



经典物理学认为光是一种电磁场(或者叫做辐射场),从量子物理学的观点来看,光是量子化的电磁场,其中光子是量子化电磁场的基本激发。麦克斯韦(Maxwell)方程是对经典电磁场的概括,然而,麦克斯韦方程在解释诸如光谱中的兰姆(Lamb)频移和原子拉比(Rabi)振荡等实验上观察到的物理现象时无能为力,而光的量子理论却可以精确地解释上述实验现象,并预言了很多实验上后来发现的新的物理现象,因此物理学家普遍认为光的量子理论更为深刻地刻画了光的物理本质。
与其他物质相比,光有很多特殊之处。光子仅仅是一份能量,不具有质量(狭义相对论意义上的静止质量),如果不受到与物质的相互作用,则光子将保持以每秒30万千米的速度前进。正是这样的性质使得光成为了量子通信中重要的信息载体。要理解如何利用光的量子特性进行通信,必须先掌握光场量子化的基本理论。本节将由麦克斯韦方程的量子化开始,介绍如何优美地从经典光理论过渡到光的量子理论,并引出光子数态、相干态和压缩态等量子通信中重要的通信资源 [Praunstein 2003] 。
从波动性分析,经典电动力学理论中,光场可以被视为电磁场,所以同样满足麦克斯韦方程组;从粒子性分析,在微观世界中,原子、电子、光子等实物粒子均服从量子力学规律。为了在量子层面分析和研究光与物质的相互作用,需要对光场采用全量子化理论,相应地,电磁场也应进行量子化处理 [Scully 1997] 。经典电磁场的量子化可以从麦克斯韦方程组开始:
其中,B=μ 0 H,D=ε 0 E,μ 0 ε 0 =c -2 ,c是真空中的光速。由此可以推出:
这里用到等式∇×(∇×E)=∇(∇·E)-∇ 2 E。此方程等效于库仑规范下真空中的麦克斯韦方程。
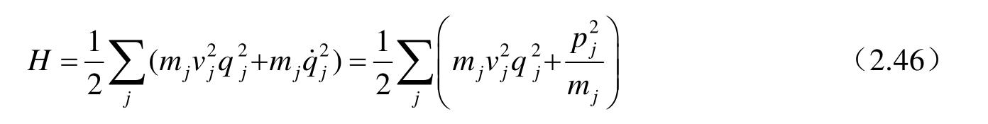
下面将电磁场在谐振腔中按简正模展开,将经典电磁场的能量写成与位置和动量有关的Hamilton量,从而引入量子力学理论。
电磁场要想在谐振腔中振荡必须满足一定的边界条件,考虑电磁场在空间上依赖于腔长为L的谐振腔。将一束x方向振动的线偏振电场展开成腔的简正模的形式,也就是以谐振腔为基准,寻求一组正交基来描述电场:
其中,q
j
是第j个正交模的振幅,量纲为长度,为保证电磁场在腔内共振,需要满足谐振腔的边界条件
,j= 1,2,3…,腔模的波矢k
j
。上式中的A
j
是电磁场的横向面积,可以表示为
其中,v j =jπc/L是腔模的本征频率;V=LA是谐振腔的体积;m j 是质量的量纲,引入它仅仅是为了在单模电磁场和简谐振子之间建立类比。此时电磁场方程的形式可类比于质量为m j ,运动位置为q j 的谐振子运动方程。
V表示在整个腔模体积,式(2.45)表示了任一电磁场的能量。将电场和磁场表达式分别代入式(2.45),可得下述能量方程:
其中,
表示了谐振子的动量,整个方程描述了谐振子势能和动能之和。由此可知,电磁场的每个模式在力学上等价于一个机械谐振子。接下来,采用力学量算符来代替上述物理量。
根据量子力学的不对易关系,动量和位置满足下列关系:
一个系统的全部笛卡儿坐标或全部动量都是描述空间运动的完整力学量,它们的值都是全体实数。现在考虑一种有普遍意义的完整力学量
,它们分别代表量子力学中的产生和湮灭算符。用动量和位置算符{p
j
,q
j
}来描述这种新的力学量,即
算符a和a
†
本身并不代表任何可观测的物理量,而分别表征了同一时刻一个场或粒子的位置和动量算符,具有普适意义。
是一组互相独立且互相可对易的厄米算符。将式(2.47)和式(2.48)代入方程(2.46)可得量子化的电磁场Hamilton量为
从上式可以看出,电磁场的能量经过量子化后变成了单个光子能量的倍数,事实上在后面还将证明a † a就表示了光子数目,式中的1/2代表了真空能量。所以,电磁场的量子化类似于对经典模拟信号的量化处理,即把一个连续的电磁场能量分解成单个光子的能量之和。
其中,
表示了电场幅度的量纲。
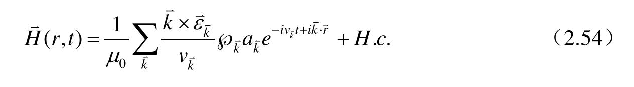
前面所描述的是一个有限的一维腔中的辐射场量子化情况,是借助于驻波模作为基函数推导出来的。由于腔的本征模是分离的,电磁场也就演化为分离模的形式。对于一个无边界的自由空间则需要考虑方程的行波解。它们的主要区别体现在波矢
的定义不一样,驻波要求的腔长是半波长的整数倍,而行波要求的是全波长的整数倍,而且是在三维空间中展开,即
≡(k
x
,k
y
,k
z
)。在这种情况下,经典电磁场在量子化后可以直接写成
其中,ε k 是单位偏振矢量,H.c.表示厄米共轭。因此,所谓电磁场的量子化就是在数学处理时用产生和湮灭算符来表示场的正频部分和副频部分的幅值,并给出其对易关系。产生和湮灭算符的乘积在本质上代表了光子数。
光子数态也称为Fock态,它们构成一组正交归一的完备基,可用来描述任意的光场量子态。这里为了方便计算,考虑算符a和a † 只相对于频率为v的单模电磁场。
其中,α
n
有着光场振幅的量纲,代表了光子数的均方根。由上式可以看出,算符
作用于光子数态,将
变成了
,即湮灭掉了一个光子,这也是所谓湮灭算符的由来。
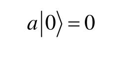
如果重复上述湮灭过程n次,直到光子数为0,则其能量方程变为
由于能量E 0 已经是没有光子时(即真空态)的能量本征值,所有的作用都无法让其能量变得更低,因此得出结论:
利用上式和式(2.55)可以得出真空态的能量本征方程
上式很好地说明了态
的能量本征值正好对应于n个光子的能量之和。本征态
就叫做Fock态或光子数态,它们构成了一组正交完备基,即
这里的能量本征值是离散的,而经典电磁理论中的能量可以是任意值。尽管如此,能量的期望值却可以是任意值,一般而言,态矢量是能量本征态的任意叠加,即
其中,c n 是复数系数,因此其期望值可以为任意值。
这是因为场本身是一个平均值为0的交变量,因此只能通过测量其强度来确定场的起伏,其强度算符的期望值为
也就是说,场的平均值为零,但其起伏不为0。对于真空态
来说,这个起伏依然存在,这些真空起伏是解释量子光学中一些奇怪现象的依据。比如,可以认为是它们激发原子自发辐射,也可解释氢原子兰姆位移等现象。
a和a † 分别代表湮灭和产生算子,它们将n光子态转变为n-1或n+1态。它们不是厄米的(a≠a † ),表现出不可观测的性质,如电磁场的振幅。但是,它们的一些组合是厄米的,比如a 1 =(a+a † )/2和a 2 =(a-a † )/2i。
到现在为止,我们已经讨论了单模场,并且发现:一般情况下,波函数可以写成光子数态
的线性叠加。下面将这种形式扩展到多模场的情况。
类似于从能量本征方程得到单模场的形式,H
k
的能量本征态
被定义为
H的一般本征态在第一个模中有n k1 个光子,在第二个模中有n k2 个光子,在以后的第l个模中有n kl 个光子,因此有
其中,
是态矢量的一般模型。式(2.77)包含了式(2.78)态矢量的类型,式(2.78)描述的是各个模之间相互独立时的情况,而更一般的情况是不同场模之间存在相互关系,这导致了一个普适系统中各种场模之间的相互作用。比如连续变量中的孪生光束,就不能写成式(2.78)的形式,而只能由式(2.77)来描述。
基于单光子的量子通信方案就是假设存在一个纯的单光子Fock态
,它无法分离,只要被窃听了,合法的接收方就无法再探测到,编码在光子上的信息就可以丢掉了。但遗憾的是,在现实中很难制备这样一个纯的Fock态,通常都是采用一个弱相干态来代替,让其平均光子数低于1,近似认为是单光子。这是因为相干态可以用Fock态来展开,它服从泊松分布,可以准确地确定其中单光子态的概率,这将在2.3.3节详细介绍。
相干态是指完全相干的量子光场,它是建立在相干性量子理论基础之上的、最接近于经典极限的辐射场。在无线电频率范围,电磁场由振荡的宏观电场产生。在光频范围,电磁场的产生要借助于微观的原子(分子)体系,通过经典源的驱动,由受迫的量子谐振子产生相干态光场。
辐射场量子化后的一个重要结果就是共轭变量的不对易关系,而相干态就是其波包满足最小测不准关系的量子态,它是电场算符正频部分的本征态。相干态经探测和光电转换后表现出来的噪声谱称为散粒噪声极限(Signal Noise Limit,SNL),它是相干态固有的噪声,是经典噪声的极限。相干态是非厄米算符的本征态,利用这个态集可以构成非正交、超完备的表象,这种表象提供了一种将量子理论的运算过渡到c数函数积分的有效方法。
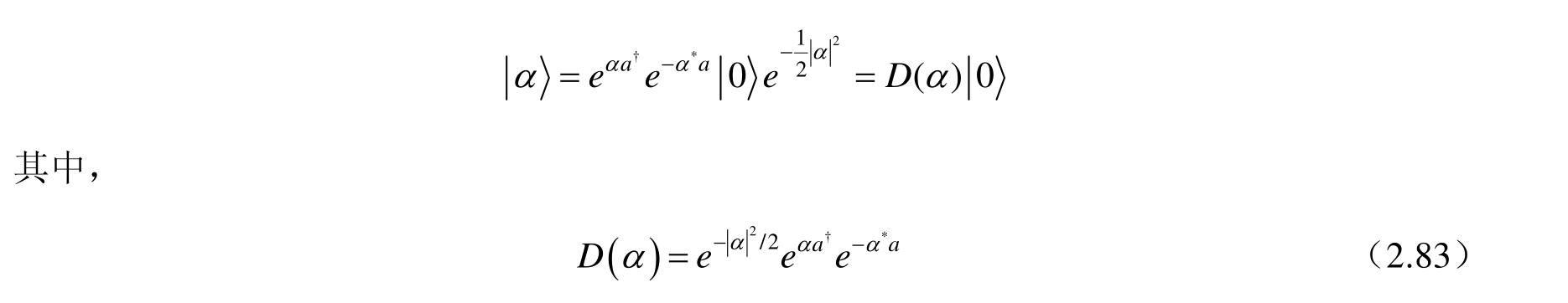
单模相干态定义为光场湮灭算符a的本征态:
这样定义的
有一个不确定的整体相因子。下面将解释这种不确定性可以通过人为的规定来消除。
从上述定义可知,相干态被湮灭一个光子之后,其状态并不发生变化。由于湮灭算符a是非厄米算符,它不是可直接观测的物理量,因而其本征值应该为复数。下面推导相干态在Fock态表象下的表达式,将
左乘以上式,得
可以规定
,这样就消除了式(2.80)中不确定的相因子。将式(2.81)代入式(2.80)可得相干态的Fock态的展开形式为
考虑到exp(-α
*
a)
,将其代入上式,得到
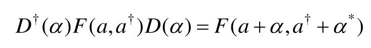
称为平移算符,因此相干态也被定义为平移后的真空态。考虑Baker-Hausdorf公式,可以得出D(α)的另一种形式:
可见平移算符D(α)对a、a † 的作用就是使其平移了一个复数量。更一般地说,对于任何一个由a、a † 组成的算符函数F(a,a † ),D(α)都具有平移功能,即
前面介绍了相干态,下面列举相干态的一些重要性质。
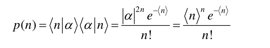
(1)相干态
中,其平均光子数为
在相干态
中找到n个光子的概率为泊松分布,即
图2.1画出了对于不同平均光子数
=1,5,10时,概率分布p(n)相对于n的变化曲线。从图中可以看出,对于
≤1,p(n)在n=0时取最大值;对于
时取最大峰值;当
足够大时,泊松分布近似于高斯分布,其半宽,即光子数起伏等于
。这种光子数的起伏分布导致了光电流的噪声特性,它本质上是光子数的分布不均造成的,体现了光子的粒子性,这也是散粒噪声的由来。
(2)相干态是最小不确定态,所以有
图2.1 不同平均光子数的相干态中的光子数泊松分布
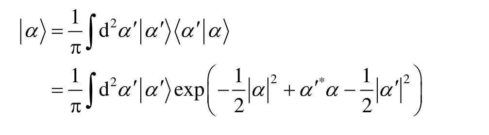
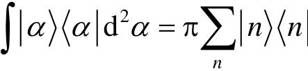
(3)所有的相干态
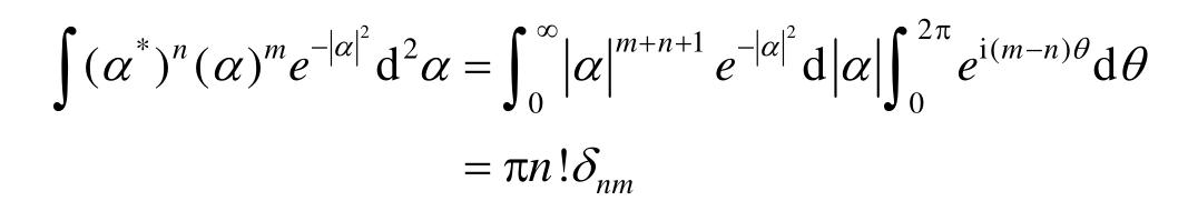
构成一个完备集。为了说明这一点,首先考虑可积分的恒等式(其中有
其中,积分是针对整个复空间的。使用相干态的展开级数,再利用上式的结论可得
Fock态
组成一个完全正交关系,这个关于n的求和函数可化成简单的单位算子,即
此即相干态的完备性关系。
(4)对应于不同本征值α和α′的两个相干态是非正交的,即
可以看出,如果α-α′的幅值远大于1,则相干态α和α′几乎是正交的。这些波函数重叠的程度由内积
的大小确定。事实上,式(2.84)的重要性在于它表明了任意相干态都能用其他相干态展开:
这表明相干态是超完备的。相干态是一种现实中最容易获得的量子态,它是由激光介质中原子的相干辐射产生、能用在许多量子通信协议中的信息载体,特别是实用化的量子通信协议,比如基于相干态的量子通信。即使是基于单光子的量子通信协议,出于技术条件和成本的考虑,也是由弱相干态来代替理想的单光子源。这些协议将在后面的内容中详细介绍。
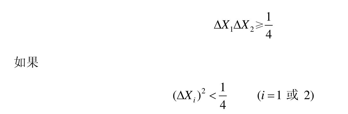
相干态的一个主要性质是其满足最小测不准关系,它是最小测不准态,而且两个正交相位振幅算符有着相同的起伏。在相空间中,相干态的起伏呈圆形,相干态在相空间平移或者转动时其起伏圆都保持不变。反过来,最小测不准态却并不一定是相干态,如果两个正交相位振幅的均方差(起伏)乘积为最小,但两个量并不相等,这样的态是最小测不准态,但不是相干态,被称为压缩相干态或最小波包态,但通常更习惯称为压缩态。当这个态的平均光子数为零时,将其称为压缩真空态,它在本质上和压缩相干态是一样的。更一般地说,压缩态泛指一个正交分量的起伏比相干态相应分量的起伏小的量子态,并不一定要满足最小测不准关系。
系统状态称为理想压缩态。
因此,在压缩态中,一个变量中量子起伏减少到低于对称最小不确定态
的值的同时,相对应共轭变量的量子起伏必须增加,以保证满足不确定关系。
为了更直观地说明上述观点,现给出一个例子进行分析。
考虑一个频率为ν的量子化单模电场:
其中,a和a + 遵循对易关系
由上述两个算符就可以完备地描述一个光场的量子态。这里与单光子或其他实物粒子不同,它们通常采用偏振或自旋等离散的物理量来描述,因此称为分离变量。而光场的两正交分量X 1 和X 2 则是两个可以连续变化的物理量,其状态可以千变万化,所以称为连续变量。
在量子信息领域里,连续变量体系所包含的信息量远大于离散变量体系,通常采用冯·诺依曼熵来描述,这也是其显著优势所在。另一方面,连续变量体系中的量子态不容易精确控制,保真度比较低是其主要缺点,可以类比经典世界中的数字信号和模拟信号。
式中,Hamilton算子X
1
和X
2
很容易被看做两个相位差为
的正交分量的振幅。从对易关系
可知两个振幅的不确定关系为
可以获得辐射场的压缩态。如果除了上式还满足
则也可得到理想的压缩态。
图2.2描述了相位空间中的(a)相干态和(b)压缩态,(b)中又包含了正交振幅压缩态(右)和正交位相压缩态(左)。图中的X和P就是光场的正交振幅和正交位相,也就是上述的X 1 和X 2 ,各图到原点的距离就表示平移量。从图中可以看出,相干态在位相空间中的两正交分量的起伏是均匀的,表示为一个平移后的圆,而压缩态则表现出一个正交分量的起伏被压缩,另一个正交分量的起伏被放大,其乘积满足测不准关系,表示为平移后的椭圆。这个正交分量的起伏(噪声)是描述光场量子态的最重要特征,本质上来源于真空涨落导致的光子数的随机分布,原则上被压缩的正交分量的起伏可以达到海森堡极限:1/N。
图2.2 相位空间中的(a)相干态和(b)压缩态
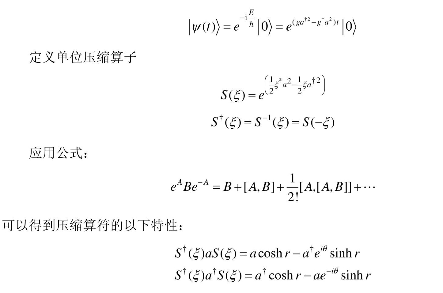
在实验中,压缩态通常是通过一个简并参量过程来产生的,本质上是一个双光子过程。下面考虑简并参量过程的系统相互作用Hamilton量:
上式中第一项表示湮灭一个泵浦光子产生两个下转换光子,第二项则是上述的逆过程。其中,g是一个近似的偶合常数,它包括了泵浦光子,只是相对来说泵浦光很强,其湮灭过程忽略不计,可以当做经典光来处理。
完整的Hamilton量还应该包括三种光场的光子数算符和真空量子数,只是它们对参量过程不起作用,这里不予考虑。
假设初始态为真空态,由薛定谔方程可以解出产生场的态函数:
这里
是一个任意的复数,r是压缩因子。容易得出压缩算符同样满足以下关系:
压缩相干态就是让平移算符D(α)作用于真空态,接着再被压缩算符S(ξ)作用,即
这里
,前面讨论过相干态的指数项是a,a
†
的线性叠加,而压缩相干态包含了二次项,这也是两者在数学上的主要差异。
同样,考虑a,a + 在压缩相干态中的平均值分别为
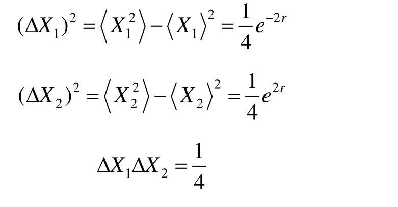
由这些结果,令θ=0,很容易推出压缩相干态的两正交分量的起伏:
这里要强调一下,本书对于连续变量体系的描述都是在归一化的条件下进行的,即真空起伏为1。压缩相干态就是理想压缩态,满足最小测不准关系,在相空间里它由圆变成了椭圆。压缩度由r=
决定,因此r也称为压缩参数,表征了压缩的程度。
压缩态通常由非线性光学中的参量过程产生,也可以通过原子系综里的四波混频效应产生。本质上可以认为是一个双光子过程,即两个光子总是同时产生,并保持一个固定的相位差,由两个光子两正交分量的相干相消造成输出合成光场的某一个正交分量低于相干态固有的噪声极限,即压缩。压缩态可以用于连续变量量子通信中的信息载体,其效果原则上好于相干态,但考虑到其制备比较困难,且这种非经典特性对环境影响非常敏感,很难保持,实用系统中很少采用。