购买
下载掌阅APP,畅读海量书库
立即打开
畅读海量书库
扫码下载掌阅APP

1.2 代数式

1.2.1 代数式简介

1.代数式和代数式的值

(1)代数的基本含义是用字母来代表数、代表式。

(2)代数式:用基本的运算符号(加、减、乘、除、乘方、开方)把数或表示数的字母连接而成的式子,称为代数式。实数的运算规律也适用于代数式。单独的一个数或字母也是代数式。

(3)代数式的值:能用具体的数值代替代数式中的字母,按照代数式指明的计算,计算出的结果称为代数式的值。

2.列代数式和公式

(1)列代数式:把简单的与数量有关的词语用代数式表示出来,称为列代数式。

(2)公式:用等号连接起来的两个代数式,实际意义是表示物理量之间关系或数学运算关系的式子。

3.代数式分类

(1)代数式分类如下:

(2)单项式和多项式统称整式。

(3)分式:如果 A B 为整式, B 中含有字母,式子 A / B 称为分式。

【例3】 说出下列代数式的意义。

(1) (2)

解: (1) a 乘以 b 与1的和的积。

(2) a b 之和的倒数。

【例4】 a =0, a = a =0.6时,求代数式 的值。

解: (1) a =0时,有

(2) a = 时,有

(3) a =0.6 时,有

【1.2.1练习题】

1.判断下列各式哪些是代数式,哪些不是代数式。

(1) x + y (2)3( a + b ) (3) S = ab

(4)5+3+2 (5)0 (6) a + b = x + y

2.求代数式 的值。

(1) a =0 (2) a = (3) a =-1

3.用代数式表示:

(1)比 x 大5的数与比 y 少8的数的和。

(2)两个数 a b 的平方和与这两个数积的差的倒数。

(3)每件上衣售价 a 元,降价10%后的售价。

4.一个长方形纸箱,它的长是 a ,宽是 b ,高也是 b ,试写出这个纸箱的体积公式。

1.2.2 整式的加减

1.单项式

(1)单项式:不含加法或减法运算,都是数字与字母的积,这样的整式称为单项式。

(2)单项式系数:单项式中的数字因数(包括前面的符号)。

(3)单项式次数:单项式中所有字母的指数的和。

【例5】 指出下列各单项式的系数和次数。

解: (1) - x ,系数为-1,次数为1。

(2)- ,系数为- ,次数为4。

2.多项式

(1)多项式:多个单项式的代数和。

(2)多项式的项:多项式中每一个单项式称为多项式的一项,有几个单项式称为几项式。多项式中不含有字母的项称为常数项。

(3)多项式的次:多项式中,次数最高的单项式的次数是多项式的次。

(4)多项式排列:

①降幂排列,即把一个多项式按其中某一个字母的指数由高到低的顺序排列。

②升幂排列,即把一个多项式按其中某一个字母的指数由低到高的顺序排列。

【例6】 指出多项式 是几次几项式,其常数项是多少?并按字母 a 降幂顺序重新排列。

解: 多项式为七次五项式,常数项为5。

降幂排列为

3.合并同类项

(1)同类项:多项式中所含字母相同且相同字母的指数分布对应相等的项。

(2)合并同类项:多项式中,凡同类项均可进行合并,合并的法则是系数与系数相加作为新的系数,字母和字母的指数不变。

(3)去括号和添括号:括号前面去掉(或添上)“+”号,括号内各项符号不变;括号前面去掉(或添上)“-”号,括号内各项都变号(正变负,负变正)。

【例7】 判断下列两个单项式是不是同类项。

(1) (2) mn 和-4 nm

(3) (4)8与8 b

解: (1) 不是同类项。

(2) mn 和-4 nm 是同类项。

(3) 不是同类项。

(4)8和8 b 不是同类项。

【例8】 合并同类项:

(1)

(2)

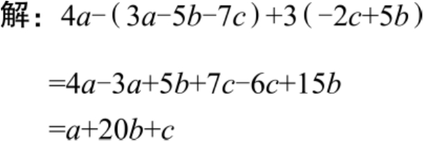
【例9】 对多项式4 a –(3 a -5 b -7 c) +3(-2 c +5 b )去括号。

4.整式的加减

(1)整式的加减运算实际上就是合并同类项。

(2)运算的步骤是先去括号,再合并同类项。整式的加减结果仍为整式。

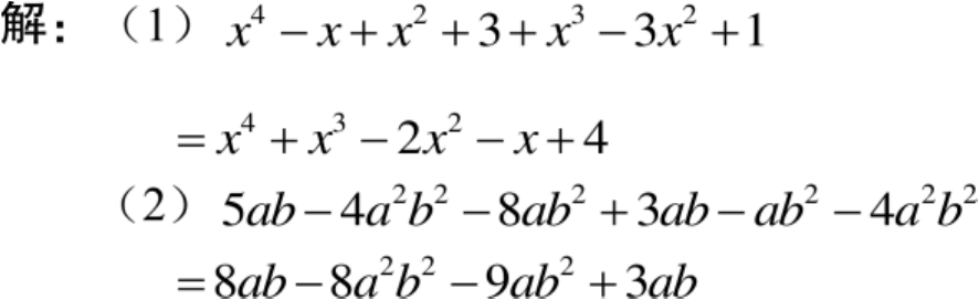
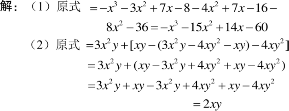
【例10】 计算:

(1)

(2)

【1.2.2练习题】
1.化简:

(1) 3 a +5 b - 5 a -7 b - 2 a -4 b

(2)

2.计算:

(1) A = B= C= ,求 A -2 B +3 C

(2)5 a + -2 a -[3× a -1 -4 2 a +1 ],求 a =-1的值。

1.2.3 整式的乘法

1.同底数幂运算法则

a m a n = a m + n

a m ÷ a n = a m - n

( a m ) n = a mn

( ab ) n = a n b n

2.单项式的乘法

(1)积的系数为各个因式系数的积。

(2)相同字母相乘,按同底数幂的运算法则进行合并。

(3)保留仅在一个单项式中出现的因式。

3.单项式与多项式相乘

(1)法则:单项式与多项式相乘,就是用单项式去乘多项式的每一项,变成单项式的乘法。

(2)对乘积进行合并同类项整理。

4.多项式与多项式相乘

(1)法则:用一个多项式的每一项乘以另一个多项式的每一项,再把所得的积相加。

(2)对乘积进行合并同类项整理。

5.常用乘法公式

( a + b )( a - b )= a 2 - b 2

( a + b ) 2 = a 2 +2 ab + b 2

( a - b ) 2 = a 2 -2 ab + b 2

( a + b )( a 2 - ab + b 2 )= a 3 + b 3

( a - b )( a 2 + ab + b 2 )= a 3 - b 3

( a + b ) 3 = a 3 +3 a 2 b +3 ab 2 + b 3

( a - b ) 3 = a 2 -3 a 2 b +3 ab 2 - b 3

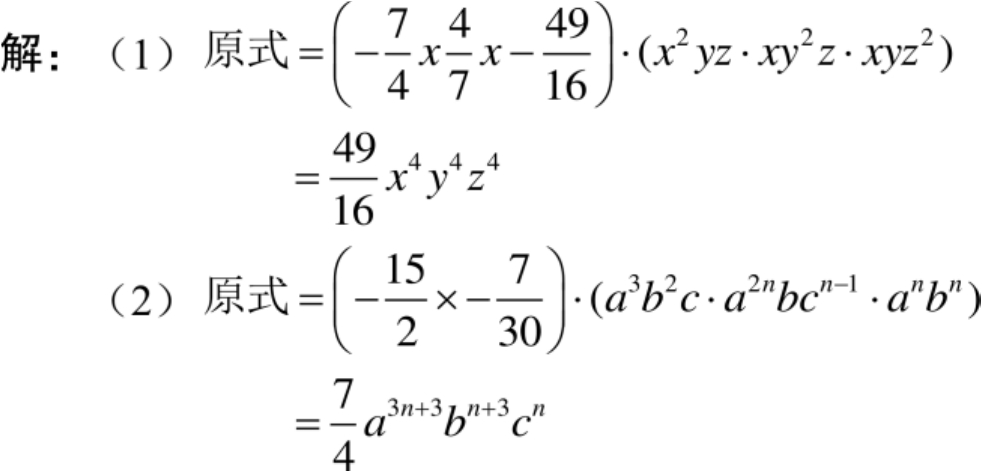
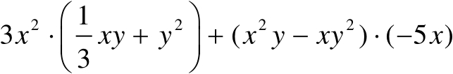
【例11】 化简:

(1)

(2)

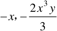
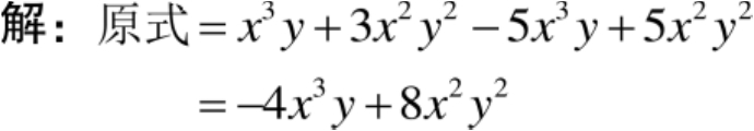
【例12】 化简:

【例13】 化简: 2 a +3 2 a -5

解: 原式

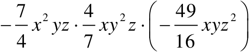
【1.2.3练习题】
1.计算:

(1)

(2)

2.计算:

(1)

(2)

(3)

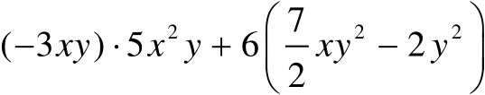
3.计算:

(1)

(2) /daLo3k9AfI9TQycuZXYgLC1BObIxzVbWu5Eq5B/EO/ijwFahO/nXyfz8epvakcz

点击中间区域
呼出菜单
上一章
目录
下一章
×

打开