购买
下载掌阅APP,畅读海量书库
立即打开
畅读海量书库
扫码下载掌阅APP

2.1 东风本田思域车系故障码数据速查(2006款)

一、发动机控制系统故障码

发动机控制系统故障码如表2-1所示。

表2-1 发动机控制系统故障码

(续表)

(续表)

注:*1:使用HDS短接SCS线时,通过MIL的闪烁来显示上述故障诊断代码(DTC)

*2:自动变速箱

*3:EXI(B),VTI(B),VIT-S(B)

*4:配备VSA

*5:EXI(B),VTI(B),VIT-S(B)型除外

二、自动变速器故障码

自动变速器故障码如表2-2所示。

表2-2 自动变速器故障码

(续表)

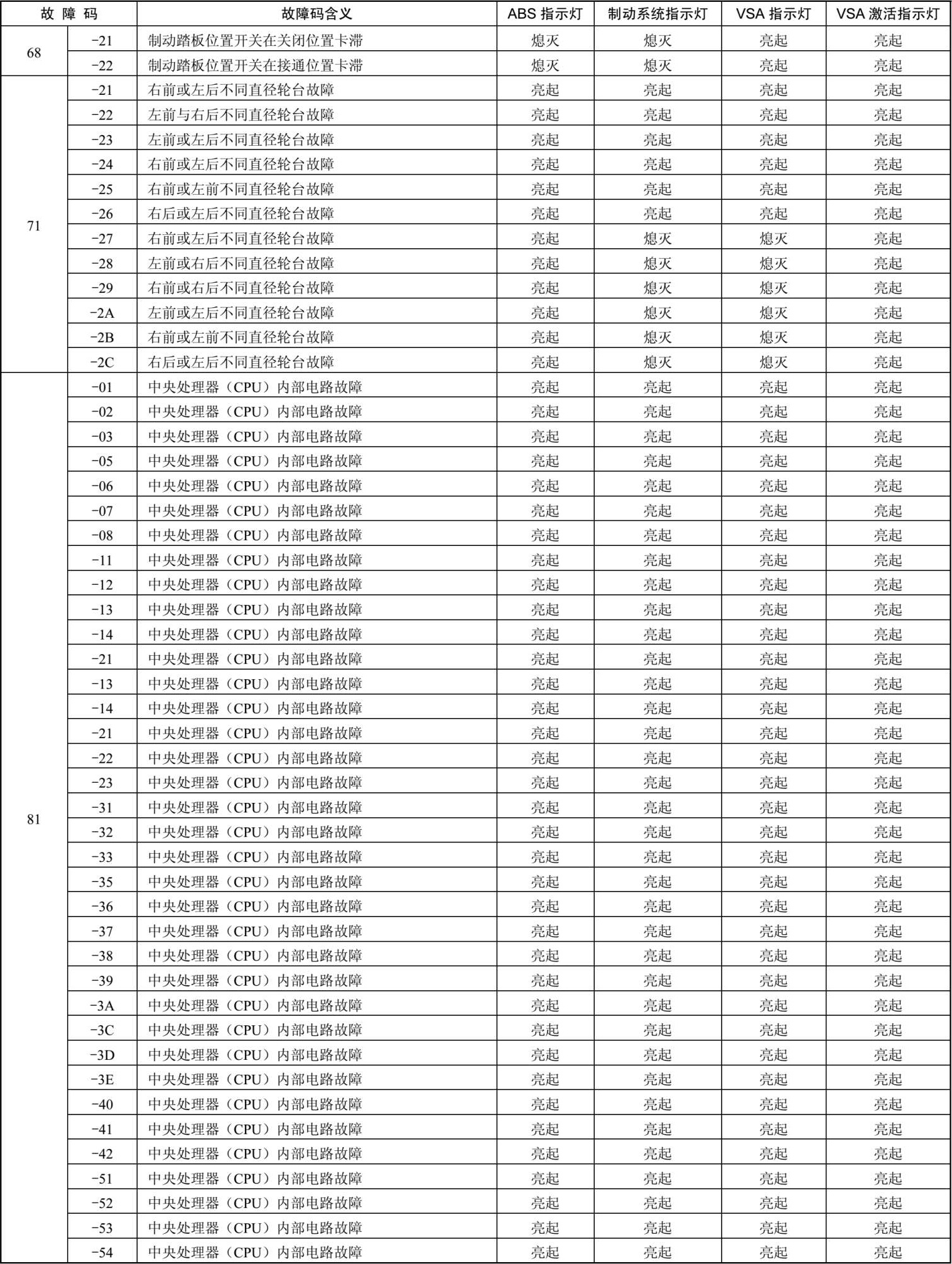
三、车辆稳定性控制系统故障码

车辆稳定性控制系统故障码如表2-3所示。

表2-3 车辆稳定性控制系统故障码

(续表)

(续表)

(续表)

(续表)

*:两个或两个以上车轮出现故障时,制动系统指示灯亮起

四、空调室温控制系统故障码

空调室温控制系统(A/C)故障码如表2-4所示。

表2-4 空调室温控制系统(A/C)故障码

五、车身电器系统故障码

检查ECM/PCM的DTC,首先排除ECM/PCM或F-CAN通信故障,然后记录所有DTC,并使用DTC故障处理索引按照DTC类别进行分类,然后按照下列顺序排除。

① 蓄电池电压DTC。

② 内部故障DTC。

③ 通信故障DTC。

④ 信号故障DTC。

1. 多路控制器(MICU)

多路控制器(MICU)故障码如表2-5所示。

表2-5 多路控制器(MICU)故障码

(续表)

2. 仪表控制模块

仪表控制模块故障码如表2-6所示。

表2-6 仪表控制模块故障码

3. 温湿控制装置

温湿控制装置故障码如表2-7所示。

表2-7 温湿控制装置故障码

(续表)

4. 防启动遥控控制装置

防启动遥控控制装置故障码如表2-8所示。

表2-8 防启动遥控控制装置故障码 gf1+NgsvpblaRgdOD3kj8Wj7NxqYJQwL9rhQDQeHau4QM5xd7qIozPsmFwUPYXH+

点击中间区域
呼出菜单
上一章
目录
下一章
×