



OLED的基本性能参数主要包括发光颜色与色度、发光亮度与效率、稳定性和寿命及其他(如电学性能参数)等。这些指标是衡量OLED材料和器件性能的重要评价参数,对有机EL理论研究和实际应用具有十分重要的意义。
有机EL材料价电子结构决定了材料的吸收光谱和荧光光谱,也决定了器件的EL光谱。发光光谱是发光能量按波长、频率或波数的动态分布,通常用光能的相对值按波长的分布 Φ ( λ )来表示。
在有机EL研究中,有机材料和OLED器件的发光光谱通常有两种:光致发光(PL)光谱和电致发光(EL)光谱。PL光谱靠激发波长和强度保持不变的外界单色光源来激发,用于表征材料的能量传递过程或其他特性;EL光谱主要通过电能来激发,可以获得不同电流密度下器件的EL光谱。通过比较器件的EL光谱和PL光谱,可以得到有机发光器件的复合区域位置和实际发光物质的相关信息。
EL光谱可以用来表征器件的发光颜色(色度),不同的发光光谱对应于不同的发光颜色。色度用CIE(International Commission on illumination,国际照明委员会)1931色坐标(Color Coordinates)进行定量表示,如图3-16所示。
图3-16 CIE 1931色坐标图
(本图彩图见本书最后彩插)
亮度(Luminance)是一个生理物理量,它不仅与器件发光时的辐射能量有关,还与人的视觉有关。发光亮度是垂直于光束传播方向上单位面积的发光强度。亮度的单位是尼特(nit,1 nit=1 cd/m 2 )。OLED的发光分布遵循余弦分布,即亮度是一个与方向无关的常数。因此,对OLED发光亮度的测量,只需要测量其法向分量方向的亮度即可。
阈值电压(Threshold Voltage)定义为,发光亮度为1 cd/m 2 时器件所施加的驱动电压,故又称为启亮电压(Turn-On Voltage)。
OLED的稳定性和器件寿命是制约商业实用化的关键指标。OLED器件寿命(Life Time)包含工作寿命和存储寿命两部分。对于投入市场的OLED器件,要求在连续使用条件下工作寿命达到10 000 h以上(不间断使用一年以上),存储寿命要大于5年。
OLED器件的工作寿命是指在恒定电流密度下,器件的发光亮度下降到其初始亮度一半时器件连续工作的时间。实际寿命的测量通常采用加速老化的办法。测量工作寿命的公认起始亮度为100 cd/m 2 ,通常使被测器件的起始亮度几倍于此亮度值,测出其降为半亮度时的寿命值,然后乘以相应倍数,即为该器件的工作寿命。
发光效率反映OLED器件电能转换为光能的能力,是衡量OLED器件性能优劣的重要指标。
1.量子效率(Quantum Efficiency)
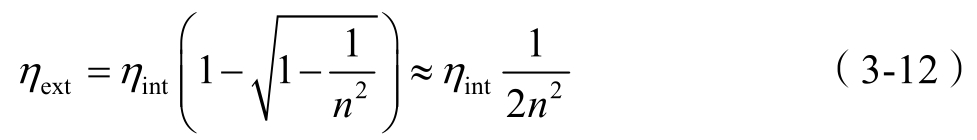
量子效率能够准确描述OLED器件发光机制的优劣程度。量子效率分为内量子效率(Internal Quantum Efficiency, η int )和外量子效率(External Quantum Efficiency, η ext )。内量子效率定义为产生光子与注入电子数目之比,而外量子效率是观测方向上射出器件表面的光子与注入电子数之比。
外量子效率和内量子效率的近似关系为:
式中, n 为发光材料的折射率,典型值在1.5~2.0。换而言之,内量子效率是外量子效率的4~8倍。由此可见,器件本身所发出的光绝大部分未能发射至器件外。由于OLED是多层结构,发光层发出的光能量经由波导效应或再吸收而损失,这是由于制备OLED器件发光材料、ITO阳极、基底与周围介质的折射率具有较大差异。光出射时,大部分光能被全反射回去并被器件材料吸收,只有部分光经过器件边缘透出。因此,设法提高光学耦合效应对提高器件的发光效率具有重要意义。
2.流明效率(Luminous Efficiency)
流明效率也称为电流效率,定义为发光亮度与电流密度之比,单位为cd/A。流明效率最大的优点是计算方便、易得,与量子效率成正比,是衡量OLED器件性能最重要的指标。
3.功率效率(Power Efficiency)
衡量电能的能量转化效率时,可用功率效率来描述,单位为lm/W。功率效率是器件向外部发射的光功率与器件工作时所消耗的电功率之比。
在显示领域,电流效率和功率效率是最常用的,前者注重考察发光材料特性,为科研工作者所常用,后者注重考察面板耗电和能量系统设计,为工程技术人员所常用。
OLED的发光效率不仅取决于发光材料本身的发光效率,也与载流子在传输层和发光层的运输有关。影响发光效率的主要因素有:①量子力学原理的限制;②单线态激子的非辐射衰减;③电子和空穴在注入过程中的不平衡。OLED载流子复合,激子产生、发光及向外发射流程如图3-17所示。
图3-17 OLED载流子复合,激子产生、发光及向外发射流程图
图3-17中, η r 为发光层中激子形成的概率, ϕ r 为单线态激子发光概率, η ext 为器件的外量子效率。
综合以上各个因素,可以知道,一个效率较高的OLED器件必须满足四个条件:①发光材料有较高的荧光效率;②能提高同时平衡载流子注入效率,以期获得较大激子形成率;③能使激子复合区域远离有机/金属电极界面,从而减少由于电极引起的激子猝灭;④较高的光耦合输出效率。