



电阻应变片的工作原理是基于金属的应变效应。金属丝的电阻值随着它所受的机械形变(拉伸或压缩)的大小而发生相应变化的现象称为金属的电阻应变效应。
长为
l
、截面积为
A
、电阻率为
ρ
的金属或半导体丝电阻,
R
=
,如图2-1。若导电丝在轴向受到应力的作用,其阻值将发生变化。假设其长度变化Δ
l
,截面积变化Δ
A
,电阻率变化Δ
ρ
,而引起电阻变化Δ
R
,对
R
=
作全微分,则
图2-1 金属导线的电阻应变效应
设电阻丝为圆形截面,直径为 d ,则
式中:
k 0 为单根导电丝的灵敏系数,表示当发生应变时,其电阻变化率与其应变的比值。 k 0 的大小由两个因素引起:一个是由于导电丝的几何尺寸的改变所引起,由(1+2 μ )项表示;另一个是导电丝受力后,材料的电阻率ρ发生变化而引起,由(Δ ρ / ρ )/(Δ l / l )项表示。
引用
=
π
T
,其中应力
T=E
ε
=
,
π
表示压阻系数,
ε
=Δ
l
/
l
为应变,则有
对金属来说, π E 很小,可忽略不计, μ =0.25~0.5,故 k 0 =1+2 μ ≈1.5~2。对半导体而言, π E 比1+2 μ 大得多,压阻系数 π =(40~50)×10- 11 m 2 /N,杨氏模量 E =1.67×10 11 Pa,则 π E ≈50~100,故(1+2 μ )可以忽略不计。可见,半导体灵敏度要比金属大50~100倍。
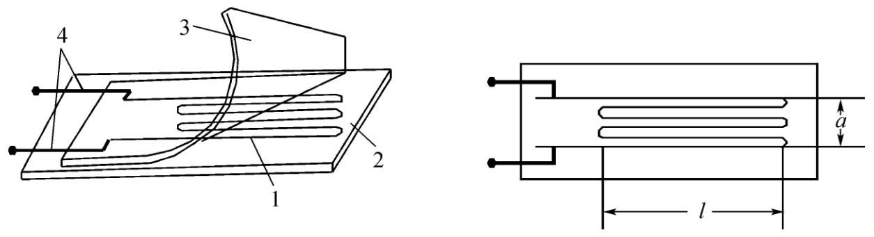
电阻应变片种类繁多,但基本构造大体相同,如图2-2所示,图中 l 称为应变计的标距,也称(基)栅长, a 称为(基)栅宽, l × a 称为应变计的使用面积。
图2-2 电阻应变计构造简图
1—敏感栅;2—基片;3—盖片(即保护片);4—引线
敏感栅是应变片的核心部分,它粘贴在绝缘的基片上,其上再粘贴起保护作用的覆盖层,两端焊接引出导线。常用金属应变片的敏感栅有丝式、箔式、薄膜式等。
(1)丝式应变计
丝式应变计是最早应用的品种。金属丝弯曲部分可做成圆弧、锐角或直角,如图2-3所示。弯曲部分做成圆弧(U)型是最早常用的一种形式,制作简单但横向效应较大。直角(H)型两端用较粗的镀银铜线焊接,横向效应相对较小,但制作工艺复杂,将逐渐被横向效应小、其他方面性能更优越的箔式应变计所代替。
图2-3 金属丝式应变计常见形式
(2)箔式应变计
箔式应变计的线栅是通过光刻、腐蚀等工艺制成很薄的金属薄栅(厚度一般在0.003~0.01mm)。图2-4画出了几种箔式应变计。
图2-4 几种箔式应变计
(3)薄膜式应变计
薄膜式应变计是采用真空溅射或真空沉积技术,在薄的绝缘基片上蒸镀金属电阻薄膜(厚度在零点几纳米到几百纳米),再加上保护层制成。其优点是灵敏度高,允许通过的电流密度大,工作温度范围广,可工作于-197~317℃,也可用于核辐射等特殊情况下。
常用的敏感元件材料是康铜(铜镍合金)、镍铬合金、铁铬铝合金、铁镍铬合金等。常温下使用的应变计多由康铜制成。