



纯态与混合态是量子力学和量子通信中的重要概念。本节讨论纯态与混合态的定义与描述方式,包括密度矩阵的动力学方程、约化密度矩阵,以及Schmidt分解与混合态的纯化。
在量子力学中,如果系统的状态可以用确定的态矢量(或概率幅)来描述,则称此状态为纯态(pure state)。最简单的纯态是力学量的一组完全本征态,当然,纯态也可以是本征态的相干叠加态。如果系统的若干个纯态以一定的概率非相干的混合,则形成的这种状态称为混合态(mixed state)。注意这些纯态不是相干叠加,否则为纯态。
    
     定义
    
    设系统处于混态,在某一时刻,系统按已知概率p
    
     i
    
    处于一些纯态
     ,则此系统的状态由密度矩阵ρ描述为
    ,则此系统的状态由密度矩阵ρ描述为
   
 
   
    密度矩阵也称为密度算子。若一个量子系统处于纯态
     ,则密度矩阵为
    ,则密度矩阵为
   
 
   任意可观测力学量Ω在混态系统中的期望值可写为
 
   密度矩阵有如下的性质:
(1)密度矩阵为Hermite的,即ρ=ρ + ;
(2)密度矩阵的本征值为非负;
证明:ρ是一个半正定算子:对于状态空间中任意向量,有
 
   (3)ρ对角元0≤ρ nn ≤1;
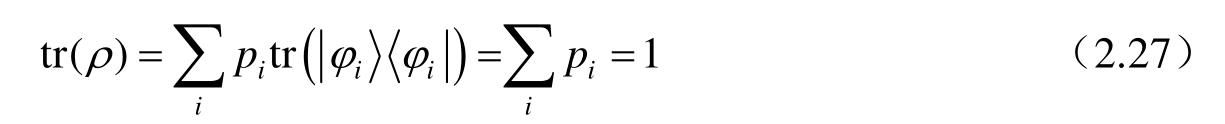
(4)ρ的迹等于1;
证明:
 
   (5)tr(ρ 2 )≤1;
当系统处于纯态时,密度矩阵的本征值为1;此时,密度矩阵为投影算符;tr(ρ 2 )=1。
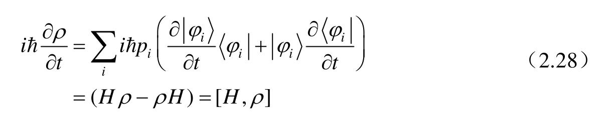
    从薛定谔方程出发,可以推得混合态的动力学演化方程。假设一个量子系统以概率p
    
     i
    
    处于初始状态
     ,由公设3可以推知系统演化的动力学方程为
    ,由公设3可以推知系统演化的动力学方程为
   
 
   
    其中,
     ,H为系统的Hamilton量,记[H,ρ]=Hρ-ρH,称为算子H和算子ρ的对易子。
    ,H为系统的Hamilton量,记[H,ρ]=Hρ-ρH,称为算子H和算子ρ的对易子。
   
    系统的演化可以用演化幺正算子U来描述,则系统演化发生以后,系统将以概率p
    
     i
    
    进入状态U
     。此时,混合态的演化可以描述为
    。此时,混合态的演化可以描述为
   
 
   
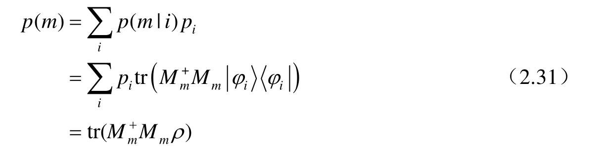
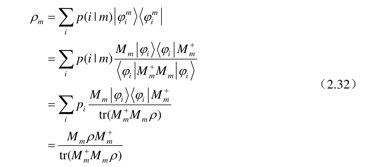
    由测量公设出发,可以推出对混合态进行量子测量的数学描述。假设系统初始处于混合态
     ,对该量子系统进行由测量算子M
    
     m
    
    描述的量子测量。由于系统以概率p
    
     i
    
    处于初始状态
    ,对该量子系统进行由测量算子M
    
     m
    
    描述的量子测量。由于系统以概率p
    
     i
    
    处于初始状态
     ,则当测量发生以后,针对
    ,则当测量发生以后,针对
     得到结果m的概率是
    得到结果m的概率是
   
 
   根据全概率公式,对所有可能的态,测量得到结果m的概率是
 
   相应的系统末态密度算子为
 
   
    其中,测量算子满足完备性方程
     
   
当研究的物理系统不再是一个封闭系统时,系统本身与外界环境不可避免地存在相互作用。在环境与研究者所关心的物理系统相互作用后,为了简化描述,可以采用约化密度矩阵的方式约去系统描述中环境的部分。设物理系统A和物理系统B(环境)组成复合系统,其状态由密度算子ρ AB 来描述,则系统A的约化密度算子定义为 [Nielsen 2000]
 
   其中,tr B 是一个线性算子,称为系统B上的偏迹。当求偏迹的密度矩阵可以写成矩阵直积的形式时,偏迹定义为
 
   
    其中,
     和
    和
     是状态空间A中的两个向量,
    是状态空间A中的两个向量,
     和
    和
     是状态空间B中的两个向量。考虑到ρ
    
     AB
    
    总可以写成多个矩阵直积的和以及tr
    
     B
    
    的线性性质,式(2.34)实际上给出了求任意矩阵偏迹的方法,此处给出一个例子。
    是状态空间B中的两个向量。考虑到ρ
    
     AB
    
    总可以写成多个矩阵直积的和以及tr
    
     B
    
    的线性性质,式(2.34)实际上给出了求任意矩阵偏迹的方法,此处给出一个例子。
   
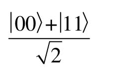
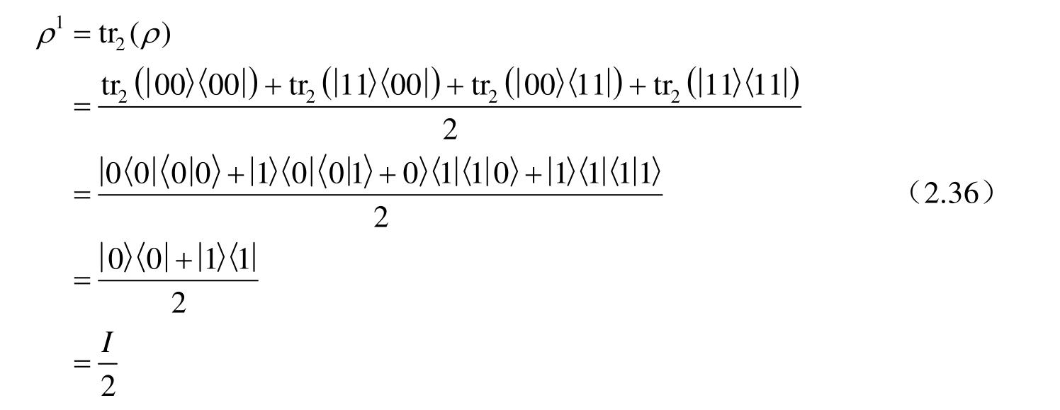
如果联合系统的状态是一个精确已知的纯态,表示为
 
   它的密度算子为
 
   对子系统B求偏迹,可以得到子系统A的约化密度算子
 
   
    因为
     ,所以子系统A处于混合态,同样的方法可以验证子系统B也处于混合态。这个结果非常值得关注,复合系统的状态是一个精确已知的纯态,但第一个量子比特构成子系统,却处于混合态,其状态无法完全确知。换句话说,一个复合系统的联合状态全已知,但其子系统的状态却不知,这是量子系统区别于经典系统的特点之一。
    ,所以子系统A处于混合态,同样的方法可以验证子系统B也处于混合态。这个结果非常值得关注,复合系统的状态是一个精确已知的纯态,但第一个量子比特构成子系统,却处于混合态,其状态无法完全确知。换句话说,一个复合系统的联合状态全已知,但其子系统的状态却不知,这是量子系统区别于经典系统的特点之一。
   
研究复合量子系统时,除了密度算子和偏迹外,Schmidt分解和纯化(Purification)也可用来研究复合量子系统。这里,先给出Schmidt分解定理,并进行简要证明 [Nielsen 2000] 。
    
     定理2.1
    
    (Schmidt分解)设
     是复合系统AB的一个纯态,则存在系统A的标准正交基
    是复合系统AB的一个纯态,则存在系统A的标准正交基
     和系统B的标准正交基
    和系统B的标准正交基
     ,使得
    ,使得
   
 
   
    其中,λ
    
     i
    
    是满足
     =1的非负实数,称为Schmidt系数。
    =1的非负实数,称为Schmidt系数。
   
    
     证明
    
    :假定系统A和B的状态空间具有相同的维数,设
     和
    和
     分别为系统A和B的标准正交基,则
    分别为系统A和B的标准正交基,则
     对矩阵a(其元素a
    
     jk
    
    为复数)可写成
    对矩阵a(其元素a
    
     jk
    
    为复数)可写成
   
 
   由矩阵的奇异值分解,a=udυ,其中d是具有非负元素的对角阵,u和υ是幺正矩阵。于是
 
   
    定义
     和,λ
    
     i
    
    ≡d
    
     ii
    
    可给出
    和,λ
    
     i
    
    ≡d
    
     ii
    
    可给出
   
 
   
    从u的幺正性和
     的标准正交性,容易验证
    的标准正交性,容易验证
     构成一个标准正交集,同理
    构成一个标准正交集,同理
     也构成一个标准正交集.
    也构成一个标准正交集.
   
    基
     分别称为A和B的Schmidt基,且非零λ
    
     i
    
    的个数称为状态
    分别称为A和B的Schmidt基,且非零λ
    
     i
    
    的个数称为状态
     的Schmidt数。
    的Schmidt数。
   
Schmidt数是复合量子系统的重要属性,在某种意义下是指量化系统A和B之间纠缠的“量”。Schmidt数在系统A或B的单独幺正变换下保持不变,这种代数不变性使Schmidt数成为非常有用的工具。
Schmidt分解在量子信息中非常有用,下面举例说明。
    令
     是复合系统AB的一个纯态,则由Schmidt分解,可得
    是复合系统AB的一个纯态,则由Schmidt分解,可得
     和
    和
     ,于是两个密度算子ρ
    
     A
    
    和ρ
    
     B
    
    的特征值相同,即均为
    ,于是两个密度算子ρ
    
     A
    
    和ρ
    
     B
    
    的特征值相同,即均为
     。量子系统的许多重要性质完全取决于系统约化密度算子的特征值,因此对复合系统的纯态而言,两个系统的这些性质相同。
    。量子系统的许多重要性质完全取决于系统约化密度算子的特征值,因此对复合系统的纯态而言,两个系统的这些性质相同。
   
Schmidt分解在量子信息中还有许多其他的应用,它可以简化复合系统,便于分析。
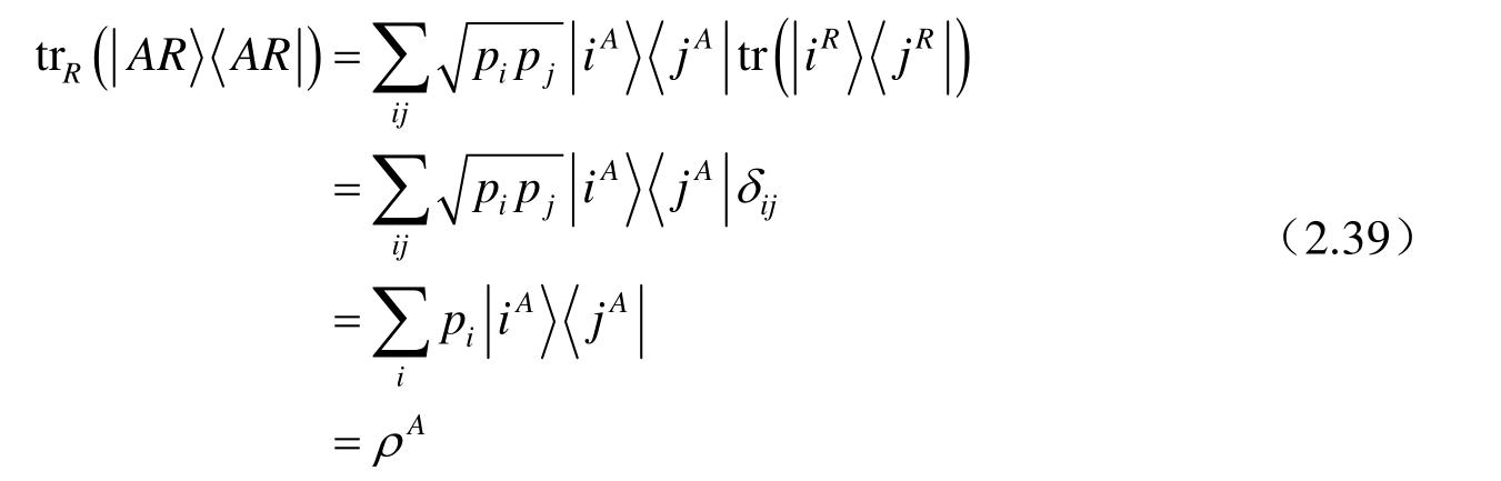
    与量子信息有关的另一技术是纯化(Purification)。给定量子系统A的状态ρ
    
     A
    
    ,可以引入另一个系统,记做R,并为联合系统AR定义纯态
     ,使得
    ,使得
     。也就是说,当我们只看系统A时,纯态
    。也就是说,当我们只看系统A时,纯态
     退化为ρ
    
     A
    
    。这是一个纯粹的数学过程,称为纯化,这就把纯态和混合态联系起来了。为此称R为参考系统:它是一个假想的系统,没有直接的物理意义。
    退化为ρ
    
     A
    
    。这是一个纯粹的数学过程,称为纯化,这就把纯态和混合态联系起来了。为此称R为参考系统:它是一个假想的系统,没有直接的物理意义。
   
    为证明纯化可以对任意状态进行,我们来说明如何为ρ
    
     A
    
    构造系统R和纯化
     。设ρ
    
     A
    
    有标准正交分解
    。设ρ
    
     A
    
    有标准正交分解
     ,为对ρ
    
     A
    
    进行纯化而引入系统R,它与A具有相同的状态空间,有标准正交基
    ,为对ρ
    
     A
    
    进行纯化而引入系统R,它与A具有相同的状态空间,有标准正交基
     。为复合系统定义纯态:
    。为复合系统定义纯态:
   
 
   
    现在计算系统A对应于状态
     的约化密度算子:
    的约化密度算子:
   
 
   
    可见,
     是ρ
    
     A
    
    的纯化。
    是ρ
    
     A
    
    的纯化。
   
注意Schmidt分解和纯化有密切的关系:用于纯化一个系统A混合态的过程是定义一个纯态。该纯态相对系统A的Schmidt基恰好将系统A混合态对角化,并且Schmidt系数是被纯化的密度算子的特征值的平方根。