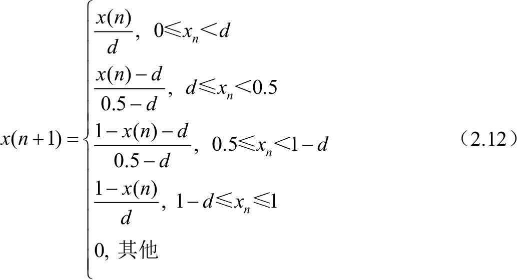
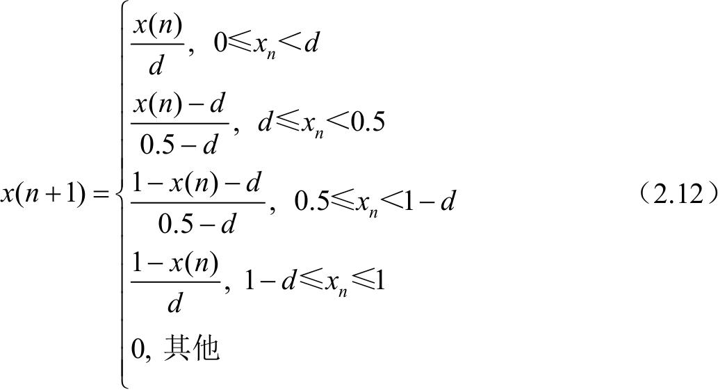
参数 a 决定了图2.1中迭代轨迹的顶点位置,当 a =0.5时顶点位于正中间,式(2.11)退化为标准Tent映射式(2.10)。如果将Tent映射的状态空间重新划分为几个子区间,就可以得到一类分段线性映射(Piecewise Linear Chaotic Map,PWLC),其映射方程为
当 d =0.25时,其迭代轨迹图形如图2.2所示。
图2.2 分段线性映射迭代轨迹
Logistic映射(虫口映射)是由生物学家R. May于1976年提出来的 [83] ,是抛物线映射的特殊形式,它有两种标准写法,即
或者
下文如无特殊说明,所指的Logistic映射都是基于第一种写法的。第一种写法的Logistic映射系统是由倍分岔道路到达混沌态的系统,当3.5699≤…≤ μ ≤4时,系统呈现典型的混沌态,图2.3为当初值 x 0 =0.5时第一种写法Logistic映射的分岔图,描述了Logistic映射由倍周期分岔到混沌的过程。第二种写法的Logistic映射系统在1.4≤…≤ μ ≤2时,系统呈现典型的混沌态,图2.4为当初值 x 0 =0.5时第二种写法Logistic映射的分岔图。
图2.3 第一种写法Logistic映射的分岔图
图2.4 第二种写法Logistic映射的分岔图
图2.5为与图2.4对应的Logistic映射的功率谱,在频域上Logistic系统的信号频谱分布类似宽带白噪声,频谱图上没有明显的尖峰。图2.6为与图2.4对应的Lyapunov指数图,Lyapunov指数刻画了在局部范围内轨道间的分离程度,是系统具有混沌特性的判决标准,由图2.6可见大约在参数 μ =3.56995处,系统Lyapunov指数大于零,系统处于混沌状态。虽然Logistic是标准的一维区间映射,却可以产生如此复杂的混沌行为,所以很多文献中常用该系统生成混沌序列。
图2.5 Logistic映射的功率谱
图2.6 Logistic映射的Lyapunov指数图
k 阶Chebychev映射方程为
当 k >2时,Chebychev映射是混沌和遍历的,而且具有正交性,这时不同的初始值无论多么接近,多次迭代出来的序列都互不相关。 k 阶Chebychev映射与Logistic映射具有相同的概率密函数,即
由Chebychev映射产生的序列具有下列特性。
序列的均值为0,即
。
序列的自相关函数:
,图2.7给出了
k
>2时Chebychev映射的Lyapunov指数;图2.8给出了初值为0.5、
k
=63时,Chebychev映射的迭代轨迹。
图2.7 Chebychev映射的Lyapunov指数
图2.8 Chebychev映射的迭代轨迹
除2.2.1节描述的一维混沌映射外,目前应用较多的有二维Anorld变换、Baker映射、Henon映射等,下面简单介绍Henon映射和在图像保密通信领域较为常用的Baker映射。其中,二维Anorld变换将在后续章节中进行详细叙述,此处不再赘述。
天文学家Henon从球状星云团及Lornez吸引子的研究中得到启发,在1967年提出了二维Henon映射系统,其迭代方程为
当初值 x 0 =0.3、 y 0 =0.5, x 0 =1.2、 y 0 =0.3时,绘制Henon映射的迭代轨迹,如图2.9所示。它是一个具有两个参数的平面映射族,只有一个非线性项,因此可以认为Henon映射是在高维情况下最简单的非线性映射。当 a =1.4、 b =0.3时,系统的两个不动点分别为 A (0.631, 0.631)、 B (-1.131, 1.131),即Henon映射的奇异吸引子。
图2.9 Henon映射的迭代轨迹
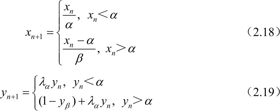
Baker映射的表达式 B g ∶ I → I 可以表示为
式中,常数 β =1- α ,且 λ β + λ a ≤1,当满足 λ β + λ α =1时,此时映射是一个保面积映射,即不存在压缩和拉伸。该映射的两个Lyapunov指数分别是: λ 1 =- α ln α - β ln β >0, λ 2 =- α ln λ α - β ln λ β <0。该映射先在水平方向上对数据进行分割,然后对数据进行拉伸,再将结果顺序排列在单位面积内。
三维Lorenz混沌系统的映射方程最早是由美国的气象学家得到的,用于描述气象学中的空气对流过程 [100] ,其动力学系统方程为
当参数取值为 a =10、 b =2.6667、 c =28、 x =1.2、 y =1.3、 z =1.6时,Lorenz系统的奇异吸引子如图2.10所示,它在 x - y 、 x - z 及 y - z 坐标面上的投影如图2.11所示,系统最大的Lyapunov指数大于0,系统处于混沌状态。
图2.10 Lorenz系统的奇异吸引子
图2.11 Lorenz混沌映射的迭代轨迹
Lorenz系统族在混沌理论研究领域使用的次数较为频繁,由于其规律被广泛掌握,所以直接运用Lorenz系统实施保密通信的文献比较少见,目前大多数加密算法是将其与传统密码学相结合实施保密通信。