



如果某个实际的物理试验或想象中的试验,在试验前知道所有可能的试验结果,每次试验之前虽不能确定本次试验的结果,但知道该结果必为可能的试验结果之一,且该试验在相同条件下可以重复进行,则称这样的试验为随机试验E。随机试验每个可能的试验结果称为该试验的一个基本事件(又称样本点),常用符号ω表示,基本事件一定是彼此互斥的。随机试验所有可能的试验结果构成的集合称为该试验的基本事件空间(又称样本空间),常用符号Ω表示。由若干基本事件组成的集合称为一个事件。由此可见,如果把基本事件空间Ω看做是全集,那么事件A可以理解成Ω的某个子集。一次随机试验做完后,如果试验结果是事件A中的某个基本事件,则称事件A发生了。对于一个基本事件空间Ω可以构造出众多的事件(如果一个有限集合Ω中的元素个数为n,则Ω共有 2 n 个子集,因此一共存在着 2 n 个可能的事件),在其中有两个特殊的事件值得注意,一个是不可能事件∅,该事件不含有任何基本事件,因此在该随机试验中不可能发生;另一个是必然事件Ω,该事件包含了全部基本事件,因此试验做完后必然事件一定会发生。经过上面的阐述,不难发现基本事件、基本事件空间和事件完全可以对应于集合论中元素、全集和子集等概念,如表 2-1 所示。
表 2-1 概率论与集合论术语的对应
由于存在这样的对应关系,所以可以应用集合的观点看待事件,集合论中各种运算及性质都可以应用到对事件概率的分析中。
根据基本事件空间类型的不同可以把随机试验分为离散型试验和连续型试验。基本事件空间为有限集或可列集的随机试验称为离散型随机试验。
对于离散型随机试验,基本事件的概率分布可以列成表格的形式。离散型随机试验具体可以分为基本事件个数是有限的或可列的两种情况。前一种情况所涉及的概率论通常被称为初等概率论。后面的讨论将以可列基本事件空间为主,因为它包含了有限的情形。对于一个含有样本点ω 1 ,ω 2 ,ω 3 ,…的离散样本空间Ω,需要为每个基本事件ω i 都赋予一个数p(ω i ),称其为基本事件ω i 的概率,p(ω i )需要满足:
非负性:
规范性:
=1
由该随机试验的物理特性决定,在实际问题中,我们往往假设随机试验具有均衡性、对称性等特点,结合这些特点并辅助以一些统计和组合分析的方法就可以求得
。进一步,可以应用公式(2-1)计算任意事件A的概率:
该公式源于概率的可加性,这将在概率的公理化定义中加以解释。
通过上面的说明,我们对概率有了一个基本的认识,即概率可以理解为对一个事件(或集合)的一个度量,它描述了在随机试验中该事件发生的可能性的大小。由于每个随机试验都涉及很多事件,所以概率可以看做是事件的函数,即集合函数,因此概率函数P(A)的定义域应该是集合的集合,即集合类。那么什么样的集合类才能充当概率函数的定义域呢? 前面提到过,对于一个基本事件空间Ω来说,可以构造出包括必然事件Ω和不可能事件∅在内的许多事件,事件可以通过交、并、差、补等运算生成新的事件,对这些事件也应该能够定义并计算其概率。因此,概率函数的定义域应该具有“全”或者说“封闭”的性质,也就是说定义域中的事件通过集合运算得到的新事件还应该属于该定义域,具有这样性质的集合类被称为事件代数和σ代数。
假设全集Ω是有限集,所谓事件代数
是指这样一个集合类,满足
(1)
(2)若
则
。
可见事件代数是包含了全集和空集,且对交、并、差、补等运算封闭的集合类。
下面是几个事件代数的例子:
a)
b)
c)
,即全集Ω的幂集构成事件代数。
事件代数是封闭的集合类,其中任意有限个集合所做的运算生成的新集合仍然属于该集合类,所以可以充当概率函数的定义域。但事件代数仅仅是对有限个集合的运算封闭,为了能够处理基本事件空间为可列集的随机试验,我们必须对事件代数的概念加以推广,使作为概率函数定义域的集合类对可列个事件的运算封闭,这就产生了σ代数的概念。
定义:设Ω是抽象点ω的集合,Ω的一些子集构成集合
,满足
(1)
(2)若
则
(3)若可列个
,则
则称
为Ω的一个σ代数。
因此σ代数是事件代数向可列无限集合的推广,其本质特征也是对其内部的事件的运算封闭。
至此,我们通过 3 步,建立了离散型随机试验的概率模型。
第一步:分析该随机试验的基本事件空间:
有限型:Ω={ ω 1 , ω 2 ,…, ω N }
可列型:Ω={ ω 1 , ω 2 , ω 3 ,…}
第二步:建立了Ω子集的某个事件代数A(有限型)或σ代数F(可列型);第三步:应用公式:
计算
或
中任意事件A的概率P(A)。
定义:称三元组
或
为离散型随机试验E的概率空间(或概率场),其中:
(1)Ω={ ω 1 , ω 2 ,…, ω N }或{ ω 1 , ω 2 , ω 3 ,…}为基本事件空间;
(2)
或
是Ω的子集构成的事件代数或σ代数;
(3)
是
或
中任意事件A的概率。
需要说明的是,在离散型随机试验中,一般都是以Ω的全部子集(即Ω的幂集)作为σ代数
。
基本事件空间为不可列集的随机试验称为连续型随机试验。在离散型随机试验中,由基本事件的概率通过加法就可以确定任意事件的概率。但当基本事件空间为不可列集合时,我们不得不从离散集合跨越到连续集合,在这种情况下,对事件概率的计算遭遇了本质上的困难。首先,对于这种基本事件空间为连续集合的随机试验,为每个基本事件赋予概率已经没有意义,我们只能讨论某个事件的概率,而认为每个基本事件的概率为 0。其次,在离散型随机试验中,常把全集Ω的幂集作为σ代数充当概率函数的定义域。但当基本事件空间Ω不可列时,由于Ω存在不可测的子集,我们无法为其定义测度使其满足集合测度的可列可加性,所以不能再把基本事件空间Ω的幂集当做概率函数P(A)的定义域。下面将讨论一种最为常见的连续型随机试验。
几何型随机试验:设Ω是n维空间中的Lebesgue可测集,测度为L(Ω)>0,向Ω中均匀地投掷质点M,点M必定落在Ω中,且M落在Ω的可测子集A中的概率与A的测度L(A)成正比,而与A的位置和形状无关,称这样的试验为几何型试验。以n=2 维为例,L(Ω)和L(A)分别表示区域Ω和A的面积:
图 2-1 几何型随机试验
前面我们未加说明的使用了“概率”这个词,但至今为止还没有对这个术语做出准确的定义和详尽的解释。苏联数学家柯尔莫戈洛夫(Kolmogorov)指出:“概率论作为一种数学的学理是必须加以公理化的,而且也能够恰如几何学或代数学一样来加以公理化。这就是说,给出了所研究对象的名称与基本关系及此等基本关系所服从的公理以后,全部其他的叙述就可以仅根据这些公理来推演,而不必顾虑这些对象及关系的特殊的具体意义。”Kolmogorov在 1933 年出版的专著《概率论的基本概念》中提出了现在广为接受的概率论的公理化定义:
设随机试验E的基本事件空间为Ω,F是Ω的子集的σ代数,
是定义在
上的实值集合函数,如果P(A)满足下述 3 条公理:
公理Ⅰ(非负性):对于任意事件
,有P(A)≥0
公理Ⅱ(规范性):P(Ω)=1
公理Ⅲ(可列可加性):对于可列个互不相容的事件
,有
成立
则称P(A)为随机事件A的概率,称三元组
为随机试验E的概率空间。
可见概率在本质上就是定义在σ代数F上的满足规范性(μ(Ω)=1)的一种测度,因此也称为概率测度。
“已知事件A成立的条件下,事件B成立的概率”称为B在A成立条件下的条件概率,记作P(B|A)。由于事件A的成立为事件B提供了一些信息,所以P(B|A)和P(B)通常是不相等的。
定理 2-1:在概率空间
中,设事件
A的概率为P(A)>0,则有
此公式也可写为
推广至有限个事件的情形,有所谓的乘法定理或乘法公式。
定理 2-2:
定义:对于有限个(或可列个)事件A 1 , A 2 , A 3 ,…, A n ,若
则称A 1 , A 2 , A 3 ,…, A n 为完备互斥的,也称A 1 , A 2 , A 3 ,…, A n 构成了全集Ω的一个完备互斥事件组(如图 2-2 所示)。对于任意一次随机试验,完备互斥事件组A 1 ,A 2 ,A 3 ,…,A n 中的事件必然有且仅有一个发生。
图 2-2 完备互斥事件组
全概公式:设A 1 ,A 2 ,A 3 ,…,A n (n为有限或可列无穷)构成了随机试验E基本事件空间Ω的一个完备互斥事件组,则对于任意事件B,有
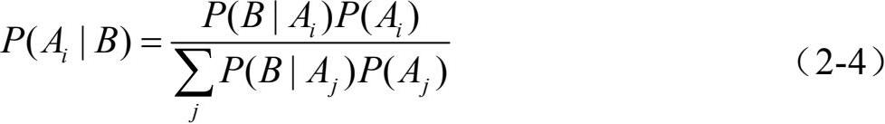
逆概公式:设A 1 ,A 2 ,A 3 ,…,A n (n为有限或可列无穷)构成了随机试验E基本事件空间Ω的一个完备互斥事件组,则对于任意事件B,有
逆概公式又称贝叶斯(Bayes)公式,用于在已知某个结果B成立时,反推某个条件A i 成立的概率。
在很多实际的或理想的试验中,可能存在着事件A的发生对事件B没有任何影响,或者说事件A的发生不能给事件B提供任何信息,称这样的两个事件A、B是彼此独立的,表示成概率的形式为