



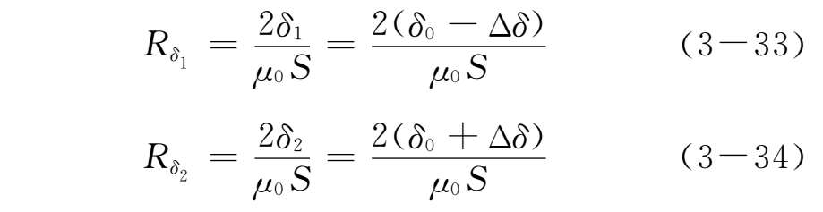
图3-8(a)所示的Π形差动变压器,当不考虑铁损、漏感且忽略铁芯和衔铁的磁阻,在次级线圈开路时有
式中: ψ 1 和 ψ 2 分别为次级线圈1和2的磁通匝链数, ψ 1 = N 2 Φ 1 , ψ 2 = N 2 Φ 2 ,则
式中: N 2 为两次级线圈匝数。
当初级线圈激励电压为
U
sr
时,次级线圈的磁通为
Φ
1
和
Φ
2
。根据磁路定理,可画出传感器磁路图如图3-9所示。由磁路可求出
Φ
1
=
,
Φ
2
=
。
设衔铁向上移动了Δ δ ,则
图3-9 传感器磁路图
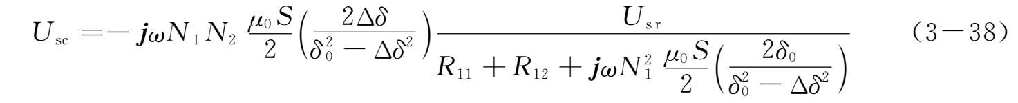
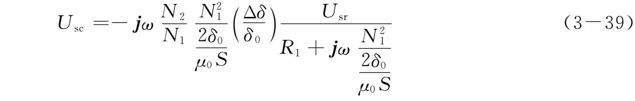
其中,除 I 1 外均为已知,为此,需要求出初级线圈中的励磁电流 I 1 。当次级线圈中无电流时(负载为无穷大),则
式中: Z 11 = R 11 + j ω L 11 ; Z 12 = R 12 + j ω L 12 。 R 11 、 R 12 , L 11 、 L 12 , Z 11 、 Z 12 分别表示上、下初级线圈的铜电阻、电感和复阻抗,其中
代入式(3-37),得
式中含有Δ δ 的2次项,这是引起非线性的因素。如果忽略Δ δ 2 项,并设 R 11 = R 12 = R 1 ,上式可改写为
把
L
0
=
代入上式,整理后得
其中, Q = ω L 0 / R 为品质因数。
由上式可知,输出电压中包含与电源电压
U
sr
同相的基波分量和相位差90°的正交分量。这两个分量都同气隙的相对变化量Δ
δ
/
δ
0
有关。
Q
值提高,正交分量将减小。因此,希望差动变压器具有高的
Q
值。
Q
值很高时,
,上式可简化成
上式表明,输出电压 U sc 与衔铁位移Δ δ 之间是成比例的,其输出特性曲线如图3-10所示。由图可见,单一线圈的感应电动势 E 21 或 E 22 与铁芯的位移不成线性,两个线圈差接以后,输出电压就与铁芯的位移成线性关系了。上式中负号表示当Δ δ 向上为正时,输出电压 U sc 与电源电压 U sr 反相;当Δ δ 向下为负时,两者同相。
图3-10 输出特性曲线
由差动变压器的灵敏度表达式
可知,传感器的灵敏度将随电源电压 U sr 和变压比 N 2 / N 1 的增大而提高,随起始间隙增大而降低。一般情况下取 N 2 / N 1 =1~2,太大时,次级线圈的输出阻抗过高,易受外部干扰的影响。必须注意,位移量要限制在一定范围内, δ 0 一般在0.5mm左右。 δ 0 过大,灵敏度要降低,而且边缘磁通将增大到不能忽略的程度,从而使非线性增大。在实际输出特性中,当 δ 0 =0时,还存在着零位电压 U 0 。
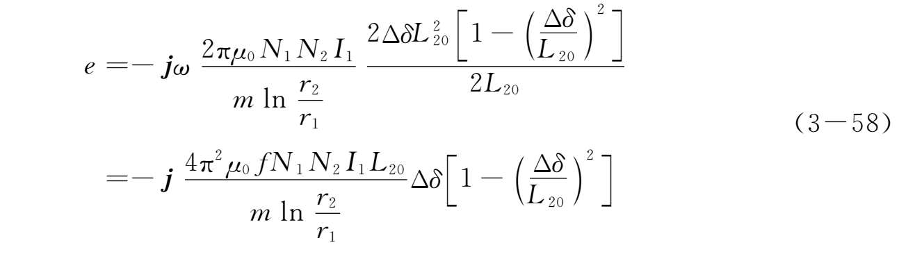
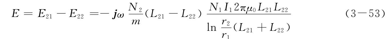
如图3-8(b)所示,螺管型差动变压器的中间是初级线圈,两边是对称的两个次级线圈。下面来分析该差动变压器的输出特性。对符号规定如下: b 为初级线圈的长度, N 1 为初级线圈的匝数, m 为次级线圈的长度, N 2 为每个次级线圈的匝数, L 为活动衔铁的长度, r 1 为螺线管的内径, r 2 为螺线管的外径, L 21 为衔铁伸入次级线圈1的长度, L 22 为衔铁伸入次级线圈2的长度。
根据法拉第电磁感应定律,次级线圈1和2感应电动势为
式中: N 21 和 N 22 分别为磁通穿过次级线圈1和2的匝数; Φ 1 、 Φ 2 和 ψ 1 、 ψ 2 分别为穿过次级线圈1和2的磁通和磁通匝链数。由图3-11知,磁通穿过次级线圈1的匝数为
图3-11 磁通穿过次级线圈1的匝数
同理
N
22
=
。
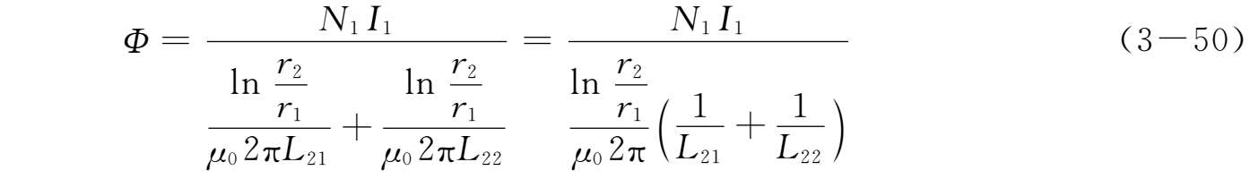
根据磁路定理,磁路的磁通为
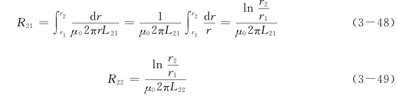
式中: R X 、 R Y 、 R 21 和 R 22 分别为铁芯、衔铁棒、衔铁伸入次级线圈1和衔铁伸入次级线圈2的磁阻,因为 R X + R Y《 R 21 + R 22 ,所以
R 21 和 R 22 为同心圆环的磁阻,可由积分求得。
代入(3-47)式得
由于磁路是串联的,所以 Φ 1 = Φ 2 = Φ ,则
输出电压为
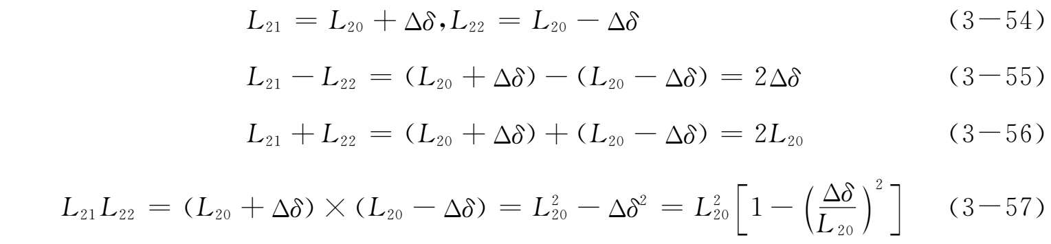
设某一时刻衔铁向上移动Δ δ ,则
则得
记
K
=
,为差动变压器的灵敏度。
可见,差动变压器的灵敏度与激励频率成正比,通常在中频(400Hz~10kHz)应用,其电压灵敏度可达0.1~5V/mm。由于灵敏度高,在测量大位移时可不用放大器,因此测量线路简单。差动变压器的非线性决定于最后一项,一般测±9mm的差动变压器,线性范围约±(5~6)mm。活动衔铁的直径在允许的条件下尽可能粗些,这样有效磁通较大。在不影响线性度的情况下,初级线圈的输入电压(电流)尽可能高些。
当铁芯处于线圈中心时,次级线圈的输出电压应为零。但是由于实际结构不完全对称,激磁电流与铁芯磁通的相位差不为零以及寄生电容的综合影响等,使得输出电压不为零,此值称为零点电压。通常为几毫伏到几十毫伏,它决定传感器的精度。为了消除零点电压值,通常在测量电路中采取补偿措施。
差动变压器输出的交流信号,其波形是调幅波,无法鉴别被测位移的方向。为了观察衔铁的实际运动规律,可采用差动相敏整流电路。差动变压器除测量位移外,还可以用来测量振动、加速度及压力。差动变压器从供电方式可分为交流式和直流式两种。直流式差动变压器是将直流电通过振荡器变为交流电,并将电子电路与差动变压器封装在一起,如图3-12所示。这种传感器,供给稳定的直流电,就能获得与位移成正比的直流电压输出。
图3-12 直流式差动变压器