



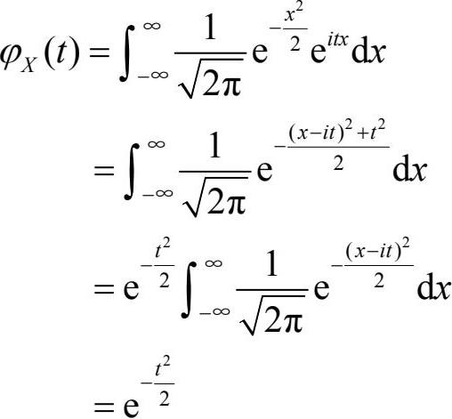
设r.v. X的概率密度函数为
,定义X的特征函数为
可见特征函数
是概率密度函数
的傅里叶变换,或者理解为特征函数
是函数
的数学期望。特征函数具有如下一些性质:
(1)若Y=aX+b,则
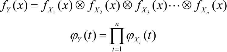
(2)设r.v. Y是n个独立的r.v. X
1
,X
2
,X
3
,…,X
n
之和,即
,则有
式中⊗表示“卷积”运算,由此可见,对于独立随机变量的和,概率密度函数对应卷积,而特征函数则对应乘积。
(3)特征函数与分布函数一一对应。
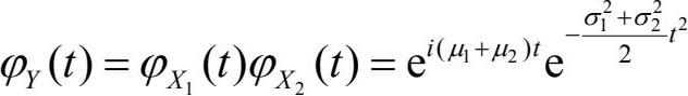
定理 2-3:若
,且X
1
和X
2
独立,Y=X
1
+X
2
,则
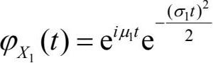
证明:首先服从标准正态分布N(0,1)的r.v. X的特征函数为
其次,考查X
1
和X
2
的特征函数,因为
,由特征函数的性质(1)可得
同理
再根据性质(2)可得
由此可见,
。