



应变片将试件应变 ε 转换成电阻相对变化Δ R / R ,为了能用电测仪器进行测量,还必须将Δ R / R 进一步转换成电压或电流信号,这种转换通常采用各种电桥线路。根据电源的不同,可将电桥分为直流电桥和交流电桥。
图2-14为由桥臂 R 1 、 R 2 、 R 3 、 R 4 组成的直流电桥。
直流电桥的特性方程是指电桥对角端负载电流 I f 与各桥臂参数和电源电压的关系式。利用等效电源定理, a 、 b 两端的开路电压和内阻分别为
平衡时有 R 1 R 4 - R 2 R 3 =0,上式称为直流电桥平衡条件,它说明欲使电桥达到平衡,其相邻两臂的比值应相等,即
图2-14 直流电桥
图2-15 R 1 为工作臂时的直流电桥
电阻应变计工作时,其电阻变化很微小。例如,一片 k =2,初始电阻120Ω的应变计,受到1000微应变时,其电阻变化仅0.24Ω。引起的不平衡电压极小,不能用它来直接推动指示仪表,故需加以放大。这时感兴趣的是电桥输出电压。一般放大器的输入阻抗较电桥的内阻要高得多,可认为电桥输出端处于开路状态。如图2-15所示,设 R 1 为电桥工作臂,受应变时,其电阻变化为Δ R 1 , R 2 、 R 3 、 R 4 均为固定桥臂。在起始时,电桥处于平衡状态,此时 U sc =0。当有Δ R 1 时,电桥输出电压为
设
n
=
R
2
/
R
1
,考虑到起始平衡条件,并略去分母中的
项,得
K u 称为电桥的电压灵敏度。 K u 愈大,说明应变计电阻相对变化相同的情况下,电桥输出电压愈大,电桥愈灵敏。由上式知,欲提高 K u ,必须提高电源电压,但它受应变计允许功耗的限制。另外就是选择适当的桥臂比 n 。
当
n
=1时,
K
u
为最大。这就是说,在电桥电压一定,当
R
1
=
R
2
,
R
3
=
R
4
时,电桥的电压灵敏度最高。通常这种情况称为电桥的第一种对称形式。而
R
1
=
R
3
,
R
2
=
R
4
则称为电桥的第二种对称形式第一。种对称形式有较高的灵敏度,第二种对称形式线性较好。等臂电桥是其中的一个特例由,
U
sc
=
可知,当电源电压及电阻相对变化一定时,电桥的输出电压及其电压灵敏度将与各桥臂阻值的大小无关。当
R
1
=
R
2
=
R
3
=
R
4
时,为全等臂电桥。全等臂电桥是
n
=1时的一种特例,是应变式传感器中常采用的形式。
全等臂直流电桥单臂、双臂、全桥工作时的情况讨论如下:
(1)单臂电桥
图2-16中, R 1 = R 2 = R 3 = R 4 = R ,Δ R =Δ R 1 ,单臂工作时,只有一臂工作,即 R +Δ R 1 ,可得
图2-16 单臂工作电桥
图2-17 双臂工作电桥
(2)双臂电桥
当相邻臂工作时,如图2-17所示,一臂为 R 1 +Δ R 1 ,另一臂为 R 2 +Δ R 2 ,由于 R 1 = R 2 = R 3 = R 4 = R ,而Δ R 1 =Δ R 2 =Δ R ,所以
同理相对臂工作时,一臂为 R 1 +Δ R 1 ,另一臂为 R 4 +Δ R 4 时,也可导出
(3)全桥
全桥工作时,电路如图2-18所示,可推出
图2-18 全桥电路
比较三种结构,全桥灵敏度最高,双臂工作的差动电桥灵敏度次之,单臂电桥灵敏度最低。
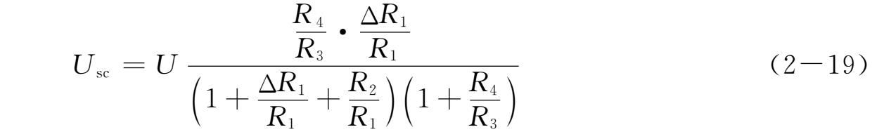
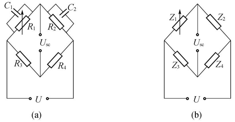
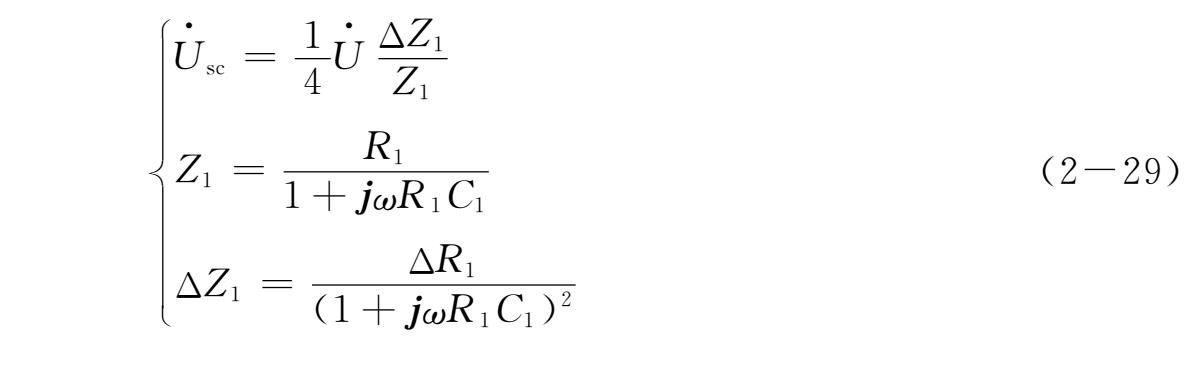
当采用交流供桥载波放大时,应变电桥也需交流电源供电。应变电桥各臂一般是由应变计或无感精密电阻组成,是纯电阻电桥。但在交流电源供电时,需要考虑分布电容的影响,这相当于应变计并联一个电容,如图2-19(a)所示。此时桥臂已不是纯电阻性的,这就需要分析各桥臂均为复阻抗时一般形式的交流电桥。交流电桥的一般形式如图2-19(b)所示,其中 Z 1 、 Z 2 、 Z 3 、 Z 4 为复阻抗。其电源电压、输出电压均应用复数表示。
图2-19 复阻抗时一般形式的交流电桥
输出电压的特性方程为
所以平衡条件为
Z
1
Z
4
-
Z
2
Z
3
=0或
=
。
若设电桥臂阻抗为
则交流平衡条件可以写为
交流电桥的平衡条件与直流电桥的不同,需要满足两个方程式,即不仅各桥臂复阻抗的模必须满足一定的比例关系,而且相对桥臂的幅角和必须相等。
考虑到电桥的起始平衡条件并略去分母中含Δ Z 1 项,得