



纯态与混合态是量子力学和量子通信中的重要概念。本节讨论纯态与混合态的定义与描述方式,包括密度矩阵的动力学方程、约化密度矩阵,以及Schmidt分解与混合态的纯化。
在量子力学中,如果系统的状态可以用确定的态矢量(或概率幅)来描述,则称此状态为纯态(pure state)。最简单的纯态是力学量的一组完全本征态,当然,纯态也可以是本征态的相干叠加态。如果系统的若干个纯态以一定的概率非相干的混合,则形成的这种状态称为混合态(mixed state)。注意这些纯态不是相干叠加,否则为纯态。
定义
设系统处于混态,在某一时刻,系统按已知概率p
i
处于一些纯态
,则此系统的状态由密度矩阵ρ描述为
密度矩阵也称为密度算子。若一个量子系统处于纯态
,则密度矩阵为
任意可观测力学量Ω在混态系统中的期望值可写为
密度矩阵有如下的性质:
(1)密度矩阵为Hermite的,即ρ=ρ + ;
(2)密度矩阵的本征值为非负;
证明:ρ是一个半正定算子:对于状态空间中任意向量,有
(3)ρ对角元0≤ρ nn ≤1;
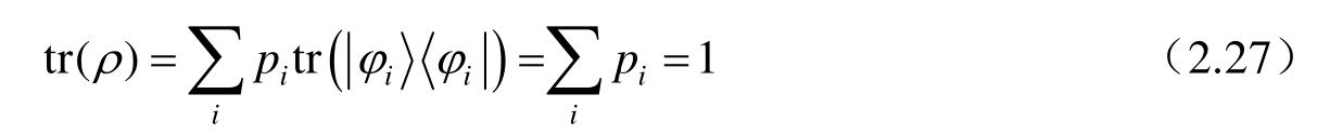
(4)ρ的迹等于1;
证明:
(5)tr(ρ 2 )≤1;
当系统处于纯态时,密度矩阵的本征值为1;此时,密度矩阵为投影算符;tr(ρ 2 )=1。
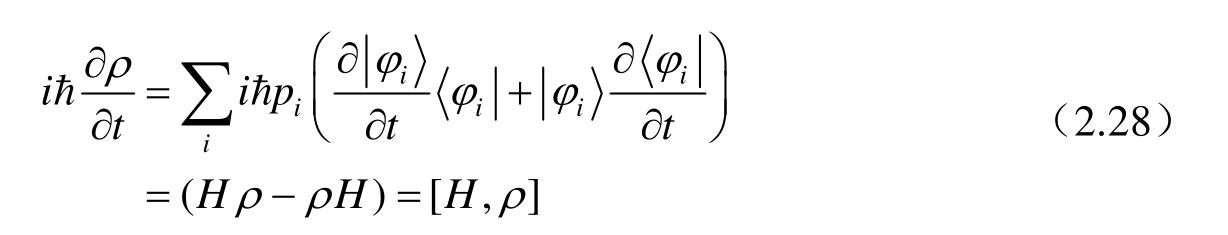
从薛定谔方程出发,可以推得混合态的动力学演化方程。假设一个量子系统以概率p
i
处于初始状态
,由公设3可以推知系统演化的动力学方程为
其中,
,H为系统的Hamilton量,记[H,ρ]=Hρ-ρH,称为算子H和算子ρ的对易子。
系统的演化可以用演化幺正算子U来描述,则系统演化发生以后,系统将以概率p
i
进入状态U
。此时,混合态的演化可以描述为
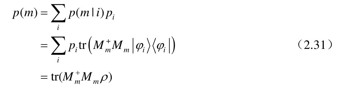
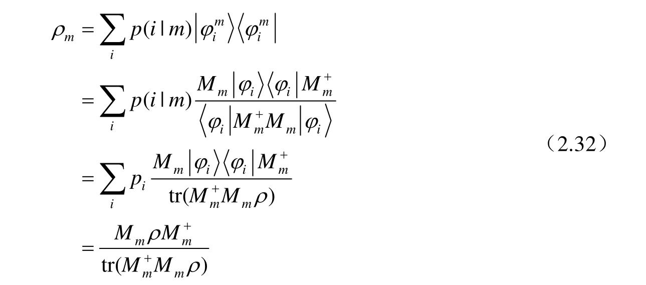
由测量公设出发,可以推出对混合态进行量子测量的数学描述。假设系统初始处于混合态
,对该量子系统进行由测量算子M
m
描述的量子测量。由于系统以概率p
i
处于初始状态
,则当测量发生以后,针对
得到结果m的概率是
根据全概率公式,对所有可能的态,测量得到结果m的概率是
相应的系统末态密度算子为
其中,测量算子满足完备性方程
当研究的物理系统不再是一个封闭系统时,系统本身与外界环境不可避免地存在相互作用。在环境与研究者所关心的物理系统相互作用后,为了简化描述,可以采用约化密度矩阵的方式约去系统描述中环境的部分。设物理系统A和物理系统B(环境)组成复合系统,其状态由密度算子ρ AB 来描述,则系统A的约化密度算子定义为 [Nielsen 2000]
其中,tr B 是一个线性算子,称为系统B上的偏迹。当求偏迹的密度矩阵可以写成矩阵直积的形式时,偏迹定义为
其中,
和
是状态空间A中的两个向量,
和
是状态空间B中的两个向量。考虑到ρ
AB
总可以写成多个矩阵直积的和以及tr
B
的线性性质,式(2.34)实际上给出了求任意矩阵偏迹的方法,此处给出一个例子。
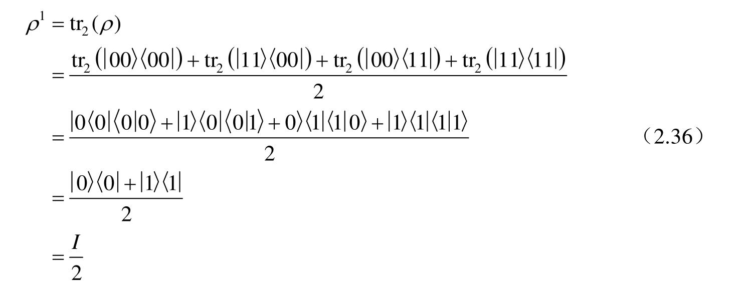
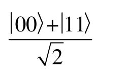
如果联合系统的状态是一个精确已知的纯态,表示为
它的密度算子为
对子系统B求偏迹,可以得到子系统A的约化密度算子
因为
,所以子系统A处于混合态,同样的方法可以验证子系统B也处于混合态。这个结果非常值得关注,复合系统的状态是一个精确已知的纯态,但第一个量子比特构成子系统,却处于混合态,其状态无法完全确知。换句话说,一个复合系统的联合状态全已知,但其子系统的状态却不知,这是量子系统区别于经典系统的特点之一。
研究复合量子系统时,除了密度算子和偏迹外,Schmidt分解和纯化(Purification)也可用来研究复合量子系统。这里,先给出Schmidt分解定理,并进行简要证明 [Nielsen 2000] 。
定理2.1
(Schmidt分解)设
是复合系统AB的一个纯态,则存在系统A的标准正交基
和系统B的标准正交基
,使得
其中,λ
i
是满足
=1的非负实数,称为Schmidt系数。
证明
:假定系统A和B的状态空间具有相同的维数,设
和
分别为系统A和B的标准正交基,则
对矩阵a(其元素a
jk
为复数)可写成
由矩阵的奇异值分解,a=udυ,其中d是具有非负元素的对角阵,u和υ是幺正矩阵。于是
定义
和,λ
i
≡d
ii
可给出
从u的幺正性和
的标准正交性,容易验证
构成一个标准正交集,同理
也构成一个标准正交集.
基
分别称为A和B的Schmidt基,且非零λ
i
的个数称为状态
的Schmidt数。
Schmidt数是复合量子系统的重要属性,在某种意义下是指量化系统A和B之间纠缠的“量”。Schmidt数在系统A或B的单独幺正变换下保持不变,这种代数不变性使Schmidt数成为非常有用的工具。
Schmidt分解在量子信息中非常有用,下面举例说明。
令
是复合系统AB的一个纯态,则由Schmidt分解,可得
和
,于是两个密度算子ρ
A
和ρ
B
的特征值相同,即均为
。量子系统的许多重要性质完全取决于系统约化密度算子的特征值,因此对复合系统的纯态而言,两个系统的这些性质相同。
Schmidt分解在量子信息中还有许多其他的应用,它可以简化复合系统,便于分析。
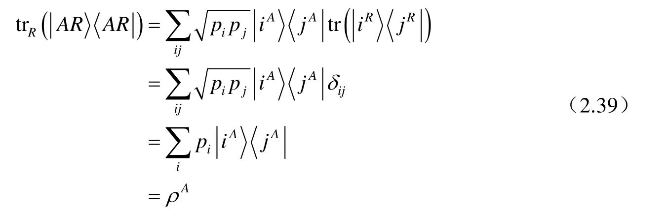
与量子信息有关的另一技术是纯化(Purification)。给定量子系统A的状态ρ
A
,可以引入另一个系统,记做R,并为联合系统AR定义纯态
,使得
。也就是说,当我们只看系统A时,纯态
退化为ρ
A
。这是一个纯粹的数学过程,称为纯化,这就把纯态和混合态联系起来了。为此称R为参考系统:它是一个假想的系统,没有直接的物理意义。
为证明纯化可以对任意状态进行,我们来说明如何为ρ
A
构造系统R和纯化
。设ρ
A
有标准正交分解
,为对ρ
A
进行纯化而引入系统R,它与A具有相同的状态空间,有标准正交基
。为复合系统定义纯态:
现在计算系统A对应于状态
的约化密度算子:
可见,
是ρ
A
的纯化。
注意Schmidt分解和纯化有密切的关系:用于纯化一个系统A混合态的过程是定义一个纯态。该纯态相对系统A的Schmidt基恰好将系统A混合态对角化,并且Schmidt系数是被纯化的密度算子的特征值的平方根。