



设自感式传感器初始气隙为 δ 0 ,初始电感量为 L 0 ,衔铁位移引起的气隙变化量为Δ δ ,从式(3-4)可知, L 与 δ 之间是非线性关系, L 与 A 之间是线性关系,特性曲线如图3-2所示。
图3-2 电感式传感器的 L - δ 特性
下面对自感式传感器的灵敏度进行讨论。对图3-1(a)所示变气隙式传感器,初始电感量为
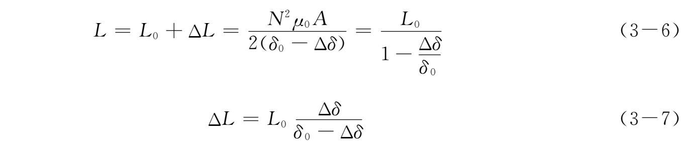
当衔铁上移Δ δ 时,传感器气隙减小Δ δ ,即 δ = δ 0 -Δ δ ,则此时输出电感为 L = L 0 +Δ L ,代入式(3-4)并整理得
当
时,有
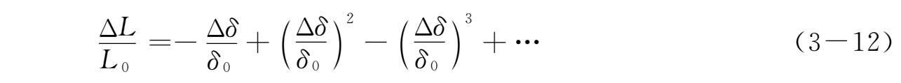
忽略高次项得
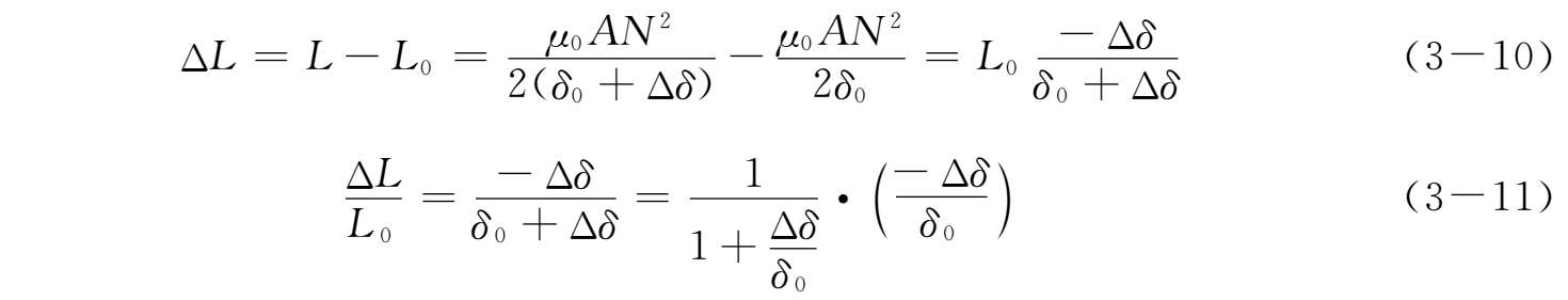
同理,当衔铁下移Δ δ 时,传感器气隙增大Δ δ ,即 δ = δ 0 +Δ δ ,则此时输出电感为 L = L 0 -Δ L ,代入式(3-4)并整理,得到相对变化量为
当
时,有
忽略高次项得
综上所述,设气隙式传感器的灵敏度为 K ,则有
由上式可知,变气隙式传感器的输出特性是非线性的。欲增大灵敏度,应减小 δ ,但受到工艺和结构的限制。为保证一定的测量范围与线性度,对于变气隙式传感器,常取 δ =0.1~0.5mm,Δ δ =(1/5~1/10) δ 。