购买
下载掌阅APP,畅读海量书库
立即打开
畅读海量书库
扫码下载掌阅APP

1.3 标注、注释、标记

标注、注释和标记都是在电气图上用文字符号对图形符号进行的补充说明。标注一般侧重于对电气设备的型号、编号、容量、规格等的说明;标记一般侧重于对位置进行说明;注释一般侧重于对除标注、注释之外的其他信息进行说明。

1.3.1 标注

1.标注有何作用

标注是用在电气平面图中,对电气设备的型号、编号、容量、规格等多种信息进行补充表示的文字或文字符号,标注通常标在电气项目图形符号旁边。

2.如何进行标注

由于所标注的项目内容不同,为减少标注的文字,保持电气图面清晰,满足使电气图表达符号规范化的要求,应该按照国家标准GB/T 4728.11—2008规定统一的格式进行标注。

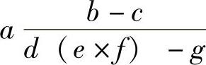
例如,照明设备的一般标注方法为

需要标注引入线的规格时,其标注方法为

其中, a 为设备编号; b 为设备型号; c 为设备功率(kW); d 为导线型号; e 为导线根数; f 为导线截面(mm 2 ); g 为导线敷设方式及部位。

1.3.2 注释

1.注释有何作用

在电气图中,如果元器件的某些信息不便于或不能完全用图形符号表达清楚时,可以采用注释的方式进行补充表示。

2.如何进行注释

注释有两种方法:一是直接放在所要说明的对象旁边;二是将注释放在图中的其他位置。当图中出现多个注释时,应把这些注释按顺序放在图样边框附近。如果是多张图样,一般性的注释可以注在第一张图上,或注在适当的张次上,而所有其他注释应标注在与它们有关的张次上。

在对象旁边进行注释时,既可以采用文字符号注释,也可以采用专门的图形符号注释。

当设备面板上有信息标志的图形符号(人机控制功能的信息标志图形符号)时,则在电路图中相关元件的图形符号旁加上同样的图形符号进行注释即可。用作注释的文字符号和图形符号一般也应采用国家标准颁布的符号。

图1-12 某控制电路局部图

例如,在图1-12所示的控制电路中,R1旁加注符号 ,是表示R1为亮度(或辉度)调节用的注释。R3旁的符号 和R4旁的符号 ,分别是表示R3为对比度调节用、R4为色彩饱和度调节用的注释。

1.3.3 标记

标记的主要目的是便于对电气图进行识别,同时使复杂而多回路、多系统的电气图能够分开绘制,便于读图。电气图的标记一般用于对接线端子、导线和回路的位置进行说明,主要有接线端子标记、连接线标记、回路标记和位置标记等。

1.如何进行接线端子标记

在电器元件中,用来连接外部导线的导电元件称为接线端子。端子可分为固定端子和可拆卸端子(固定端子图形符号为或·;可拆卸端子图形符号为 ϕ )。

国家标准GB/T 4026—2010规定了识别电气设备接线端子的各种方法,制定了用字母数字组成的系统以识别接线端子和特定导线线端的通则,使用了与各种电气设备和设备组合体的接线端子的识别标记。

(1)以字母数字符号标记接线端子

单个元件的两个端点用连续的两个数字表示。对于相同元件组,在数字前冠以字母,如标记三相交流系统的字母U1、V1、W1等;若不需要区别相别,可用数字1.1、2.1、3.1标记。

与特定导线相连的电器接线端子的标记如图1-13所示。交流系统的电源在电气图样上采用字母符号加数字的L1、L2、L3,按顺序表示电源的相序(不能用A相、B相、C相)。当电器的接线端子直接或间接地与三相供电系统的导线相连时,用字母U、V、W来标记。连接中性线、保护接地线、接地线和无噪声接地线的端子分别用字母N、PE、E和TE来标记。保护接地线和中性线共用一线(即保护接零线)时用PEN表示。连接到机壳或机架的端子(与保护接地线或接地线不是等电位时)用MM来标记,等电位的端子用CC来标记。

(2)端子代号的标注方法

电阻器、继电器、模拟和数字硬件的端子代号应标在其图形符号的轮廓外面,零件的功能和注解标注在符号轮廓线内。对用于现场连接、试验和故障查找的连接器件的每一连接点都应标注端子代号。在画有围框的功能单元或结构单元中,端子代号必须标注在围框内,以免被误解,如图1-14所示。

图1-13 接线端子的标记举例

图1-14 围框端子代号标注法

2.如何进行导线标记

图1-15所示是导线的一般表示方法,用于表示一根导线、导线组、电线、电缆、传输电路、母线、总线等。根据具体情况,导线可予以适当加粗、延长或者缩短。

1)导线根数的表示方法是,四根以下用短斜线数目代表根数;数量较多时,可用一小斜线标注数字来表示。

2)导线的特征(如导线的材料、截面积、电压、频率等),可在导线上方、下方或中断处采用符号标注。

3)连接线的分组:母线、总线、配电线束、多芯电线电缆等可视为平行连接线。对多条平行连接线,应按功能分组,不能按功能分组的,可以任意分组,每组不多于三条,组间距大于线间距离。

4)连接线标记一般置于连接线上方,也可置于连接线的中断处,必要时,还可在连接线上标出信号特性的信息。

连接线的连续表示法和中断表示法如图1-16所示,汇总线的单线表示法如图1-17所示,中断线的表示法如图1-18所示。

图1-15 导线的表示方法

图1-16 连接线的单线表示法

图1-17 汇总线的单线表示法

图1-18 中断线的表示法 Zj7NT8akCqx5YN2Ax/RS0+jn/WsQD5Xjd2gnY0/G54jO85v0ct7HZj4NBw+5PVGj

点击中间区域
呼出菜单
上一章
目录
下一章
×