购买
下载掌阅APP,畅读海量书库
立即打开
畅读海量书库
扫码下载掌阅APP

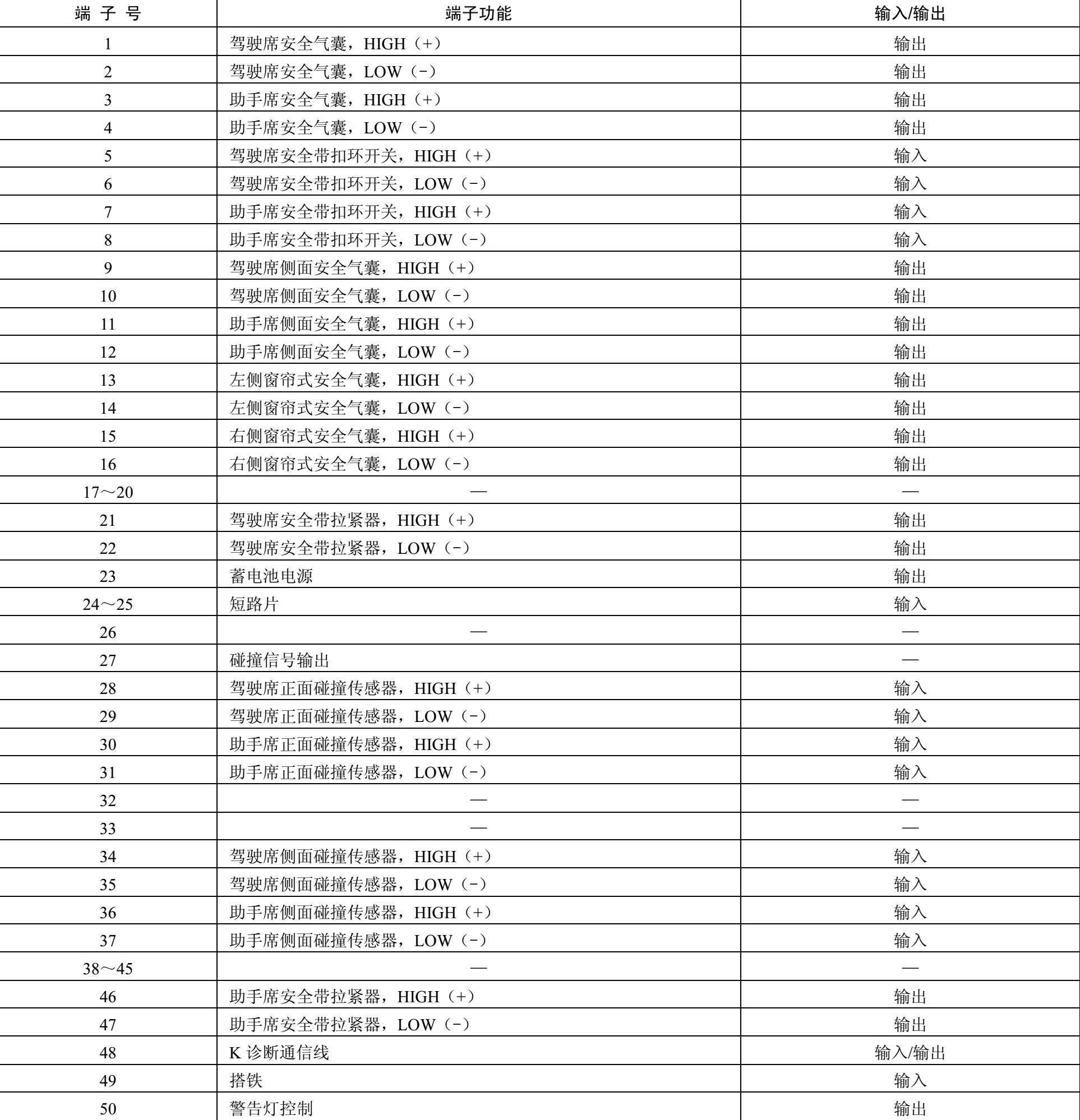
四、安全气囊系统

安全气囊系统电控单元(SRS)连接器如图1-11所示,其端子功能如表1-17所示。

图1-11 安全气囊系统电控单元(SRS)连接器

表1-17 安全气囊系统电控单元(SRS)连接器端子功能 0cYKCHF65Krx7lRpfLMWd1+yeH44u8wOT36WtMYQ7RWtm42Nmchl1yp9oCA/2rS0

点击中间区域
呼出菜单
上一章
目录
下一章
×