



如前文所述,Leon-Ledesma,McAdam and Willman(2010)证明了建立在供给面上的CES生产函数标准化系统方法最为稳健,因此本文将采用该方法进行省级层面和行业层面的要素偏向型技术进步的测算。假设一个含有劳动要素、资本要素、劳动增强型技术和资本增强型技术的生产函数
Y
=
F
(
A
t
,
K
t
,
B
t
,
N
t
),其中,
A
t
、
B
t
分别为劳动增强型技术和资本增强型技术,表示技术进步带来的劳动和资本生产效率的增加,
K
t
、
N
t
分别代表资本和劳动两种生产要素。在该生产函数中,技术进步偏向可表示为
,代表技术进步如何影响劳动与资本边际报酬之比。
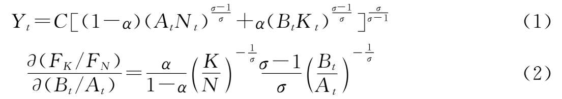
文献一般采用固定替代弹性生产函数来研究技术偏向问题,即CES生产函数。相比Cobb-Douglas生产函数,CES生产函数放松了对要素替代弹性 σ 的假定, σ ∈[0,+∞]。生产函数和技术进步偏向的表达式为:
因此,给定 K 和 N ,只有当资本和劳动的替代弹性 σ 是大于1时(2)式大于0, B t / A t 上升意味着技术进步是偏向资本的,当 σ 小于1时, B t / A t 上升意味着技术进步是偏向劳动的。当资本和劳动的替代弹性 σ 等于1时,技术进步是中性的。(2)式也说明,度量技术进步的偏向,首要的是算出要素份额 α 和要素替代弹性 σ 。
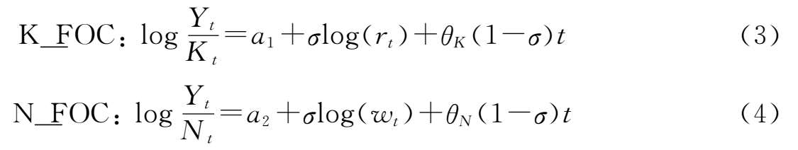
对(1)式求一阶条件,得到对数线性化的一阶条件为:
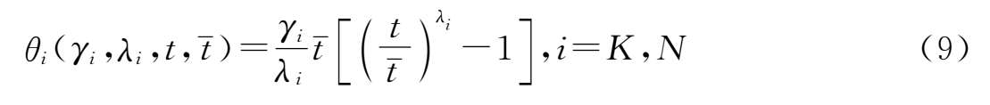
其中
θ
N
为劳动效率增长率,
θ
K
为资本效率增长率,
θ
N
=dln
A
t
=
,
θ
K
=dln
B
t
=
,
w
和
r
分别表示真实工资率和真实利率。
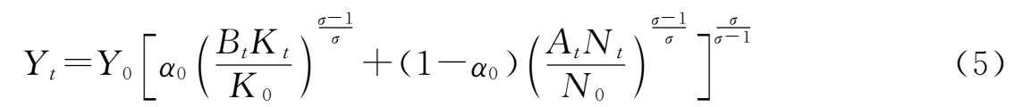
但是我们并不直接对方程组(3)和(4)进行估计,而是才用标准化供给面系统法。标准化供给面系统法的核心思想是将CES函数与上面两个一阶条件联立形成一个供给面系统,即联立式(1)、(3)、(4)三个方程。式(1)是CES生产函数本身,式(3)、式(4)分别是最优化的资本使用水平和最优化的劳动使用水平。然后再对此供给面系统进行标准化。在现有研究中,首先是De La Grandville(1989)、Klump and De La Grandville(2000)指出了CES函数标准化的重要性。随后,Klump et al.(2007)改进了对CES函数进行标准化的方法,并使用供给面系统测算了美国的要素替代弹性。最后,Leon-Ledesma,McAdam and Willman(2010)比较了各种现行的测量方法,利用蒙特卡洛实验证明了供给面标准化系统法是估计要素替代弹性最为稳健的方法。Klump et al.(2007)指出,之所以要采用供给面标准化系统法的原因主要有两个:首先,替代弹性不同的CES生产函数不可比,而通过标准化变换之后,不同弹性的CES生产函数在某一点恒成立,使得标准化后的CES生产函数变为同族函数(functions of a family),可以进行比较。第二,在CES函数中,要素份额 α 与要素替代弹性 σ 是无关的,但是未经标准化时可以解得 α 是 σ 的函数,这与CES的函数特征是矛盾的,经过标准化之后,该问题可以得到解决。遵从Klump et al.(2007)的做法,我们将 Y 、 K 和 N 对基准值 Y 0 、 K 0 和 N 0 做除法,不失一般性,可将两种要素增强型技术 A t 和 B t 的基准水平设为1,则可将式(1)标准化为式(5):
在标准化的过程中,基期如何选择是个重要的问题,Klump et al.(2007)在文章中提出了解决这一问题的很好的方法,即引入了调整系数
ξ
,使得
=
Y
0
,
=
N
0
,
=
K
0
,
=
t
0
。调整系数使得生产函数左右两边相等,则系统被标准化为:
上式的要素效率增长率被设定为Box-Cox型的增长率。Klump et al.(2007),McAdam and Willman(2004),Leon-Ledesma,McAdam and Willman(2010)等人的文献使用Box-Cox型变换的原因有两个:第一,在这种设定下,要素效率的增长率可以随时间变化而变化,比通常设定的常数增长率更为一般化;第二,Box-Cox变换可用于连续的响应变量不满足正态分布的情况,变换之后可以一定程度上减小不可观测的误差和预测变量的相关性,能够提高模型估计要素替代弹性的准确性,以更精确地测算偏向型技术进步。Box-Cox变换形式为:
其中, γ 表示要素效率的增长参数,λ表示要素效率的曲率。式(6)~(8)即为完整的标准化供给面系统法。估计这个系统可得到 σ 、 γ 、 λ 、 ξ 和 α 的取值。
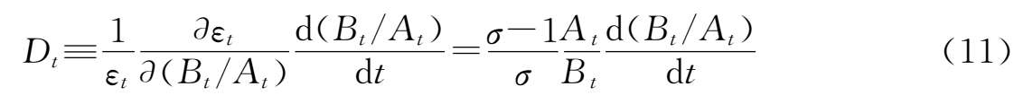
本文沿用了Acemoglu(2002)、戴天仕和徐现祥(2010)的定义计算技术进步偏向指数。ε t 为资本和劳动的边际产出比,其表达式为:
根据要素偏向型技术进步的定义,如果要素增强型技术的相对进步会引起资本劳动边际产出比上升(或下降),则技术进步就是有偏向的。根据定义,可得到技术进步偏向指数 D t ,其表达式为:
由(10)式可以看出,ε
t
即为资本的边际产出比劳动的边际产出,
表示在其他条件不变时,技术水平(
)的一单位变化会对资本劳动边际产出比(
ε
t
)产生多大的影响。因此,以对技术进步产生的偏效应的大小进行合理的判断。(11)式将技术进步偏向分解为
t
时期技术水平的变化和单位技术水平变化对资本劳动边际产出比增长率的影响程度,而公式中的
是要素边际产出比的倒数,用来将计算出的要素边际产出比的变化量加以标准化,从而可以解释技术进步偏向指数的标准化特征。当
D
t
大于0时,意味着技术进步(
的变化)使得资本的边际产出比劳动的边际产出(
ε
t
)在上升,即资本的边际产出增长超过劳动的边际产出增长,这种情况为技术进步偏向资本。当
D
t
小于0时,意味着技术进步使得资本的边际产出比劳动的边际产出(
ε
t
)在下降,即劳动的边际产出增长超过资本的边际产出增长,这种情况为技术进步偏向劳动。
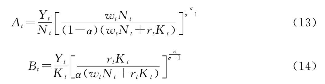
我们可以用 A t 、 B t 和替代弹性来计算这个技术进步偏向指数,然而劳动增强型技术 A t 和资本增强型技术 B t 是未知的。在供给面标准化系统里,我们曾有一个最优化产量的假设,沿用这个假设,劳动与资本按照边际产出获得报酬,则:
代入CES生产函数中,得到劳动增强型技术和资本增强型技术的计算公式:
其中 w t N t 和 r t K t 分别代表劳动报酬和资本报酬。
根据以上的标准化系统和技术进步偏向指数的定义,技术进步偏向指数具体算法如下:第一步,利用(6)~(8)式的标准化系统估计出资本和劳动的替代弹性(
σ
)和基期要素密度(
α
);第二步,利用(13)、(14)式计算
A
t
和
B
t
;第三步,利用第(10)式计算
ε
t
;第四步,利用第(10)式求出
的函数形式,并将数值代入求得
;第五步,由于样本中的时间是离散的,因此
。