



1.基础知识
二极管是最常用的半导体器件之一。二极管的种类有很多,按照所用的半导体材料,可分为锗二极管(Ge管)和硅二极管(Si管);根据不同用途,可分为检波二极管、整流二极管、稳压二极管、开关二极管、隔离二极管、肖特基二极管、发光二极管等;按照管芯结构,又可分为点接触型二极管、面接触型二极管及平面型二极管。点接触型二极管是指将一根很细的金属丝压在光洁的半导体晶片表面,通以脉冲电流,使触丝一端与晶片牢固地烧结在一起,形成一个“PN结”。由于是点接触,只允许通过较小的电流(不超过几十毫安),所以该类型的二极管适用于高频小电流电路,如收音机的检波电路等。面接触型二极管的“PN结”的面积较大,允许通过较大的电流(几安到几十安),主要用于把交流电变换成直流电的“整流”电路中。平面型二极管是一种特制的硅二极管,它不仅能通过较大的电流,而且性能稳定可靠,多用于开关、脉冲及高频电路中。
二极管主要是依靠PN结工作的。与PN结不可分割的点接触型和肖特基型也被列入一般二极管的范围内。几种常见的二极管如图1-8所示。
图1-8 几种常见的二极管
1)根据晶体二极管PN结构造面的分类
(1)点接触型二极管。
点接触型二极管是在锗或硅材料的单晶片上压触一根金属针后,再采用电流法(一种工艺)而形成的点接触PN结。因此,其PN结的静容量小,适用于高频电路。但是与面结型相比较,点接触型二极管的正向特性和反向特性都差,因此它不能用于大电流和整流场合。因为构造简单,所以其价格便宜。对于小信号的检波、整流、调制、混频和限幅等一般用途而言,它是应用范围较广的类型。
(2)键型二极管。
键型二极管是在锗或硅的单晶片上熔接金或银的细丝而形成的。其特性介于点接触型二极管和合金型二极管之间。与点接触型二极管相比较,虽然键型二极管的PN结的容量稍有增加,但其正向特性特别优良。它多用做开关,有时也被应用于检波和电源整流(不大于50mA)。在键型二极管中,熔接金丝的二极管有时被称为金键型,熔接银丝的二极管有时被称为银键型。
(3)合金型二极管。
合金型二极管是在N型锗或硅的单晶片上,通过合金铟、铝等金属的方法制作PN结而形成的。其正向电压降小,适用于大电流整流。因其PN结反向时的静容量大,所以不适用于高频检波和高频整流。
(4)扩散型二极管。
在高温的P型杂质气体中,加热N型锗或硅的单晶片,使单晶片表面变成P型,以此法形成PN结。因为PN结的正向电压降小,所以它适用于大电流整流。最近,使用大电流整流器的主流已由硅合金型转变为硅扩散型。
(5)台面型二极管。
台面型二极管的PN结的制作方法虽然与扩散型二极管相同,但是只保留了PN结及其必要的部分,而把不必要的部分用药品腐蚀掉,其剩余的部分呈现出台面形,因此而得名。初期生产的台面型二极管是对半导体材料使用扩散法而制成的。因此,又把这种台面型二极管称为扩散台面型二极管。对于这一类型来说,现在用于大电流整流的产品型号很少,而作为小电流开关用的产品型号却很多。
(6)平面型二极管。
平面型二极管是在半导体单晶片(主要是N型硅单晶片)上扩散P型杂质,利用硅片表面氧化膜的屏蔽作用,在N型硅单晶片上仅选择性地扩散一部分而形成PN结的。因此,它不需要为调整PN结面积而用药品腐蚀单晶片。半导体材料的表面被制作得平整,平面型二极管因此而得名。并且PN结的表面被氧化膜覆盖,因此它被公认为是稳定性好和寿命长的类型。最初,被使用的半导体材料是采用外延法形成的,因此又把平面型称为外延平面型。对于平面型二极管而言,现在用于大电流整流的产品型号很少,而作为小电流开关用的产品型号则很多。
(7)合金扩散型二极管。
合金扩散型二极管是合金型的一种。合金材料是容易被扩散的材料。把难以制作的材料通过巧妙地掺配杂质,就能与合金一起扩散,以便在已经形成的PN结中获得杂质的恰当的浓度分布。此法适用于制造高灵敏度的变容二极管。
(8)外延型二极管。
外延型二极管是用外延面长的过程制造PN结而形成的二极管,制造时需要非常高超的技术。因能随意地控制杂质的不同浓度的分布,故它适用于制造高灵敏度的变容二极管。
(9)肖特基二极管。
肖特基二极管的基本工作原理是:在金属(如铅)和半导体(N型硅片)的接触面上,用已形成的肖特基来阻挡反向电压。肖特基与PN结的整流作用原理有根本性的差异。其耐压程度只有40V左右。其特点是:开关速度非常快;反向恢复时间t rr 特别短。因此,它能用来制作开关二极管和低压大电流整流二极管。
2)根据用途分类
(1)检波二极管。
就原理而言,从输入信号中取出调制信号为检波。以整流电流的大小(100mA)作为界线,通常把输出电流小于100mA的叫做检波。锗材料点接触型的工作频率可达400MHz,其正向压降小,结电容小,检波效率高,频率特性好,为2AP型。类似点触型那样的检波二极管,除用于检波外,还能够用于限幅、削波、调制、混频、开关等电路。也有为调频检波专用的特性一致性好的两个二极管组合件。
(2)整流二极管。
就原理而言,从输入交流中得到直流输出的是整流。以整流电流的大小(100mA)作为界线,通常把输出电流大于100mA的叫做整流。面结型的工作频率小于千赫兹,其最高反向电压从25~3000V分为A~X共22挡。其分类如下:
① 硅半导体整流二极管2CZ型;
② 硅桥式整流器QL型;
③ 用于电视机高压硅堆,工作频率接近100kHz的2CLG型。
(3)限幅二极管。
大多数二极管都能用于限幅,也有像保护仪表用和高频齐纳管那样的专用限幅二极管。为了使这些二极管具有特别强的限制尖锐振幅的作用,通常使用硅材料制造二极管。也有这样的组件出售:依据限制电压需要,把若干个整流二极管串联起来形成一个整体作为限幅二极管。
(4)调制二极管。
调制二极管通常指的是环形调制专用的二极管,就是正向特性一致性好的四个二极管的组合件。虽然其他变容二极管也有调制用途,但它们通常直接用于调频。
(5)混频二极管。
使用二极管混频方式时,在500~10 000Hz的频率范围内,多采用肖特基型和点接触型二极管。
(6)放大二极管。
用二极管放大,大致分为依靠隧道二极管和体效应二极管那样的负阻性器件的放大,以及借助变容二极管的参量放大。因此,放大二极管通常是指隧道二极管、体效应二极管和变容二极管。
(7)开关二极管。
开关二极管有在小电流(10mA)下使用的逻辑运算和在数百毫安下使用的磁芯激励用开关二极管。小电流的开关二极管通常有点接触型和键型等二极管,也有在高温下还可以工作的硅扩散型、台面型和平面型二极管。开关二极管的特长是开关速度快。肖特基型二极管的开关时间特短,因而是理想的开关二极管。2AK型点接触开关二极管用于中速开关电路中;2CK型平面接触开关二极管用于高速开关电路中,用于开关、限幅、钳位或检波等电路;肖特基(SBD)硅大电流开关的正向压降小,速度快、效率高。
(8)变容二极管。
用于自动频率控制(AFC)和调谐的小功率二极管称为变容二极管。日本厂商方面对它也有其他许多叫法。通过施加反向电压,可使其PN结的静容量发生变化。因此,它被用于自动频率控制、扫描振荡、调频和调谐等。一般采用硅的扩散型二极管,也可采用合金扩散型、外延结合型、双重扩散型等特殊制作的二极管,因为这些二极管对于电压而言,其静容量的变化率特别大。由于变容二极管的结电容随反向电压U R 变化,所以它可取代可变电容,用于调谐回路、振荡电路、锁相环路。变容二极管常用于电视机高频头的频道转换和调谐电路,多用硅材料制作。
(9)频率倍增用二极管。
二极管的频率倍增分为依靠变容二极管的频率倍增和依靠阶跃(即急变)二极管的频率倍增。频率倍增用的变容二极管称为可变电抗器。可变电抗器的工作原理虽然和自动频率控制用的变容二极管的工作原理相同,但它能承受大功率。阶跃二极管又称为阶跃恢复二极管,其从导通切换到关闭时的反向恢复时间t rr 短,因此其特点是急速地变成关闭的转移时间显著短。如果对阶跃二极管施加正弦波,因t t (转移时间)短,所以其输出波形会被急骤地夹断,进而产生很多高频谐波。
(10)稳压二极管。
稳压二极管是代替稳压电子二极管的产品,被制作成硅的扩散型或合金型,是反向击穿特性曲线急骤变化的二极管,用于控制电压和产生标准电压。稳压二极管工作时的端电压(又称齐纳电压)从3V左右到150V,按每隔10%划分成许多等级。在功率方面,也有从200mW至100W以上的产品。它工作在反向击穿状态,用硅材料制作,动态电阻R Z 很小,一般为2CW型;若将两个互补二极管反向串联以减少温度系数,则为2DW型。
(11)PIN型二极管(PIN Diode)。
PIN型二极管是在P区和N区之间夹一层本征半导体(或低浓度杂质的半导体)构造的晶体二极管。PIN中的I是“本征”意义的英文略语。当工作频率超过100MHz时,由于少数载流子的存储效应和“本征”层中的渡越时间效应,使二极管失去整流作用而变成阻抗元件,并且其阻抗值随偏置电压而改变。零偏置或直流反向偏置时,“本征”区的阻抗很高;直流正向偏置时,由于载流子注入“本征”区而使“本征”区呈现出低阻抗状态。因此,可以把PIN型二极管作为可变阻抗元件使用。它常被应用于高频开关(即微波开关)、移相、调制、限幅等电路中。
(12)雪崩二极管(Avalanche Diode)。
雪崩二极管是在外加电压作用下可以产生高频振荡的晶体二极管。产生高频振荡的工作原理是:利用雪崩击穿对晶体注入载流子,因为载流子渡越晶片需要一定的时间,使得电流滞后于电压,出现延迟时间,若适当地控制渡越时间,在电流和电压的关系上就会出现负阻效应,从而产生高频振荡。雪崩二极管常被应用于微波领域的振荡电路中。
(13)江崎二极管(Tunnel Diode)。
江崎二极管是以隧道效应电流为主要电流分量的晶体二极管。其基底材料是砷化镓和锗。其P型区和N型区是高掺杂的(即高浓度杂质的)。隧道电流由这些简并半导体的量子力学效应所产生。发生隧道效应具备如下三个条件:①费米能级位于导带和满带内;②空间电荷层的宽度必须很窄(0.01微米以下);简并半导体P型区和N型区中的空穴和电子在同一能级上有交叠的可能性。江崎二极管为双端子有源器件。其主要参数有峰谷电流比(I P /P V ),其中下标“P”代表“峰”;而下标“V”代表“谷”。江崎二极管既可以被应用于低噪声高频放大器及高频振荡器中(其工作频率可达毫米波段),也可以被应用于高速开关电路中。
(14)快速关断(阶跃恢复)二极管(Step Recovery Diode)。
快速关断(阶跃恢复)二极管也是一种具有PN结的二极管。其结构特点是:在PN结边界处具有陡峭的杂质分布区,从而形成“自助电场”。由于PN结在正向偏压下以少数载流子导电,并且在PN结附近具有电荷存储效应,使得其反向电流需要经历一个“存储时间”后才能降至最小值(反向饱和电流值)。阶跃恢复二极管的“自助电场”缩短了该存储时间,使反向电流快速截止,并产生了丰富的谐波分量。利用这些谐波分量可以设计出梳状频谱发生电路。快速关断(阶跃恢复)二极管多用于脉冲和高次谐波电路中。
(15)肖特基二极管(Schottky Barrier Diode)。
肖特基二极管是具有肖特基特性的“金属半导体结”的二极管。其正向起始电压较低。其金属层除半导体材料外,还可以采用金、钼、镍、钛等材料。其半导体材料采用硅或砷化镓,多为N型半导体。由于这种器件是由多数载流子导电的,所以其反向饱和电流比由少数载流子导电的PN结大得多。由于肖特基二极管中少数载流子的存储效应甚微,所以其频率响应仅由RC时间常数限制,因而它是高频和快速开关的理想器件。其工作频率可达100GHz。MIS(金属-绝缘体-半导体)肖特基二极管可以用来制作太阳能电池或发光二极管。
(16)阻尼二极管。
阻尼二极管是具有较高的反向工作电压和峰值电流,正向压降小,高频、高压的整流二极管,在电视机行扫描电路用于阻尼和升压整流。
(17)瞬变电压抑制二极管(TVP管)。
TVP管用于对电路进行快速过压保护,分为双极型和单极型两种,且可按峰值功率(500~5000W)和电压(8.2~200V)分类。
(18)双基极二极管(单结晶体管)。
双基极二极管是有两个基极,一个发射极的三端负阻器件,用于张弛振荡电路、定时电压读出电路中,具有频率易调、温度稳定性好等优点。
(19)发光二极管。
发光二极管用磷化镓、磷砷化镓材料制成,体积小,由正向电压驱动发光。其工作电压低,工作电流小,发光均匀、寿命长,可发红、黄、绿单色光。
3)根据特性分类
点接触型二极管按正向和反向特性分类如下。
(1)一般用点接触型二极管。
这种二极管通常被用于检波和整流电路中,是正向和反向特性既不特别好,也不特别坏的中间产品。SD34、SD46、1N34A等均属于这一类。
(2)高反向耐压点接触型二极管。
高反向耐压点接触型二极管是最大峰值反向电压和最大直流反向电压很高的产品,用于高压电路的检波和整流。这种型号的二极管一般正向特性不太好或一般。在点接触型锗二极管中,有SD38、1N38A、OA81等。这种锗材料二极管,其耐压受到限制。当要求更高时,有硅合金和扩散型。
(3)高反向电阻点接触型二极管。
高反向电阻点接触型二极管的正向电压特性和一般用二极管相同。虽然其反方向耐压也特别高,但反向电流小,因此其特点是反向电阻高。它常用于高输入电阻的电路和高阻负荷电阻的电路中。在锗材料高反向电阻点接触型二极管中,有SD54、1N54A等。
(4)高传导点接触型二极管。
高传导点接触型二极管与高反向电阻点接触型相反,其反向特性很差,但正向电阻变得足够小。SD56、1N56A等均属于高传导点接触型二极管。高传导键型二极管能够得到更优良的特性,这类二极管在负荷电阻特别低的情况下,整流效率较高。
4)二极管的主要参数
(1)最大平均整流电流I F (A V )。
I F (A V )是指二极管长期工作时,允许通过的最大正向平均电流。它与PN结的面积、材料及散热条件有关。实际应用时,工作电流应小于I F (A V ),否则可能导致结温过高而烧毁PN结。
(2)最高反向工作电压U RM 。
U RM 是指二极管反向运用时,所允许加的最大反向电压。实际应用时,当反向电压增加到击穿电压U BR 时,二极管可能被击穿损坏,因而U RM 通常取(1/2~2/3)U BR 。
(3)反向电流I R 。
I R 是指二极管未被反向击穿时的反向电流。理论上I R =I R(sat) ,但考虑表面漏电等因素,实际上I R 稍大一些。I R 越小,表明二极管的单向导电性能越好。另外,I R 与温度密切相关,使用时应注意。
(4)最高工作频率f M 。
f M 是指二极管正常工作时,允许通过交流信号的最高频率。实际应用时,频率不要超过此值,否则二极管的单向导电性将显著退化。f M 的大小主要由二极管的电容效应来决定。
(5)二极管的电阻。
就二极管在电路中电流与电压的关系而言,可以把它看成一个等效电阻,且有直流等效电阻R D 与交流等效电阻r d 之别。
① 直流等效电阻R D 。
直流等效电阻定义为加在二极管两端的直流电压U D 与流过二极管的直流电流I D 之比[如图1-9(a)所示],即
图1-9 二极管的直流等效电阻
R D 的大小与二极管的工作点有关。通常用万用表测出来的二极管电阻即为直流等效电阻。应注意的是,使用不同的欧姆挡测量出来的直流等效电阻不同。其原因是二极管工作点的位置不同。一般二极管的正向直流电阻在几十欧姆到几千欧姆之间,反向直流电阻在几十千欧姆到几百千欧姆之间。正、反向直流电阻差距越大,二极管的单向导电性能越好。
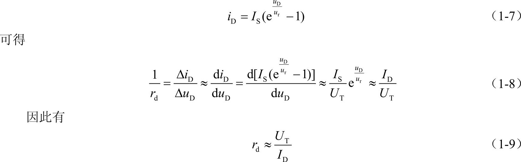
② 交流等效电阻r d 。
在图1-9(a)所示电路中,在直流电源U的作用下,对应于二极管电流I D 和二极管两端电压U D 的点称为静态工作点Q,如图1-9(b)所示,该点对应的直流等效电阻为
动态电阻是在一个固定的直流电压和电流(即静态工作点Q)的基础上,由交流信号u i 引起特性曲线在Q点附近的一小段电压和电流的变化产生的。若该交流信号u i 是低频,而且幅度很小(通常称为低频小信号),则由此引起的电流变化量也很小,则这一小段特性曲线可以用通过Q点的切线来等效。
在图1-9(a)所示电路中的Q点的基础上外加微小的低频信号,二极管两端产生的电压变化量和电流变化量如图1-9(b)所示,则此时的二极管可等效成一个动态电阻r d ,如图1-9(c)所示。根据二极管的电流方程可得
r d 是以Q点为切点的切线斜率的倒数。显然,Q点在伏安特性上的位置不同,r d 的数值将不同。根据二极管的电流方程
式中,I D 为静态电流;常温下U T =26mV。
从式(1-9)可知,静态电流I D 越大,r d 将越小。
设U
D
=0.7V时,I
D
=2mA,由式(1-5)可得直流等效电阻R
d
=350Ω,而按式(1-11)可得动态电阻(交流等效电阻)
,两者相差甚远,切不可混淆。
2.亲历实践
1)二极管的认识
在实验室找到你所能找到的二极管,观察它们的外形、色彩和标示,尽可能地了解每一个二极管的信息,如二极管的极性标识、常用二极管的型号、封装及其主要参数。
2)用模拟万用表初步判断二极管的引脚与质量
选择R×100挡(注意不要使用R×1挡,以免电流过大烧坏二极管),再将红、黑两根表笔短路,进行欧姆调零。
(1)正向电阻的测量。
把万用表的黑表笔(表内正极)搭触二极管的正极,红表笔(表内负极)搭触二极管的负极。
若表针不摆到0而是停在标度盘的中间某个位置,这时的阻值就是二极管的正向电阻。一般正向电阻越小越好。若正向电阻为0,说明管芯短路;若正向电阻接近无穷大,说明管芯断路。短路和断路的管子都不能使用。需要注意的是,测量发光二极管时,由于其正向电压比较高(需使用1.6~1.8V以上的电压才可以检测),而模拟万用表在R×100挡时的内部电池是1.5V,所以难以判断。可以改用R×1k挡(此时万用表的内部电源是9V或12V)试一试。特别是一些高亮度的白光、蓝光二极管的电压高达3V以上,这时最好串上一个限流电阻后接上直流电源试一下。注意:如果二极管的极性判断错误或万用表的表笔插反了也可能产生误判,可以对调二极管的引脚或纠正万用表的表笔位置后重新测量。
(2)反向电阻的测量。
把万用表的红表笔搭触二极管的正极,黑表笔搭触二极管的负极,若表针指在无穷大处或接近无穷大,管子就是合格的。
3)用数字万用表初步判断二极管的引脚与质量
选择万用表的二极管(通断判断)挡,把万用表的红表笔(内部接到正电源)搭触二极管的正极,黑表笔(内部接到负电源)搭触二极管的负极,万用表的显示屏上应该显示500~700(显示屏上实际显示的是二极管的正向压降),因此,如果显示值与此显著不同,则可能有如下几种情况:
(1)该数字接近于0,说明二极管已经击穿;
(2)该数字为100~200而反向测量一次显示为“1.”(即反向电阻很大或反向压降超过2V),说明该二极管可能是一个肖特基二极管或高速二极管;
(3)该数字为200~300而反向测量一次显示为“1.”(即反向电阻很大或反向压降超过2V),说明该二极管可能是一个锗材料二极管;
(4)该数字为1100~1200而反向测量一次显示为“1.”(即反向电阻很大或反向压降超过2V),说明该二极管可能是一个红外发光二极管;
(5)该数字为1600~1800(如果是发光管,有可能看到微微地发光)而反向测量一次显示为“1.”(即反向电阻很大或反向压降超过2V),说明该二极管可能是一个普通的发光二极管;
(6)如果显示为“1.”(即电阻很大或压降超过2V)且反向测量一次显示为“1.”(即反向电阻很大或反向压降超过2V),如果是普通二极管则说明这是一个坏管子;如果是一个发光二极管,则有可能是一个高亮发光二极管或其他特殊类型的发光二极管,最好串上一个限流电阻后接上直流电源试一下再做出判断。
图1-10 二极管的正向与反向特性的测试
4)二极管的正向和反向特性的测试
将被测二极管按照图1-10所示的电路接好,改变电源的电压值或串联的变阻器的阻值,记录被测二极管中的电流及其两端的电压,描绘出二极管的正向和反向特性并对其做出判断。测试几个不同型号的二极管并记录下测试结果。
该方法几乎可以用于所有常见的二极管的测试。
注意:该实验不要使用过大的电压和电流,以免损坏被测二极管。
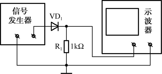
5)二极管的频率特性的测试
将被测二极管按照图1-11所示的电路接好,使函数信号发生器的输出幅值在5~10V之间。改变函数信号发生器的频率并同时观察示波器的输出,记录不同频率下示波器上的显示情况。
图1-11 二极管的频率特性的测试
3.思考提高
(1)用万用表的不同量程的电阻挡测量二极管的正向电阻,你得到一些什么样的数字?有什么规律?为什么?
(2)在本实验中的几种测试二极管的方法中,哪种方法最可靠?为什么?
(3)有些类型的二极管用本实验中的方法测试不了,有的则根本不能用本实验中的方法去测试!你知道是一些什么样的二极管吗?
(4)你能否设计一种方法测量变容二极管呢?
(5)有同学要制作一个精密整流电路(交流/直流变换电路),工作频率为20kHz,应该选用什么样的二极管?
(6)有同学要制作一个220V交流输入、5V/500mA直流输出的稳压电源,应该选用什么样的二极管?
(7)要给一个继电器的线圈并联一个二极管(这时又依据二极管起到的作用称为续流二极管或保护二极管),以使线圈在断电瞬间不产生高压,应该依据哪些电路工作条件(参数)选取二极管?
(8)稳压二极管在其反向击穿区的动态电阻很小,因而可以用于“稳压”,请设计一个电路测量一下稳压二极管的动态电阻。请说明该电阻与由稳压二极管构成的稳压电源的输出电阻的关系。
(9)有同学想用一个发光二极管充当稳压二极管(既作为电压基准,又充当电源指示),应该如何选用发光二极管以得到较好的效果?
(10)为了保护电路的输入端不受瞬时高电压的冲击,经常在电路的输入端与电源之间串联二极管以钳制电压,使其不至于超过电源电压太多。此时应该如何选择二极管?(提示:从正向压降、可能的电流大小、最高的电压及工作频率等方面去考虑)