



ARM的体积小、隐蔽性好,不易被侦察。但是根据ARM发射、飞行运动特性和自身的电磁散射特点,其雷达回波具有特殊的信息特性,可以分析其特征,从而提出检测和识别方法。具体分析反辐射导弹的运动特点可以发现其具有以下几个特点:反辐射导弹的飞行速度一般比较快,达到 2~4 马赫;因为反辐射导弹是通过导引头对雷达信号的跟踪引导飞行方向,所以其运动规律是在离开载机后沿径向飞向雷达,具有正向多普勒频率;反辐射导弹离开载机时具有很大的加速度,在离开载机的初始阶段其雷达回波信号可以近似看做线性调频信号 [7] ~ [11] 。根据反辐射导弹的运动特点,对反辐射导弹的告警可以利用被保护雷达的部分设备作为雷达的一个功能来实现,也可以使用一部专门的反辐射导弹告警雷达,后者设计应该遵循如下原则 [2] :
(1)具有一定的抗反辐射导弹能力;
(2)使反辐射导弹的RCS尽可能大;
(3)具备一定的抗电子干扰能力;
(4)减少和其他电磁能量的相互干扰;
(5)尽可能低的成本;
(6)具有一定的机动能力;
(7)能动态分配观察时间。
当前对反辐射导弹告警主要有两种可行的思路:一是根据反辐射导弹与载机之间的速度的差异,检测已脱离载机后高速运行的反辐射导弹,主要思想是利用较高的正向多普勒频率直接检测出反辐射导弹的存在;二是根据弹机分离时刻反辐射导弹的加速度特征,分离出强回波信号(反辐射导弹载机回波)附近的弱回波信号,进行反辐射导弹检测。在这两种思路中,第一种思路实现较为简单,但是必须在反辐射导弹与载机完全分离以后才能正常工作。第二种思路在反辐射导弹发射初期就可以对其进行检测,为雷达防御赢得更多时间,但是由于此时反辐射导弹与载机在同一距离、角度分辨单元内,具有相近的速度,而且载机信号要比反辐射导弹的信号大得多(20~27dB),所以实现难度较大。
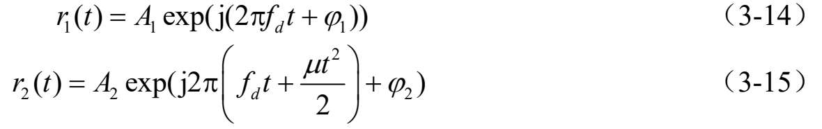
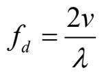
反辐射导弹的检测可以在时域或频域进行,但是由于反辐射导弹的回波比载机弱很多,且加上噪声的影响,在时域检测可靠性很差。在频域检测通常采用快速傅里叶变换来实现,利用反辐射导弹与载机之间的速度差异,通过其频谱上的差别对反辐射导弹进行检测。但是在反辐射导弹与载机没有完全分离时,反辐射导弹回波在发射初期的加速过程中是一个线性调频信号或者频带信号,载机回波通常近似是一个单频信号,假设ARM发射时速度为 v ,初始加速度为 a ,则其速度为 v + at 。对于普通窄带雷达,ARM发射初期的雷达回波信号形式如下:
式中, n ( t )为噪声; r 1 ( t )为载机回波; r 2 ( t )为ARM回波,分别为
式中,
为载机多普勒频率,
λ
为雷达工作波长;
ϕ
1
、
ϕ
2
为初相;
A
1
、
A
2
分别为载机与ARM的回波幅度;
μ
=2
a
/
λ
为ARM回波信号的调制率。通常,
A
1
比
A
2
大 20~27dB,载机回波的信噪比为 15dB左右。这时直接FFT后反辐射导弹信号功率得不到积累,其频谱信号往往淹没在强载机信号频谱的旁瓣中,结果仍旧难以可靠检测。利用反辐射导弹的加速度带来的雷达回波特性对其进行检测,是近年来的研究热点,已经有很多成果:通过基于自适应线性预测滤波
[8]
、Radon-Ambiguity变换
[9]
、Wigner-Hough变换
[10]
、基于频域遮隔及分数阶相关
[12]
、分数阶傅里叶变换
[13]
等方法对ARM进行检测,都取得了很好的效果。