



为了建立状态方程,必须找到系统状态的独立变量。不难发现通过树和连支的概念可以很容易实现。根据图论原理,借用树和连支的概念,首先定义通风网络的树,使之包含执行机构分支,取连支流量作为状态变量。为了便于分析,标志连支从1到l=N-n c +1,N=n+g为包含执行机构的分支个数,非执行机构树枝从l+1到n,执行机构树枝从G 1 到G g 。
定义:
 
   即 Q c 和 H c 矩阵分别描述连支中的流量和压降, Q a 和 H a 矩阵分别描述树枝中的流量和压降,但并不包括执行机构的分支。
定义 Q D 和 K 如下:
 
   则式(2-24)可以重新写为:
 
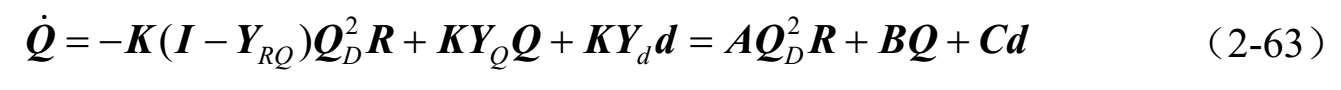
   命题2.1 :存在维数一定的矩阵 A , B , C , Y RQ , Y Q 和 Y d ,使得流体网络全阶模型可以表示为:
 
   式中, Q 是系统的状态; R 和 d 是输入; H 是系统的输出。
证明:
矩阵 E H , E Q , e Hm 和 e Qm 可用如下形式来表示:
 
     
    式中,
 
   现在通过连支的流量来表示树枝的流量,由式(2-26)、式(2-36)和式(2-41)得:
 
   由式(2-43)中的E Qa =I( n-l)×(n-l) 知:
 
   由式(2-30)和式(2-32)可得:
 
   
    因此,如果
     的逆存在(详见引理2.1),则H
    
     c
    
    表示如下:
    的逆存在(详见引理2.1),则H
    
     c
    
    表示如下:
   
 
   通过式(2-35),重写式(2-47)如下:
 
   式中:
 
   
    微分
     可得
    可得
     ,由式(2-37)和式(2-38)可得:
    ,由式(2-37)和式(2-38)可得:
   
 
   由式(2-52)和式(2-48)可得:
 
   由式(2-43)得:
 
   因此
 
   式中:
 
   其中,式中( E Qc K c S Ha + K a )的逆存在,证明详见引理2.2。
把式(2-55)代入式(2-48)得:
 
   由式(2-36)、式(2-55)、式(2-60)得:
 
   式中:
 
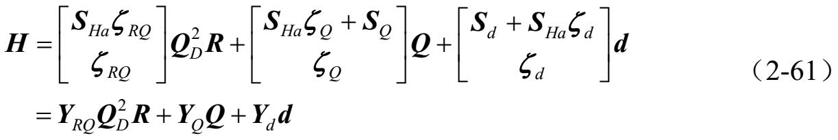
   把式(2-61)代入式(2-38)可得:
 
   式中:
 
   从而建立了以所有分支流量 Q 为系统的状态,压力 H 为系统的输出的流体网络全阶模型。
    
     引理2.1
    
    :矩阵
     的逆存在。
    的逆存在。
   
证明:
    由参考文献[144]可知,在多执行机构流体网络中考虑到没有全为树枝的回路,则
     是一个满秩的矩阵。
    是一个满秩的矩阵。
   
    反证法,假定
     存在两行向量是等同的,则必存在一个全为树枝的回路,但这又与上述描述相违背;同样的,可以用反证法证明在
    存在两行向量是等同的,则必存在一个全为树枝的回路,但这又与上述描述相违背;同样的,可以用反证法证明在
     的列向量中也不存在其中一列为其他列的线性组合。
    的列向量中也不存在其中一列为其他列的线性组合。
   
证毕
引理2.2 :矩阵 E Qc K c S Ha + K a 的逆存在。
证明:
写出满足KVL的回路矩阵和满足KCL的割集矩阵的紧式。
 
   由参考文献[144]可知,回路矩阵和割集矩阵存在如下关系:
 
   由式(2-43)可得:
 
   或
 
   
    由式(2-43)可知,
    
     E
    
    
     Q
    
    是满秩的,所以
     可以由奇异值分解因式分解为
    
     [145]
    
    :
    可以由奇异值分解因式分解为
    
     [145]
    
    :
   
 
     
    由式(2-67)和式(2-68)可得:
 
   可得:
 
   把式(2-37)、式(2-43)和式(2-66)代入式(2-70)得:
 
   所以 E Qc K c S Ha + K a 的逆存在。
证毕
评注2.1 :流体网络的全阶模型可以不用回路矩阵 E H 和 e Hm 表示。
由式(2-65)可得:
 
   根据以上描述和式(2-66)可知,所有的辅助矩阵可以不用回路矩阵 E H 和 e Hm 表示,即:
