



交流电路用到的计算公式较多,较常用的主要介绍如下。
交流电完成一次周期性变化所需的时间称为周期,其计算公式如下:
式中 T ——周期,单位为秒(s);
f ——频率,单位为赫兹,简称赫(Hz);
ω ——角频率,单位为弧度/秒(rad/s)。
单位时间(1s)内交流电流变化所完成的循环(或周期)称为频率,用英文字母 f 表示,其计算公式如下:
角频率相当于一种角速度,它表示了交流电每秒变化的弧度数,角频率用希腊字母 ω 表示,其计算公式如下:
正弦交流电的数值是在不断地变化的,在任一瞬间的电流称为正弦交流电电流瞬时值,用小写字母 i 表示。其计算公式如下:
式中 I max ——电流最大值,单位为安培(A);
t ——时间,单位为秒(s);
ω ——角频率,单位为弧度/秒(rad/s);
Φ ——初相位或初相角,简称初相,单位为弧度(rad)。在电工学中,用度(°)作为相位的单位,1 rda=57.295 8°。
正弦交流电的数值是在不断地变化的,在任一瞬间的电压称为正弦交流电电压瞬时值,用小写字母 u 表示。其计算公式如下:
式中 U max ——电压最大值,单位为伏特(V)。
其他字母含义与上相同,以后凡是第一次出现过的字母,如含义相同,则不再重述。
正弦交流电的数值是在不断地变化的,在任一瞬间的电动势称为正弦交流电电动势瞬时值,用小写字母 e 表示。其计算公式如下:
式中 E max ——电动势最大值,单位为伏特(V)。
在正弦交流电电流的瞬时值中的最大值(或振幅)称为正弦交流电电流的最大值或振幅值,用大写字母 I 并在右下角标注max表示。
式中 I ——电流有效值,单位为安培(A)。
在正弦交流电电压的瞬时值中的最大值(或振幅)称为正弦交流电电压的最大值或振幅值,用大写字母 U 并在右下角标注max表示。
式中 U ——电压有效值,单位伏特(V)。
在正弦交流电电动势的瞬时值中的最大值(或振幅)称为正弦交流电电动势的最大值或振幅,用大写字母 E 并在右下角标注max表示。其计算公式如下:
式中 E ——电动势有效值,单位为伏特(V)。
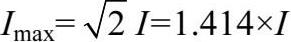
正弦交流电电流的有效值等于它的最大值的0.707倍。电流有效值用大写字母 I 表示。其计算公式如下:
正弦交流电电压的有效值等于它的最大值的0.707倍。电压有效值用大写字母U表示。其计算公式如下:
正弦交流电电动势的有效值等于它的最大值的0.707倍。电动势有效值用大写字母E表示。其计算公式如下:
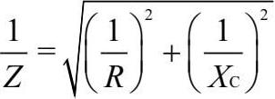
当交变电流流过具有电阻、电容、电感的电路时,电阻、电容、电感三者具有阻碍电流流过的作用,这种作用就称为阻抗,通常用英文字母Z表示。阻抗是电压有效值与电流有效值的比值。其计算公式如下:
式中 R ——电阻值,单位为欧(Ω);
X L ——感抗,单位为欧(Ω);
X C ——容抗,单位为欧(Ω);
U ——阻抗两端的电压有效值,单位为伏(V);
I ——电路中的电流有效值,单位为安(A)。
交流电通过具有电感线圈的电路时,电感有阻碍交流电通过的作用,这种阻碍作用就称为感抗,用英文字母 X L 表示。其计算公式为:
X L = ω L=2π fL
式中 L ——电感,单位为亨利,简称亨(H)。
交流电通过具有电容的电路时,电容有阻碍交流电通过的作用,这种阻碍作用称为容抗,用英文字母 X C 表示,其计算公式为:
X C =1/( ω × C )=1/(2π fC )
式中 C ——电容,单位为法拉,简称法(F)。
电阻与电感的并联电路连接方式如图2-1(a)所示。这种电路的阻抗计算方法可采用以下公式:
电阻与电容并联电路的连接方式如图2-1(b)所示。这种电路的阻抗可利用以下公式进行计算:
图2-1 电阻与电感或电容并联电路连接方式
电阻与电感串联电路连接方式如图2-2(a)所示。这种电路的阻抗可采用以下公式计算得到:
电阻与电容串联电路连接方式如图2-2(b)所示。这种电路的阻抗可采用以下公式计算得到:
图2-2 电阻与电感或电容串联电路连接方式
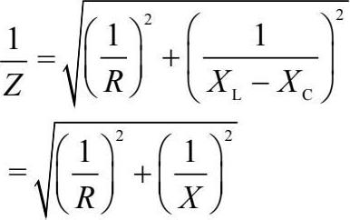
电阻与电容、电感三者并联电路的连接方式如图2-3(a)。这种电路的阻抗可采用以下公式计算得到:
式中 X ——电抗,单位为欧(Ω),其有以下关系:
X = X L - X C
当 X L > X C 时,电路呈电感性;
当 X L < X C 时,电路呈电容性。
电阻与电感、电容三者串联电路的连接方式如图2-3(b)所示。这种电路的阻抗可采用以下公式计算得到:
式中 X ——含义同上,不重述。
图2-3 电阻与电感、电容三者并联或三者串联电路连接方式
三相交流电流负载的星形(Y)连接方式如图2-4(a)所示。在三相交流电路中,三相输电线(相线)与中性线之间的电压称为相电压,通常用 U φ 符号表示。其计算公式为:
式中 U φ ——相电压,单位为伏(V);
U 1 ——线电压,单位为伏(V)。
在三相交流负载的星形(Y)连接方式电路中,每相负载中流过的电流就称为相电流,用符号 I φ 表示。其就等于线电流,即:
I φ = I 1
式中 I φ ——相电流,单位为安(A);
I 1 ——线电流,单位为安(A)。
三相交流电路负载的三角形(△)连接方式如图2-4(b)所示。在三相交流电路中,三相输电线(相线)各线之间的电压就称为线电压,用符号 U 1 表示。其计算公式为:
U 1 = U φ
式中 U 1 ——线电压,单位为伏(V)。
图2-4 三相交流电路负载的星形或三角形连接方式
在三相交流负载的三角形(△)连接方式电路中,三相输电线(相线)各线中流过的电流称为线电流,用符号 I 1 表示。其计算公式为:
功率因数的计算公式如下:
cos Φ = P / S
式中 cos Φ ——功率因数;
P ——有功功率,单位为瓦(W);
S ——视在功率,单位为伏安(VA)。
无功功率通常用英文字母 Q 表示,分为单相交流电路的无功功率和对称三相交流电路的无功功率,它们的计算公式分别为:
(1)单相交流电路
(2)对称三相交流电路
式中 Q ——无功功率,单位为乏(var);
Φ ——相电压与相电流的相位差。
有功功率通常用英文字母 P 表示,分为单相交流电路的有功功率和对称三相交流电路的有功功率。它们的计算公式分别为:
(1) 单相交流电路
P = U × I ×cos Φ
(2) 对称三相交流电路
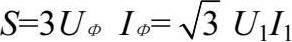
P =3 U φ × I φ ×cos Φ
=
U
1
×
I
1
×cos
Φ
式中 P ——有功功率,单位为瓦(W)。
视在功率通常用英文字母 S 表示,分为单相交流电路的视在功率和对称三相交流电路的视在功率。它们的计算公式分别为:
(1)单相交流电路
S = U × I
式中 S ——视在功率,单位为伏安(VA);
U ——交流电压有效值,单位为伏(V);
I ——交流电流有效值,单位为安(A)。
(2)对称三相交流电路
式中 U φ ——相电压,单位为伏(V);
U 1 ——线电压,单位为伏(V);
I φ ——相电流,单位为安(A);
I 1 ——线电流,单位为安(A)。