



在电路中,把两个或两个以上的电阻依次连成一串,为电流提供唯一的一条路径,没有其他分支的电路连接方式,叫做电阻串联电路。如图 1-23 所示,电阻 R 1 和 R 2 串联。
图 1-23 电阻串联电路
在实际工作中,电阻串联有以下应用。
(1)利用几个电阻串联获得较大的电阻。
(2)利用几个电阻串联构成分压器,使同一电源能提供几种不同数值的电压。
(3)当负载的额定电压小于电源电压时,可利用串联电阻的方法满足负载接入电源。
(4)利用串联电阻的方法来限制和调节电路中电流的大小。
(5)利用串联电阻的方法来扩大电压表量程。
电阻串联时,由于流过各个电阻的电流相等,因此,各个电阻两端的电压按电阻比进行分配。这就是电阻串联用于电路分压的原理。
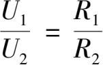
在电阻串联电路中,各个电阻两端的电压与各个电阻大小成正比,在大电阻的两端,可以得到大的电压,反之则得到的电压就小,即
电阻串联的实例很多。例如,挂在圣诞树上的电灯泡,就是把电灯泡一个接一个地串联连接起来的,如图 1 -24 所示。
电阻串联的重要作用是分压。当电源电压大于某个用电设备所需电压时,可通过电阻分压提供给用电设备最合适的电压,如扩大电压表的量程。
如图 1 -25 所示,若已知两个串联电阻的总电压 U 及电阻 R 1 , R 2 ,则
图 1 -24圣诞节电灯泡串联电路
图 1 -25两个电阻串联电路
上式通常被称为串联电路的分压公式,掌握这一公式,会非常方便地计算出串联电路中各个电阻的电压。