



设在一个角平面内两个同时波束的接收信号分别是 S 1 和 S 2 (复信号),即
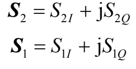
两个复信号进行比较(即矢量相减),令其差与和分别为
用和信号对差信号进行归一化处理,即两者之比为
式中,
称为“和差形式的单脉冲复比”,也就是“相加式”,单脉冲处理器的任务就是形成这个单脉冲复比。
同样
由式(2-6)可见,借助于测量
,也可以计算
,或者反之,即二者包含了等效信息,因此把复比
称为“幅相形式的单脉冲复比”,也就是“相乘式”。
当然,人们还可以将信号
S
1
和
S
2
构成各种不同形式的线性组合,以等效实现单脉冲复比,但
和
是最常见的两种单脉冲复比表示形式。计算复比模型
将构成幅度-幅度单脉冲系统、相位-相位单脉冲系统,而计算复比模型
将构成和差式单脉冲系统,后者在工程上具有更多优点而被广泛使用。
在理想的单脉冲系统
中,信号
S
1
和
S
2
幅度相同,经过简单计算可以知道
Δ
和
Σ
两个矢量之间的相位差为 0°、180°或者±90°,因而
只有实部或者虚部输出。
但是在实际系统中,由于噪声、干扰、多路径、混淆目标的存在,或者系统的非理想设计,
输出可能同时具有实部和虚部,因此必须对
进行矢量处理。
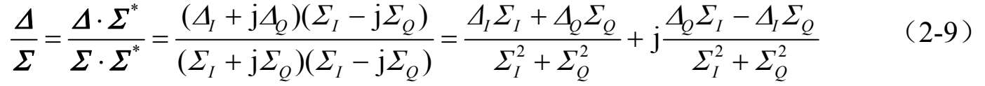
式中,实部
;虚部
。
在正常情况下,目标的贡献仅仅是实部或者虚部,因而在矢量处理中只需要取出实部或者虚部即可,而去掉由于各种干扰造成的虚部或者实部部分。在模拟电路中,这可以利用幅度检波和相位检波来实现,下面讨论单脉冲复比的数字处理模型。
将复比表示成 I 、 Q 形式,即有
则和差单脉冲复比可以表示为
取其实部,则和差形式的单脉冲估值器(也称为单脉冲处理器)的计算为
或者
对于和差单脉冲系统,单脉冲处理器就是形成这样的输出。
同样,对于幅相形式的单脉冲复比为
则幅相单脉冲复比为
取其实部,则幅相形式的数字单脉冲估值器的处理模型为
或者