



根据有机半导体发光材料分子量和分子结构的不同,一般将其分为小分子材料和聚合物材料两大类,以此为基础,OLED可分为小分子OLED与聚合物OLED(也称PLED,polymer LED)两类;而按照其激子激发态,有机发光材料又可分为荧光材料和磷光材料。在有机发光材料的电致发光过程中,单重态激子和三重态激子会同时产生,根据自旋统计规律,单重态激子与三重态激子的生成概率比例为1∶3。一般所说的电致发光仅指单重态激子的辐射跃迁所发出的电致荧光,不包括实际上能利用所有激子发光而大幅提高OLED发光效率的电致磷光。
1.小分子荧光发光材料
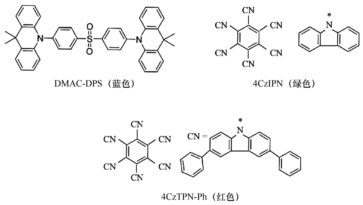
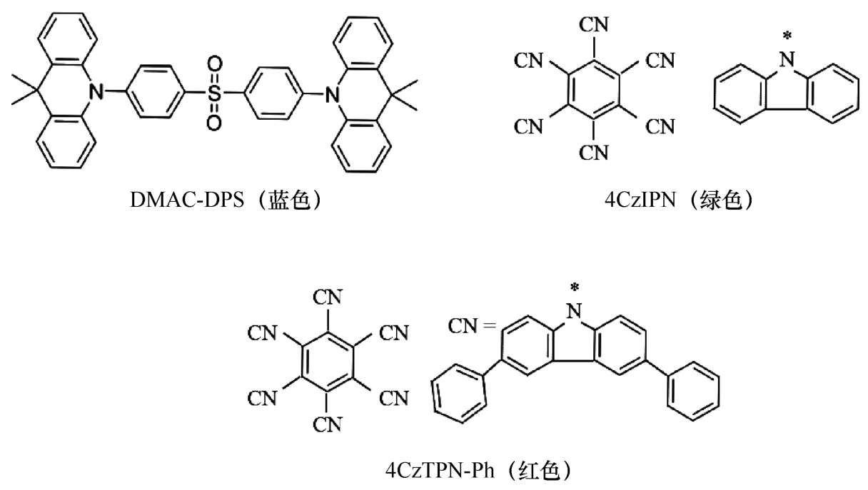
小分子发光材料的分子量一般在2000以下,具有容易提纯、选择面广、荧光效率高、使用真空蒸镀法成膜、可化学修饰、合成简单等特点。由于有机染料类小分子发光材料在固态时容易出现浓度猝灭,使光谱红移、发射峰变宽、荧光效率下降,所以通常将其低浓度掺杂在具有载流子传输性质的主体材料中。通过在小分子OLED器件中制备多层结构,可有效控制载流子的注入/传输及复合发光区域,达到高效发光的目的。如图3-1所示为3种常见小分子蓝色、绿色、红色荧光材料的分子结构。
图3-1 常见小分子蓝色、绿色、红色荧光材料的分子结构
2.小分子磷光发光材料
磷光是激发态分子跃迁到自旋不同的低能态时释放的辐射,通常的磷光都是来自第一激发三重态(T 1 )向基态(S 0 )的跃迁。T 1 主要由S 1 经隙间窜越而形成,但无论是T 1 向S 1 的隙间窜越还是T 1 向S 0 的辐射跃迁都是自旋禁阻的,因此一般磷光都比荧光要弱得多,磷光的量子效率也低得多。因此,通常采用重原子效应、降低体系温度或向体系内引入顺磁分子等方法,来提高磷光的量子效率。
目前的小分子磷光电致发光器件的发光层大多采用主客体结构,即通常只有1%~10%的小分子磷光材料作为客体掺杂到占发光层90%以上的主体材料中去,形成主-客体掺杂结构的发光层。其主要目的有两个:①避免三重态-三重态湮灭(Tirplet-Tirplet Annihilation,TTA);②改善器件的载流子传输性质。
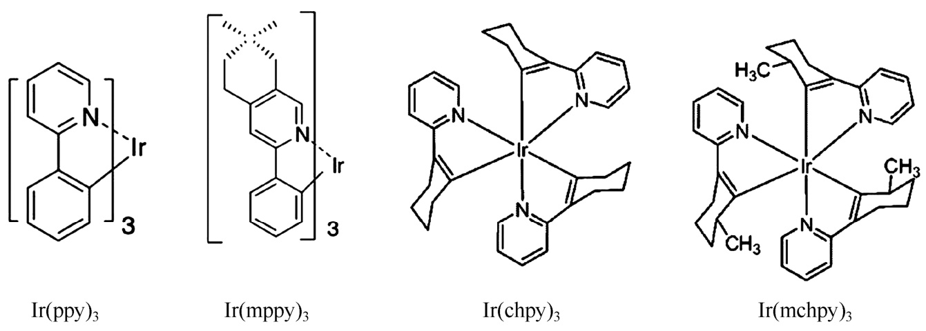
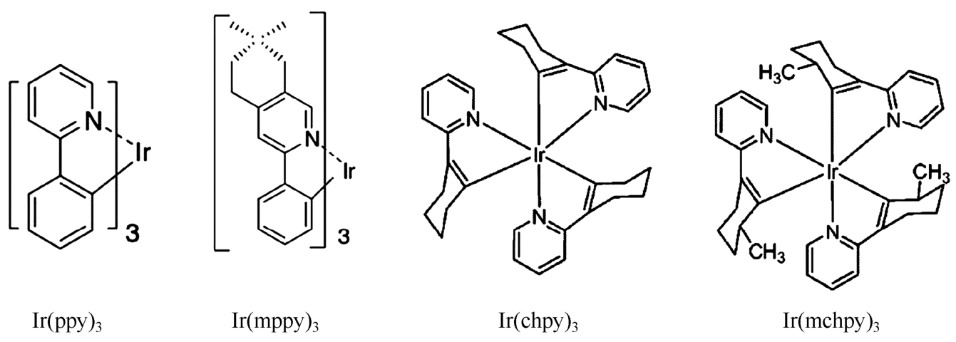
在小分子磷光材料中,研究得最多、最全面的是含Ir(铱,一种贵金属)的配合物。通过改变配合物中配体的种类和结构,可以实现磷光光谱在几乎整个可见光波段的改变。根据目前的报道,蓝色磷光OLED器件的外量子效率最高可以达到25%,对应的能量效率达55 lm/W;绿色磷光OLED器件外量子效率最高可达19%,功率效率达70 lm/W;红色磷光OLED器件外量子效率也已接近20%。如图3-2所示是几种常用的Ir配合物绿光小分子磷光材料的分子结构。
图3-2 几种常用的Ir配合物绿光小分子磷光材料的分子结构
3.小分子延迟荧光发光材料
小分子延迟荧光发光材料被誉为继荧光发光材料和磷光发光材料后的第三代OLED发光材料。目前有两种方法用于获得延迟荧光,即三线态-三线态激子湮灭和热激发延迟荧光(Thermal Active Delay Fluorescent,TADF)。与三重态-三重态激子的湮灭相比,TADF具有更高的发光效率,因而备受瞩目。TADF是针对单重激发态和三重激发态能隙较小( Δ ST ≤100 meV)的材料,通过热激发产生充足的从三重激发态到单重激发态的ISC,将三线态激子转变为单线态激子。小分子延迟荧光发光材料能够充分利用三线态激子能量,打破了之前只有贵金属配合物磷光材料能有效利用自旋禁阻的三线态激子的僵局,大大降低了合成发光材料的成本,同时避免了磷光发光材料特别是蓝光材料在工作状态下的不稳定性。3种常见的小分子蓝色、绿色和红色发光材料的分子结构如图3-3所示。
图3-3 3种常见的小分子蓝色、绿色和红色发光材料的分子结构
1.聚合物荧光发光材料
聚合物(也叫高分子)发光材料的分子量一般在10 000以上(可高达数百万及以上),通常配制成聚合物溶液,采用溶液法(如旋涂、喷墨打印、提拉等)加工成膜。因此,聚合物发光材料制备单层OLED器件的工艺流程简单、设备投资少。但是,想制备多层器件结构以调节载流子在发光材料中的输运特性则非常困难,因为用溶液加工方法制备成一层聚合物薄膜时,溶剂会不可避免地对前一层聚合物薄膜产生一定程度的破坏,这不仅难于形成均匀的薄膜还会破坏膜层之间的界面,从而降低器件性能。
OLED(包括PLED)是双注入型器件,高效、平衡的载流子(空穴和电子)注入是实现高发光效率的前提,这就要求聚合物发光材料不仅要有良好的溶解及成膜性,还要有很好的载流子传输特性。而要使一种聚合物同时具有这些优良的光电特性和机械特性,就给材料合成带来了很大的困难。同时,聚合物的合成过程中的偶然性决定了其纯度和重复性难以保证,这也是制约聚合物OLED器件商业化应用的关键因素之一。在目前比较成熟的聚合物发光材料中,研究较多、性能较好的是聚苯撑乙烯(PPV)及其衍生物、聚芴(PF或PFO)及其衍生物和聚噻吩(PT)及其衍生物。除此之外,还有聚对苯(PPP)及其衍生物、聚咔唑(PCz)及其衍生物等。如图3-4所示是常见聚合物荧光发光材料的分子结构。
图3-4 常见聚合物荧光发光材料的分子结构
2.聚合物磷光发光材料
聚合物磷光发光材料是近几年出现的一种新型OLED发光材料。它是将磷光配合物单体连接到聚合物主链上,使材料既具有聚合物溶解性好、成膜工艺简单和载流子传输特性优良的优点,又兼具磷光材料发光效率高的优点,因此,这类材料在有机全彩显示技术中有着良好的应用前景。人们通过将配合物单体直接聚合到共轭聚合物主链或侧链上,会使磷光体之间的相互作用减小,磷光体在聚合物基体中的稳定性会增加,并产生更有效的链内能量转移(或将激子直接陷在磷光单体上),有利于磷光体与主体的均匀分散和相分离,从而提高发光效率——这是提高磷光聚合物发光量子效率和载流子迁移率的行之有效的方法。通过改变磷光配合物或聚合物的结构可以得到三基色的磷光聚合物,也可以在一个聚合物主链上同时连接三基色发色团,在一定配比下器件可以同时实现位于红、绿、蓝三色区的三个发射峰,从而得到高效率的白光。目前,已有报道的磷光聚合物多是将典型的红、绿、蓝光配合物连接到宽带隙共轭聚合物(如聚芴、聚咔唑、聚苯的均聚物或共聚物)的主链或侧链上,形成从聚合物链到金属配合物的能量转移,使金属配合物发射出高效率的磷光。
其他种类的高分子电致发光材料,包括具有强电子亲和势的聚吡啶类化合物,集传输电子和空穴于一身的P-N型共聚噁唑类电致发光材料,具有良好机械性能和热稳定性的聚呋喃类化合物等。下面以最常用的两种配合物发光材料为例进行介绍。
1.金属配合物电致发光材料
金属配合物的性质介于有机物和无机物之间,既拥有无机物良好的稳定性,又具备有机物的高量子效率,是目前被认为极具应用前景的发光功能材料之一。金属配合物电致发光材料分为电致荧光发光材料和电致磷光材料两类,比较常见的是前者。金属配合物电致荧光发光材料主要有:8-羟基喹啉配合物如Alq 3 及其衍生物、10-羟基苯并喹啉配合物、羟基苯并噻唑(噁唑)配合物、2-(2-羟基苯基)吡啶化合物、Schiff碱类金属配位化合物、羟基黄酮类配合物等。如图3-5所示为常见的金属配合物发光材料的分子结构。
图3-5 常见的金属配合物发光材料的分子结构
2.稀土配合物电致发光材料
镧系元素包括从57号镧元素到71号的镥元素,再加上序号为21的钪元素及39号钇元素,共17种元素,我们统称为稀土(Rare Earth)元素。镧系元素基态原子的电子组态有两种:[Xe]4fn6s2组态和[Xe]4fn-15d16s2组态。对于每个特定的元素,采用哪种电子组态是由能量决定的(哪种电子组态的能量比较低,有利于稳定,就采用哪种组态)。随着原子序数的增加,电子不断地填充到4f轨道上,由于4f轨道受屏蔽效应影响,轨道上电子数的改变对稀土元素的化学性质的影响不大,这就使得稀土元素的化学性质具有相似性。但是,这种相似性并不能掩盖稀土元素的差异性,相反,正是这些电子数目的不同造成稀土元素在光学、电学、磁学及其他领域中呈现出丰富多彩的性质和巨大的应用潜力。
按照驱动方式不同,OLED显示分为PMOLED和AMOLED两种。由于后续章节会对这两种类型的OLED器件进行系统而详细的阐述,所以在此只进行简单介绍。
PMOLED矩阵像素由阴极和阳极单纯基板构成,阳极和阴极的交叉部分可以发光。AMOLED每个像素配备具有开关功能的薄膜晶体管,而且每个像素配备一个电荷存储电容,外围驱动电路和显示阵列等整个系统集成在同一玻璃基板上。
PMOLED结构比AMOLED简单,但受制于驱动方式,分辨率无法提高,且器件的响应速度、色彩显示等性能相对较差,应用产品尺寸局限于小尺寸产品上。AMOLED屏幕具备响应速度快、色彩丰富、耗电低等优点,尤其是柔性AMOLED显示屏是未来显示技术尤其是柔性技术的重要发展方向。