



1935年,Schrödinger将纠缠的概念和术语引入量子力学,并称其是“量子力学的精髓”。量子纠缠反映了量子理论的基本特性:相干性、或然性和空间非定域性。这些特性已经广泛应用于量子通信中,实现基于纠缠的量子密钥分发、量子秘密共享、密集编码和隐形传态等。本节给出量子纠缠的概念,讨论量子纠缠的判决方法,简述EPR佯谬和Bell不等式,并专门介绍连续变量纠缠态,以加深读者对量子纠缠的整体认识。
纠缠是量子力学中的一种特有的资源。量子纠缠可以存在于单个系统波函数的不同自由度之间,也可以存在于多体系统的量子态间。例如,一个包含A和B两量子位的复合系统,其状态将由两个二维Hilbert空间的直积空间中的一个向量表示为
其中,复系数满足归一化条件
的简略写法。我们注意到,
也是A-B系统可能处于的状态,但又显然不能分解为系统A和B状态的直积
,这就是量子纠缠态的一个具体例子。简言之,量子纠缠态就是不能分解为子系统状态直积的态,它是许多量子信息处理方案的核心资源,两体纠缠态严格的数学定义如下:
定义
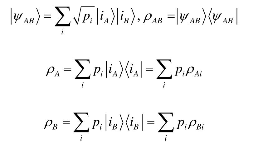
设子系统A、B及复合体系的密度算子分别为
若复合体系的密度算子ρ
AB
不能写为
则称复合体系处于量子纠缠态 [张永德 2009b] 。此定义包含纠缠纯态和纠缠混合态两种情况,针对两体纠缠纯态上述定义可以推出如下Schmidt数判别准则。
定理3.1
对于由子系统A, B构成的量子系统的纯态
言,若其Schmidt数大于1,那么
是一个量子纠缠态。
证明:应用Schmidt分解式,可得
利用等式(F⊗G)(a⊗b)=(Fa)⊗(Gb),可得
当且仅当Schmidt分解式中的非零项只有一项,也就是Schmidt数等于1时,上式最后一个等号右边括号中的求和项才会等于零算子,但定理的条件是Schmidt数大于1,从而
满足量子纠缠态的定义,定理得证。
为了制备纠缠态,一种比较常用的方法是利用泵浦光子穿过一块BBO(偏硼酸钡)晶体,通过参量下变换过程产生孪生光子对,孪生光子对的偏振态彼此正交,但无法确定单个光子的偏振态,两种不同正交模式的几率幅相干叠加,可以表示为
显然其Schmidt数是2,是一种纠缠态。式(3.11)所定义的纠缠态和前文提及的
均属于Bell态,也称为EPR态。一组完整的Bell态由4个互相正交的两体最大纠缠态组成,形成了2比特Hilbert空间上的一组正交基:
包含3个以上量子位的系统的纠缠态一般被称为多体纠缠态。多体纠缠态中两类最重要的例子是GHZ(Greenherger-Horne-Zeilinger)态和W态,它们已经被证明在LOCC条件下(即各子系统只能进行本地的量子操作,各子系统之间只能进行经典的信息交换)不能相互转化。以4量子位的情况为例,GHZ态可以表示为
而4个量子位的W态可以表示为
3.2.1介绍了量子力学中的纠缠态,为便于理解主要采用离散物理量纠缠来进行描述。事实上,在连续变量体系中同样存在纠缠态,它是与量子噪声被“压缩”直接相关的一种重要的量子效应,广泛应用于连续变量量子通信中的隐形传态、密集编码等重要协议。
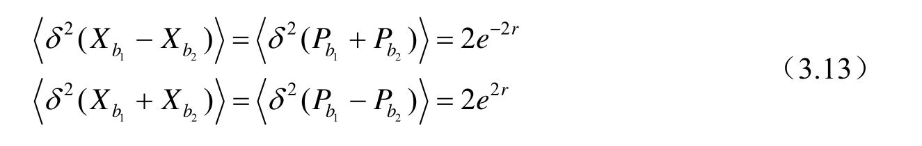
假设纠缠光束是由两束压缩光在分束器上干涉产生的,如图3.4所示。两输入压缩光分别为a 1 和a 2 ,且具有相同的压缩因子r,分束器的两输出光束分别为b 1 和b 2 ,其正交振幅和位相由X和P来描述,则可以由压缩态的表达式和分束器模型得到下面的关系:
由式(3.12)分别计算两输出光场正交振幅和位相分量之间的关联起伏方差,容易得到
图3.4 连续变量纠缠态产生示意图
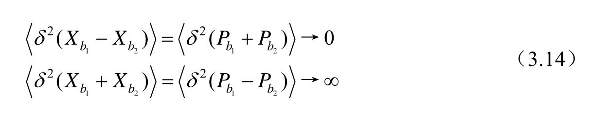
这里r是大于0的正数,它表明输出光场的正交振幅之间存在正关联,正交相位存在反关联。当r→∞时上述的关联程度达到极致,称为理想关联或纠缠,即
上述关联现象来源于光场量子效应,通常也称为量子关联。在实验中,为了检验纠缠光束的关联程度通常采用两个判据来衡量。其中一个称为不可分离度(Inseparability Criterion),它是纠缠最基本的判据,其表达式可由下式描述:
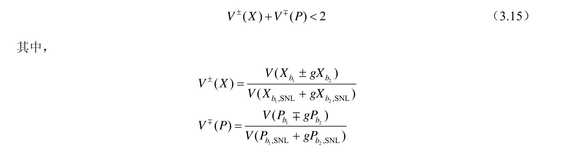
这里,V表示方差,±表示正关联或反关联,对于特定实验条件只取一种情况进行考虑,上式也说明当正交振幅反关联时,正交相位正关联,反之亦然。g为增益因子,是人为引入的参数,它是为了在实验上获得最小的关联方差。下标SNL代表散粒噪声极限,它是相干态固有的噪声,作为经典场和非经典场的分界线。当方程(3.15)被满足时,我们认为两输出光束存在量子关联,且是不可分的。
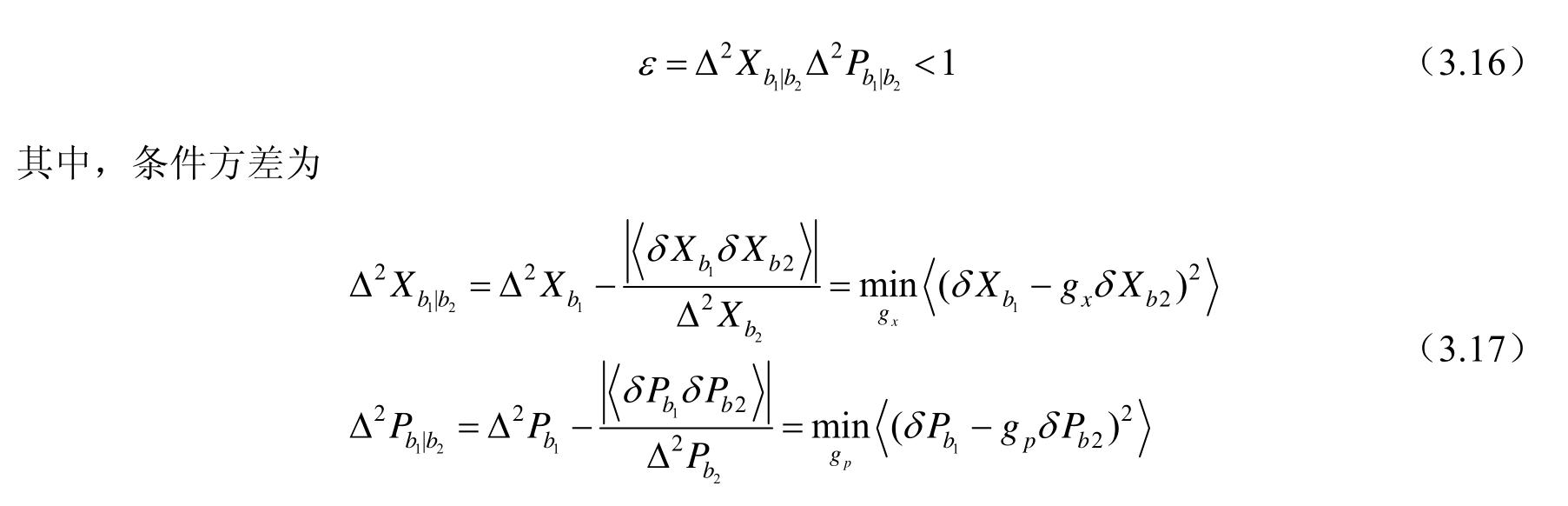
在连续变量体系中,EPR佯谬的判据依赖于一对非对易量之间的量子关联,通常以一个子系统中的某一个物理量为参考测量另一个子系统中的同一物理量。因此,在实际衡量一对纠缠光束的纠缠特性时,以一对光束的正交振幅和位相的条件方差来确定,具体表达式为
这个判据很大程度上依赖于光程中的损耗,如果光程中的损耗大于0.5,即使输出是一理想纠缠态,也不会满足上述的纠缠判据,这也是利用纠缠光束来进行通信时无法跨越3 dB极限的原因。相比之下,前面的不可分离度判据则更容易实现一些,它不会受到这个限制,但仍然对损耗非常敏感。
在量子力学的发展过程中,对于纠缠甚至量子力学的基本理论的理解(包括波函数公设、测量公设),在相当长的时间内存在着争论,最著名的就是爱因斯坦等提出的EPR佯谬和Bohr的应答以及引发的争论。这里简要介绍EPR佯谬和Bell不等式,以加深对纠缠本质的理解。
1935年美国《物理评论》(Physical Review)上发表了爱因斯坦等人撰写的一篇论文“物理实在(Physical reality)的量子力学描述能认为是自洽(Complete)的吗?” [Einstein 1935] 。在这篇论文中,爱因斯坦等人对量子力学的哥本哈根解释提出了尖锐的质疑,后来通常称为EPR佯谬。
量子力学从诞生以来解决了许多经典理论不能解释的微观现象,大量的实验事实及实际应用也证明了量子力学是一个成功的物理理论。然而,量子力学描述中内禀的随机性却使很多物理学家难以接受,其中的领军人物就是爱因斯坦。他将他的观点总结成一句著名的论断“上帝不掷骰子”。他提出了很多思想实验来证明量子力学的理论框架是存在漏洞的,其中最著名的例子就是EPR佯谬。
爱因斯坦的论证主要基于以下两点 [张军 2007] :(1)定域因果性。如果两次测量或者说两个事件之间是类空间隔的(空间上相互分离),那么两个事件之间将不存在因果性关系。(2)物理实在性。如果没有扰动一个系统,那么此系统的任何可观测物理量作为物理实在的一个要素,客观上应当具有确定的数值。上述两点一般合称为定域实在论。
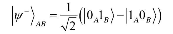
1951年,Bohm提出一个简化的EPR佯谬版本,考虑Bell态:
根据定域因果性,当A、B两个粒子之间的距离足够远且对它们的测量独立且测量时间非常接近时,测量两个粒子的事件可认为是类空间隔的,对A的测量将不会对B的测量产生任何影响。如果用σ
Z
基对粒子A和B进行测量,如果粒子A的测量结果为
,则粒子B的测量结果必然为
;如果粒子A的测量结果为
,则粒子B的测量结果必然为
。也就是说,如果对A做了测量,那么粒子B的测量结果客观上就是确定的。按照定域实在论,则力学量
是粒子B的一个物理实在要素,在不扰动粒子B的条件下,
客观上应当具有确定的数值。那么,如果用σ
X
基替代σ
Z
基对粒子A和B进行测量,通过同样的过程,我们可以推知力学量
也是粒子B的一个物理实在要素,在不扰动粒子B的条件下也应当具有确定的数值。
事实上,根据量子力学的观点,
是具有不同本征态集合的两个力学量,分别为
},在粒子B处于任何状态下均不能同时具有确定值(参见3.3.3节),由此可以看出定域实在论与量子力学之间是矛盾的,产生这个矛盾可能有两个原因:量子力学波函数的描述是不完备的,或者定域实在论是错误的。爱因斯坦等人对后一条原因持绝对否定态度,认为EPR实验揭示了量子力学波函数的描述是不完备的。
而被认为是正统的量子力学哥本哈根解释认为纠缠态的构造以及塌缩都是非定域性的,这种非定域性已经将两个子系统联结为一个不可分割的统一系统,从而使得测量前两个子系统的状态客观上都处于一种不确定的状态,并且对同一个状态进行不同的测量将会造成不同的塌缩,量子力学对单次测量结果只能做统计性预言。近年来,有许多实验结果都支持量子力学的结果,证明定域实在论是错误的。下面我们将介绍这一部分的内容。
爱因斯坦的支持者和哥本哈根解释各执一词,无法说服对方。为了进一步发展爱因斯坦认为量子力学是不完备的思想,用定域实在论解释实验测量中出现的概率性结果和关联性结果,爱因斯坦的支持者提出了各种各样的理论,其中最著名的是隐变量理论。隐变量理论认为在量子力学的框架之外存在某些隐含的未知参数,而且这些参数不是严格已知的,量子力学中的测量才会表现出概率性。比如,在上述粒子A、B彼此分开时,就处在由隐变量支配的一个实在状态中,由于量子力学或现在的实验技术并没有发现、认识和控制这种隐变量,才使测量表现出概率性;同时隐变量又发挥着作用,使得两粒子的测量结果之间表现出相关性。
那么隐变量理论和量子力学是否相容呢?Bell进一步分析了这个问题,于1964年提出了基于局域隐变量理论的Bell不等式。该不等式指出,任何基于隐变量和定域实在论的理论都会满足这一不等式,但是量子力学得到的某些结果却会违背这一不等式。也就是说,量子力学理论与局域隐变量理论本质上是不相容的。Bell 不等式最重要的意义在于开辟了一条新的研究途径,使得人们可以通过实验对量子力学非局域性和内禀的概率性进行考证和检验。Bell 不等式有很多推广变形。考虑到实际情况中种种不完美因素造成的偏差,Clauer, Horne, Shimony 和Holt(CHSH)提出了更易被实验验证的CHSH 不等式,下面给予简要说明。
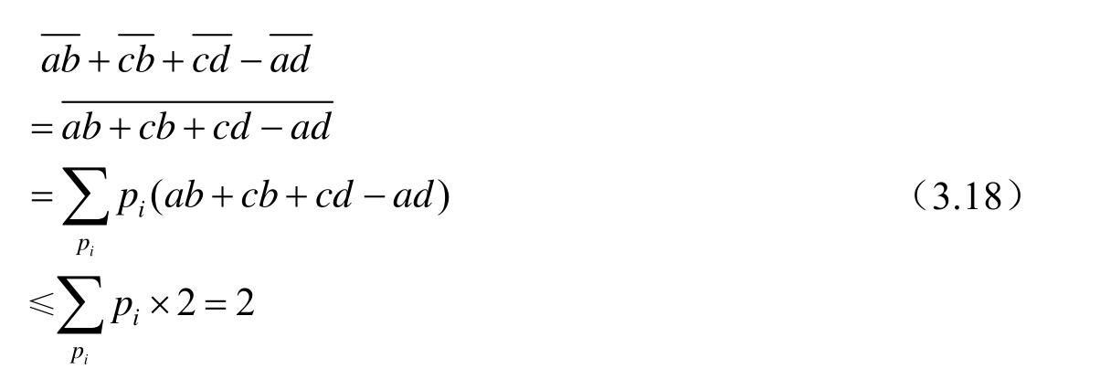
设有粒子A和B,分别传送给处于两地的甲和乙。甲收到粒子A后,对其进行物理量a或物理量c的测量,并设测量结果只能为±1;类似地,乙收到粒子B后对其进行物理量b或物理量d的测量,并设测量结果也只能为±1。合理假定甲和乙的测量是同时的,由定域实在论两者之间不存在任何影响。对甲和乙多次测量的结果进行简单计算ab+cb+ cd-ad=(a+c)b+(c-a)d,由于结果也只能为±1,因此(a+c)和(c-a)一定有一个为0,另一个为±2,故ab+cb+cd-ad=±2。若大量重复上述实验并统计测量结果,则平均值不等式
其中,p i 表示各物理量取特定一组值(如a=b=c=d=1)出现的概率,i遍历所有的16种可能。式(3.18)即为CHSH不等式。需要注意的是,CHSH不等式是基于定域实在论导出的,即甲乙之间的测量互不影响,4个物理量(或称实在要素)具有完全独立的取值。
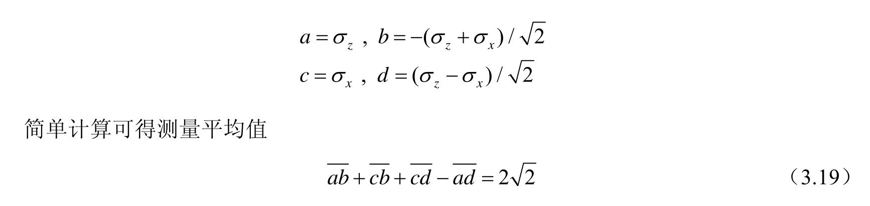
下面我们来看看量子力学能够给出怎样的结果。设粒子A和B处于的态为Bell态
。4个物理量分别取为
可见,即使附加了隐变量理论解释概率性的测量结果,定域实在论与量子力学得到的结果仍然是相悖的。运用CHSH不等式,可以通过实验来验证量子力学理论预言的结果的正确性。第一个精确严密的证明了量子力学违反Bell不等式的是Aspect在1982年的实验 [Aspect 1982] ,实验用精巧的方法弥补了以前实验中的一些漏洞,结果与量子力学的预言相符合,证明定域实在论是不正确的。迄今为止所有的实验都表明纠缠态具有非定域性。正因为量子纠缠态的奇妙性质,我们可以利用两个粒子的相关性来进行远距离通信,例如,量子隐形传态等 [姜小慧 2010] 。