



电容元件 (Capacitor)是从实际的电容器抽象而来的,它由两个彼此绝缘且相隔很近的导体构成,中间充有绝缘介质,如空气、纸张、塑料等。当在两导体间加上电压时,导体就会储存电荷,所以电容元件是储能元件,是一种储存电荷的“容器”。电容量(Capacitance,简称电容)是衡量电容器储存电荷的能力参数。国际上统一规定,给电容器外加 1V 直流电压,这时它储存的电荷量,为该电容器的电容量(单位电压下的电量),用 C 表示。
电容的电路符号如图2.1.1所示
图2.1.1 电容的电路符号
当电容的电压与电流为关联参考方向时,线性时不变电容的伏安特性为
式中, C 为正值常数,单位为法[拉](F),常用的单位有微法(μF)、皮法(pF),其换算关系:1μF=10 -6 F,1pF=10 -12 F。
当电容的电压与电流为非关联参考方向时,电容的伏安特性为
由式(2.1.1)和式(2.1.2)可知,电容的伏安特性是一个微分关系,所以电容是动态元件。当电容两端的电压保持不变,则通过它的电流为零,对于直流电压而言,电容相当于开路,因此电容具有隔断直流的作用,但对于交流电压来说,通过电容的电流不为零,因此交流信号可以畅通无阻地流过电容器。总的来说,电容的特性是“隔直通交”。
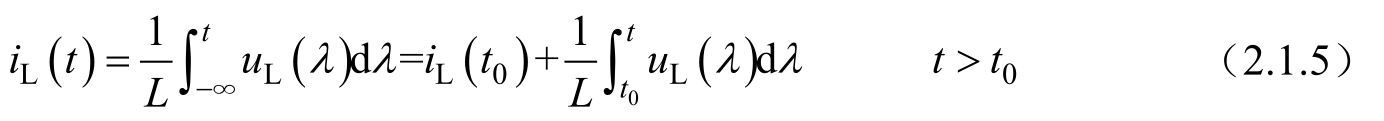
对式(2.1.1)两边积分,可得到电容上电压与电流的另一种关系式
式(2.1.3)表明,某一时刻 t 电容的电压,取决于从-∞到 t 所有时刻的电流值的累积,并不是只取决于该时刻的电流值。在实际中,这个累积过程可以分解成两部分:一部分是在 t 0 时刻电容的初始电压 u C ( t 0 );另一部分是从 t 0 到 t 时间段电流累积作用的结果。电容是一种记忆元件,如给一个电容充电到5V,如果没有放电回路,电容又不漏电,那么这个电容上就一直保持5V电压,即电容的电压具有“记忆”电压的性质。
电容是电子设备中大量使用的电子元件之一。如闪光灯采用电容存储电量,然后高速释放,获得非常明亮的瞬时闪光效果。大容量电容可以通过吸收直流电压线路的波峰和填充波谷来使电压变得平稳,消除脉动,完成低频滤波。较小的电容,瞬间完成充电过程,电池的两极之间将不再有电流通过,完成高频滤波。电容的主要参数有标称容量、容许误差和工作电压。
(1)标称容量和容许误差。
电容标称容量与实际容量之间的偏差与标称容量之比的百分数称为容许误差,简称容差,电容标称容量常见的有E6、E12、E24三大系列,分别适用于容差为±20%、±10%和±5%。
(2)工作电压。
电容在使用时,容许加在其两端的最大电压值称为工作电压,也称耐压。常用的固定电容额定工作电压有10V、16V、25V、50V、100V、160V、250V、400V、2500V等。
实际电感线圈是用漆包线或纱包线或裸导线一圈圈地绕在铁芯或绝缘管上,而彼此又绝缘的一种元件。电感元件(Inductor)是从实际的电感线圈或电感器抽象而来的,它代表电路中储存磁场能量这一物理现象的理想二端元件。电感量(Inductance,简称电感)是表征电感元件存储磁场能力的参数,用 L 表示。
电路图中常用电感的电路符号如图2.1.2所示。
图2.1.2 电感的电路符号
当电压、电流为关联参考方向时,线性时不变电感的特性方程为:
式中, L 为正值常数,单位是亨[利](H),常用的单位有毫亨(mH)、微亨(μH),其换算关系为:1H=10 3 mH=10 6 μH。式(2.1.4)表明,电感的伏安关系是一个微分关系,因此电感是动态元件。当通过电感的电流保持不变时,它两端的电压为零,对直流电流而言,电感相当于短路,即“隔交通直”。
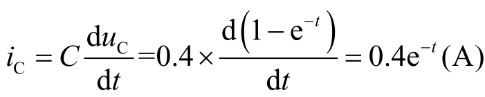
若将电感电流表示成电压的函数,则有
式(2.1.5)表明,某一时刻 t 电感的电流,取决于从-∞到 t 所有时刻的电压值的累积,并不是只取决于该时刻的电压值。在实际中,这个累积过程可以分解成两部分:一部分是在 t 0 时刻电感的初始电流 i L ( t 0 );另一部分是从 t 0 到 t 时间段电压累积作用的结果。电感是一种记忆元件,即电感的电流具有“记忆”电压的性质。
电感在电路中主要起到滤波、振荡、延迟等作用,还有筛选信号、过滤噪声、稳定电流及抑制电磁波干扰等作用。电感在电路最常见的作用就是与电容一起,组成 LC 滤波电路。按封装形式,电感元件可分为贴片电感和插件电感。贴片电感(Chip Inductors),又称为功率电感、大电流电感和表面贴装高功率电感,具有小型化、高品质、高能量储存和低电阻等特性,广泛应用于数码产品、PDA、笔记本电脑、移动电话、家用电器。插件电感(DIP Inductors)有很长的引脚,贴片电感没有引脚。插件电感具有成本低、易焊接、电感量范围宽等特性,体积大、寿命较短,广泛应用于蜂鸣器、警报器、电源控制器等。电感器的主要参数有标称电感量和容许误差、品质因数和标称电流。
(1)标称电感量和容许误差。
标称电感量和实际电感量之间的偏差与标称电感量之比的百分数称为容许误差。通常用于谐振回路的电感线圈精度比较高,容许误差为±0.2%~±0.5%;而用于耦合回路、滤波回路、换能回路的电感线圈精度比较低,容许误差为±10%~15%。
(2)品质因数。
品质因数 Q 是衡量电感线圈质量的重要参数, Q 值的大小表明了线圈损耗的大小, Q 值越大,线圈的损耗越小,效率越高。
(3)标称电流。
标称电流是指电感线圈在正常工作时,容许通过的最大电流,也叫额定电流。若工作电流超过额定电流,则电感就会因发热而使性能参数发生改变,甚至还会因过流而烧毁。
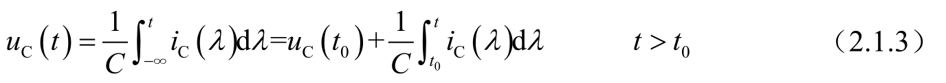
【例2.1.1】 如图2.1.3所示电路,已知 u C ( t )=(1-e -t ) V, t >0, R =1Ω, C =0.4F, L =2H。求 t >0时的端口电压 u 。
图2.1.3 例2.1.1电路
解: 根据式(2.1.1),电容的电流为。
电阻的电压为 u R = R × i C ( t )=0.4e -t (V), t >0
所以电感两端电压为 u L = u R + u C =1-0.6e -t (V), t >0,即 u = u L = u R + u C =1-0.6e -t (V), t >0。