



电子装备防护涂层的失效原因有内因和外因两个方面。内因包括涂层结构、表面处理、材料组分、涂覆工艺等,如基材表面处理不到位的防护涂层,在恶劣海洋环境下服役不到3个月,涂层样品表面出现鼓包现象;又如某涂层涂覆厚度偏小,在海洋环境中服役不到15天出现腐蚀现象;再如防护涂层配套选择错误,装备下表面涂层在高湿度地区贮存半年后出现脱落。外因包括外部环境因素和机械应力,在环境因素方面,不同服役环境特点的差别对涂层的失效时间及失效模式的影响很大,如在我国内陆地区长期服役不发生失效的涂层,在岛礁环境中服役不到半年就发生失效,表面出现大量红锈,涂层对基材失去保护作用。本节重点从防护涂层种类、应用环境类型两个角度分析防护涂层的典型环境失效行为。
为了研究电子装备防护涂层体系在湿热海洋大气环境下的失效特征,国内高校、科研院所依托具备典型湿热海洋大气环境特征的自然环境试验站点开展了相关研究工作。研究发现其主要失效现象包括失光、变色、粉化、起泡、剥落、长霉、腐蚀等失效现象,以下对各失效现象进行分析。
1.失光
失光是材料光泽受气候环境的影响而降低的老化现象(见GJB 6117—2007中4.3.3节)。在各类户外环境下应用的防护涂层,最敏感的性能参数就是涂层光泽度。光泽度是漆膜表面把投射其上的光线向镜面反射出去的能力,反射光量越大,则光泽度越大,反之越小。涂层光泽度与表面微观粗糙度、颜料对光的吸收率和折射率有关。对于一般防护涂层而言,光泽度与微观粗糙度关系最为密切,所以光泽度的变化从侧面反映出表面状态的微观变化。
装备在太阳辐射强的地区服役时,如南部湿热沿海地区或高原地区,一般情况下0~6个月防护涂层的光泽度先升高,这是由于在太阳光、高温作用下,防护涂层中的残留自由基发生聚合,导致涂层表面更加平整紧密,对颜料的包裹性更好,光泽度升高,这个阶段防护涂层在太阳光的作用下也会发生降解,只是在该阶段聚合过程占有主导作用。随着太阳光进一步作用,防护涂层树脂基料的化学键发生断裂,对颜料的包覆能力变差,涂层表面粗糙度增大,光泽度逐渐降低。
光泽度变化通常被用作防护涂层老化问题早期的预测,失光等级大幅变化并不代表防护性能大幅下降,特别是对膜厚较大的防护涂层,所以GB/T 1766—2008规定,评价保护性涂层的综合老化性能等级时,失光率不参与评价,但光泽度可直观表达涂层表面信息,对研究防护涂层的老化过程至关重要,特别是老化过程初期,所以通常光泽度被作为防护涂层的重要性能参数。
2.变色
变色是评价防护涂层气候老化程度的重要参数。防护涂层在自然环境下应用一段时间后,受太阳光、温度、湿度等环境因素的综合影响,涂层中颜料发生物理化学变化导致变色。涂层变色说明环境因素已透过树脂影响到颜料,此时树脂的包裹性已变差或部分丧失,所以一般情况下可认为变色是防护涂层粉化的前期表现。电子装备防护涂层变色实例如图4-1所示,其是丙烯酸聚氨酯涂层在西沙户外暴露12个月出现变色的。
图4-1 电子装备防护涂层变色实例
3.粉化
粉化是树脂受紫外光等因素作用,引起大分子链的降解、交联,从而使漆膜的内聚力改变,造成颜料微粒与树脂的分离,出现脱粉的现象(见GJB 6117—2007中4.3.7节)。粉化与应用环境中太阳光强度和辐照时间密切相关,据统计,在南海岛礁、青藏高原、西部干热沙漠等太阳辐射较强地区户外使用的防护涂层,1~2年后均会出现不同程度的粉化现象。防护涂层粉化过程示意图如图4-2所示。
图4-2 防护涂层粉化过程示意图
4.起泡
电子装备防护涂层服役时受温度、湿度的综合影响容易出现起泡,特别是紧固件连接处、机箱盖板缝隙处等涂装施工质量不高或带有原始缺陷的部位,如图4-3所示。在广东、云南、海南等湿热地区服役的涂层容易出现起泡现象。
图4-3 电子装备防护涂层起泡实例
5.剥落
涂层发生剥落一般是附着力变差导致的,电子装备防护涂层的剥落一般是由起泡发展而成的,所以也常发生在紧固件连接处、结构件边缘等应力集中区域。电子装备防护涂层剥落示例如图4-4所示。
图4-4 电子装备防护涂层剥落示例
6.长霉
电子装备在湿热地区应用时,防护涂层表面容易出现长霉现象(见图4-5),特别是一些非抗霉材料,如聚酯型聚氨酯清漆。霉菌生长容易导致印制电路板的绝缘性能下降,而霉菌分泌的代谢产物会导致金属结构件发生腐蚀。
图4-5 电子装备防护涂层长霉示例
7.腐蚀
电子装备防护涂层在使用过程中受太阳光、水分、盐雾等因素的影响,屏蔽作用逐渐减弱,当水分和腐蚀介质渗透至金属基材时就会发生电化学反应,出现腐蚀。电子装备防护涂层腐蚀示例如图4-6所示,其为氟聚氨酯涂层在西沙户外暴露试验12个月后微观腐蚀情况。
图4-6 电子装备防护涂层腐蚀示例
防护涂层中树脂成膜物类型在一定程度上决定了其机械性能及耐候性,不同树脂成膜物在使用过程中出现的失效行为也存在差异。从涂料树脂种类特性着手研究不同涂料在典型环境下的失效行为,可为电子装备防护设计过程中涂料选择提供参考依据。
电子装备结构件防护涂层一般为底漆/面漆双层体系,底漆一般为环氧底漆,面漆常选择耐候性较好的漆种,如丙烯酸聚氨酯面漆、氟聚氨酯面漆、氟碳面漆、氨基面漆(室内使用)等,下面主要对这几种漆层的失效行为进行简单介绍。
1.环氧底漆
目前常用的双酚A型环氧树脂涂层中含有芳香醚键,经太阳光照射后易发生断裂,从而导致涂层失去光泽,出现粉化,这也是环氧树脂涂料仅被用作底漆而非面漆的原因。
由于环氧底漆通常有面漆覆盖,其失效多发生在面漆出现破损后,或由于施工阶段操作不当早期引入的一些缺陷。例如,在户外施工过程中底漆各道之间或底漆面漆之间的施工间隔时间过长,受紫外光的影响出现粉化,导致附着力下降,进而在使用过程中容易出现脱落;当基材表面处理不当,残留一些盐分或油脂时,会导致环氧底漆与基材的附着力降低;而当采用胺固化剂在寒冷、潮湿环境下对环氧树脂进行固化时,胺固化剂有向涂层表面迁移的倾向,会导致“胺白”现象出现,同时与下一道涂层的层间附着力下降。
2.聚氨酯面漆
目前采用的聚氨酯面漆多是丙烯酸聚氨酯面漆、氟聚氨酯面漆等,即多异氰酸酯、多羟基树脂组成的双组分体系,多羟基树脂包括丙烯酸树脂、聚酯树脂、氟树脂(分散于丙烯酸树脂溶液中)等。
与聚酯型聚氨酯面漆相比,丙烯酸聚氨酯面漆和氟聚氨酯面漆的耐候性和抗水解性较好,附着力也较优。聚氨酯面漆失效有时也是因为前期施工过程引入缺陷,如在湿度较大的地区施工时,异氰酸酯与空气中的水发生反应,生成二氧化碳气体,导致涂层内部出现空隙,影响涂层后期使用时的介质屏蔽性能。
同时,聚氨酯面漆在强太阳辐射区域长时间使用时,氨基甲酸酯键会发生断裂而出现粉化现象。
3.氟碳面漆
氟碳涂料中氟树脂分子链上不含氟端的浸润性较好,含氟端的浸润性较差,导致大分子链的两端向不同方向迁移,而氟元素较多地集中在表面,使得氟碳树脂具有极低的表面能,所以氟碳面漆的性能与氟树脂对内部极性基团的包裹性密切相关,即与氟碳树脂中的含氟量密切相关,目前常用三氟氯乙烯类氟碳涂料含氟量一般为19%~28%,以四氟乙烯为基础的树脂含氟量可达35%。氟碳面漆的含氟量过高容易导致面漆附着力差,也影响与颜料的相容性,在使用过程中出现粉化、开裂现象;而含氟量过低则会影响涂层的耐水和耐光老化性能,在使用过程中容易出现起泡和粉化现象。
4.氨基面漆
氨基树脂单独使用时容易出现附着力差、硬度高、涂膜脆等现象,与醇酸树脂等带有羟基的树脂组合应用时可提升附着力、调节硬度、提高柔韧性。醇酸树脂中往往存在不饱和键,在太阳光下,会提供氧化及自由基反应的活性点。另外,醇酸树脂表面固化比内部快得多,所以表面会出现干燥收缩,出现起皱现象。
不同自然环境类型的环境特点有所不同,对电子装备防护涂层的影响作用存在较大差异。国内典型自然环境类型下的防护涂层失效行为如表4-1所示。
表4-1 国内典型自然环境类型下的防护涂层失效行为
续表
针对表4-2中6种电子装备防护涂层,分别在紫外辐射强的暖温高原环境(拉萨试验站)、湿热时间长的亚热带乡村环境(广州试验站)和高温高湿高盐强辐射的湿热海洋大气环境(西沙试验站)下开展户外暴露试验,对比防护涂层的失效情况 [1] 。表4-3给出了拉萨试验站和广州试验站大气环境条件,表4-4给出了西沙试验站大气环境条件。
表4-2 电子装备防护涂层样件信息
表4-3 拉萨试验站和广州试验站大气环境条件
表4-4 西沙试验站大气环境条件
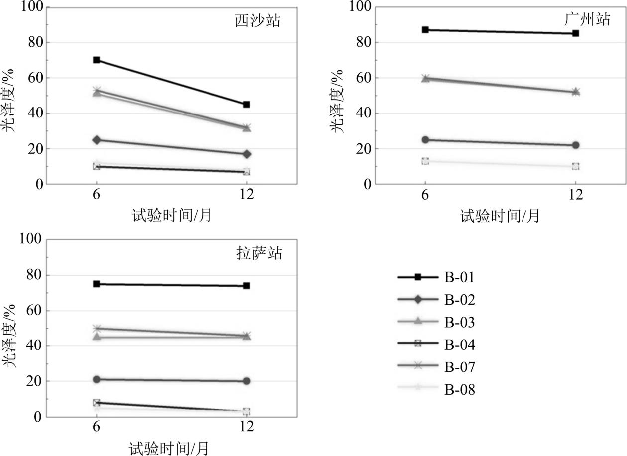
经12个月的暴露试验后,防护涂层在3个试验站经暴露试验后的老化评级结果如表4-5所示,防护涂层在3个试验站经暴露试验后的光泽度对比如图4-7所示,防护涂层在3个试验站经暴露试验后的色差对比如图4-8所示。
表4-5 防护涂层在3个试验站经暴露试验后的老化评级结果
图4-7 防护涂层在3个试验站经暴露试验后的光泽度对比
图4-8 防护涂层在3个试验站经暴露试验后的色差对比
图4-8 防护涂层在3个试验站经暴露试验后的色差对比(续)
在拉萨站强太阳辐射的影响下,大部分防护涂层发生粉化,失光程度大于广州试验站,且变化较快,玻璃钢板/环氧聚酰胺/弹性聚氨酯涂层体系发生起泡;在广州试验站的多数防护涂层未发生粉化和起泡现象;全部防护涂层在西沙试验站暴露6个月后均发生不同程度粉化,12个月时5种防护涂层的粉化达到2级,其中2A12/Ct·Ocd/锌黄环氧底漆/海灰氨基树脂涂层体系粉化等级为3级,在长时间高温、高湿的大气环境的影响下,起泡现象也较拉萨试验站和广州试验站严重。
与其他两个试验站比较,防护涂层在西沙试验站的失光现象最严重,且变化较快。变色现象拉萨试验站最严重,多数防护涂层在西沙试验站的色差值仅略高于广州试验站。
对西沙和拉萨两个试验站的弹性聚氨酯面漆进行表面微观样貌分析,如图4-9所示。
图4-9 涂层样件暴露试验前和暴露试验后的SEM图
由图4-9可知,试验前防护涂层表面致密,面漆树脂和颜料粒子结合紧密连续,在西沙户外暴露24个月后,表面出现大量孔洞,这是由于树脂基料老化降解对颜料的包覆作用变差,在雨水的冲刷下,颜料流失,导致出现孔洞。在拉萨户外试验24个月后,表面同样出现孔洞,但与在西沙试验站的试验结果相比,孔洞较小,这是由于西沙对防护涂层的环境综合影响更加突出。在拉萨户外暴露24个月后,面漆表面出现一些细小的裂缝,这是由于随着树脂链的降解面漆内聚力变小,在日夜温差的交替影响下出现开裂。