



前面通过几个简单的例子向大家说明了什么是数学物理,以及数学物理方程的概念和常用的推导方法,从中可以看到,对于多彩多姿的真实客观世界,我们可以想方设法地采用各种各样的偏微分方程来描述相关的物理现象。例如我们耳熟能详的传热方程可用来描述热现象,波动方程可用来描述声音传播、电磁波传播现象,Navier-Stokes(简称NS)方程可用来描述流动现象,等等。
总地来看,目前我们应用得比较广泛的数理方程,一般都是二阶偏微分方程,而且二阶偏微分方程形式,是各类更高阶偏微分方程的基本形态,因为高阶偏微分方程都可推导为某种二阶偏微分形式(在1.1.3节2中举例说明)。而在这其中的绝大多数,最终都可以演化(或退化)到(1.6)这样最基本的方程式
方程式(1.6),我们称之为二阶系数型偏微分方程。方程中的各项都具有一定的物理含义。其中:
●与时间偏导相关的两项被归类于质量项,或者称为惯性项,两个系数大小 e a 和 d a 主要用来表征因变量在时间上的惯性。
●( c ∇ u+αu+γ )表示因变量在一个体积微元中的关系式,其中系数 c 称为扩散项系数,表示因变量在微元内空间中的扩散特性。 αu 是一个对流项,其中的 α 称为守恒通量对流系数,表示在指定体积微元中变量的守恒关系。 γ 表示守恒通量源,是体积微元中的源项。
● β ·∇ u 是一个对流项,常用来描述外场对因变量的影响,其中 β 是对流系数,例如,如果定义 β 为流场的速度,这一项就表示流场对当前因变量 u 的影响。
● au 是一个吸收项,其中的 a 是吸收系数。
● f 是一个源项,表示在整个场中因变量的源(供给)或沉(消耗)。
现在我们有了最基本的二阶偏微分方程形式,知道了其中各项对应的物理意义,如果我们有目的地选择和设定恰当的系数,就可以得到我们常用的各种数学物理模型。
举个例子来说,假如因变量 u 表示温度 T , c=k 表示热传导系数、 f= 0表示无热源,其余各项为零表示无对流等外场作用,就得到了前面我们讨论过的基本热传导方程。如果再假定 d α = 1表示随时间的变化率,这个方程就变成了一个瞬态的热传导方程。如果令 β= u fluid 表示场中存在流动,就得到了一个与流体传热对应的对流传热方程。如果再加上对 f 给出一个定义,就可以在方程中引入热源/沉,例如电热耦合方程中的电磁热源项 Q joule ,如方程式(1.7)所示
再比如,设定 e α 和c为常数,其余各项为零,就得到了前面我们讨论过的波方程。假如变量 u 表示声压 p , c 和 e α 表示介质的密度 ρ 、声音的传播速率 c 等,就是一个声压波方程。如果定义其中的 γ 和 f ,就可以描述在声场中的单极 q 或偶极声源 Q ,如方程式(1.8)所示
如果大家有兴趣,不妨尝试一下,看看如何才能得到自己想要的数理方程。
1.偏微分方程组
更进一步,还可以同时定义多个方程,并定义不同方程的因变量之间相互调用的关系,得到更加复杂的方程组。这样的方程组,常常被用来描述多物理场之间的相互耦合关系,是多物理场耦合仿真的基础。
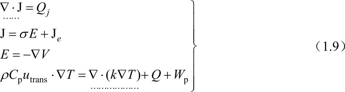
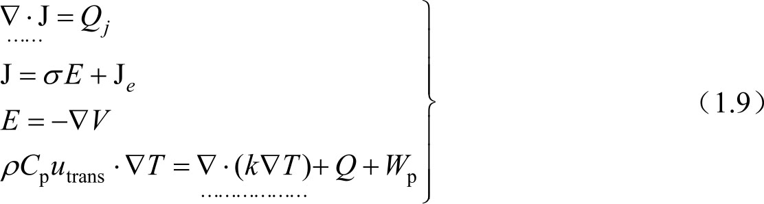
方程组(1.9)是一个典型的焦耳热方程组,用来描述电场和温度场之间的相互耦合关系
一般情况下,电场与温度场之间存在密不可分的相互作用,大家经常用的电灯、热得快、电炉等,比比皆是。在电场中,基本的物质属性会随着温度发生变化,使得电场强度发生相应的变化。由于电阻发热效应,在场中产生热源,整个场中的温度分布受到热源强弱的影响,然而这个热源的大小实际上却是随着电磁场的强弱而变化的。在分析这种物理现象时,必须同时考虑两种物理现象的相互作用,缺一不可。
在(1.9)这一组方程组中,电场方程(前三个方程)中的介电常数 σ 是随温度变化的函数,而传热方程(第四个方程)中的热源 Q 则是由前三个方程求解得到的电生热结果。通过定义这四个方程的因变量之间相互调用的关系,就得到了电-热耦合方程组。简言之,电-传热方程之间存在相互耦合,相互影响的关系。
2.高阶偏微分方程
值得一提的是,我们有时候不可避免地会遇到一些高阶偏微分方程描述的物理现象,例如四阶或六阶的相场理论方程,三阶的孤子方程等。对于这样的方程,可以向方程中引入一些中间变量,通过变量代换的方式进行降阶,从一个高阶方程降阶得到一组存在耦合关系的二阶或一阶偏微分方程组,减少高阶偏微分方程的求解难度。
例如,对于如方程式(1.10)所示的一个一维KdV方程,它常常被用来描述孤子的运动
当引入一个中间变量 v 后,就可以得到如方程组(1.11)所示的耦合方程组