



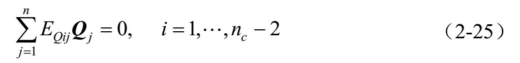
与电网络类似,流体网络也满足Kirchhoff电流定律,即任何节点流体流出量等于流入量 [144] 。因此流体网络的Kirchhoff电流定律可以表示为:
或
式中,n
c
为网络的节点数;
Q
为流量矩阵。
是一个(n
c
-2)×n阶的满秩矩阵,且
的值定义如下:如果分支j与节点i相连且流体流出此节点,则
如果分支j与节点i相连且流体流入此节点,则
;如果分支j与节点i不相连,则
。
假设流体网络系统连接有g个执行机构,则执行机构所在分支的流体流量可由以下表达式表示:
或
式中,在多执行机构网络中,
为执行机构i所在分支的流体流量。
是一个g×n矩阵,且其值定义如下:如果分支j和执行机构分支i相连,且流出执行机构,则
;流入执行机构分支i,则
;如果分支j和执行机构分支i不相连,则
。
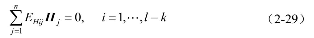
类似的,流体网络也满足Kirchhoff电压定律,即网络中任何回路中的压力之和等于零 [144] ,数学表达式如下:
或
式中, H j 为分支j的压降;l为网络中的连支数,l=N-n c +1,N=n+1为拥有执行结构的分支数; H 为压降的一个矢量; E H =[E Hij ]是一个(l-k)×n的网孔矩阵,每个网孔由一个连支和此连支两个末端端点唯一连接的树枝组成;k是包含执行机构分支网孔数量,它等于连支数,在其末端连接到执行机构。E Hij 定义如下:如果分支j包含在网孔i中,且与连支方向一致,则E Hij =1;如果分支j包含在网孔i中,且与连支方向相反,则E Hij =-1;如果分支j不包含在网孔i中,则E Hij =0。
考虑到网孔里包含了执行机构分支,对于多执行机构网络,由于动力执行机构分支被定义为树枝,所以不存在全为执行机构分支的回路,则执行机构分支的网络压降可表示为:
或
式中, H m 是执行机构分支的压降; e Hm =[e Hmij ]是一个g×n的矩阵。e Hmij 定义如下:如果分支j包含在网孔i中,且方向与执行机构分支一致,则e Hmij =1;如果分支j包含在网孔i中,方向与执行机构分支相反,则e Hmij =-1;如果分支j不包含在网孔i中,则e Hmij =0。
对于多执行机构网络,执行机构分支的动力学方程可表示为:
式中,d 1 ,d 2 ,,d g 为各执行机构分支产生的等量压降;R m 1,…,R mg 为各执行机构分支的阻力系数。
令
根据式(2-28),式(2-33)可重新写为: