



电容式传感器的工作原理是利用力学量变化使电容器中的一个参数发生变化来实现信号变换的。
根据改变电容器的参数不同,电容式传感器可分为改变极板遮盖面积的电容式传感器、改变介质介电常数的电容式传感器和改变极板间距离的电容式传感器三类。
1.角位移型
如图1-23所示的角位移型电容,其电容量为
式中, ε 0 为真空介电常数, ε 0 =8.854×10-12F/m; ε 为两极板间介质的介电常数。
显然,若旋转动板1,改变圆心角 θ ,就会使电容量发生改变。
此时,传感器灵敏度为
图1-23 角位移型电容
1—动板 2—定板
2.平面线位移型
如图1-24所示为平面线位移型电容,则其电容量为
电容量的大小随可变的覆盖长度x而线性变化,它的灵敏度为
3.圆往体线位移型
如图1-25所示为柱体线位移型电容,其电容为
当覆盖长度 x 变化时,电容量 C 发生变化。可知,它的灵敏度为
图1-24 平面线位移型电容
1—动板 2—定板
图1-25 柱体线位移型电容
1—动板 2—定板
图1-26是两种改变介质介电常数的电容式传感器的原理图。图1-26a常用来检测液位的高度;图1-26b常用来检测片状材料的厚度和介电常数。
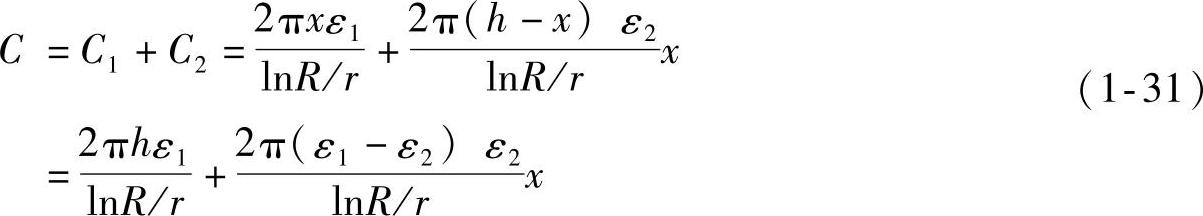
图1-26a中由圆筒1和圆柱2构成电容器两极,假定部分浸入被测量液体中(液体应不能导电,若能导电,则电极需作绝缘处理)。这样,极板间的介质由两部分组成:空气介质和液体介质。由此而形成的电容式料位传感器,由于液体介质的液面发生变化,从而导致电容器的电容量 C 也发生变化。这种方法测量的精度很高,巨不受周围环境的影响。总电容量 C 由液体介质部分电容 C 1 和空气介质部分电容量 C 2 两部分组成:
图1-26 改变介质介电常数的电容式传感器的原理图
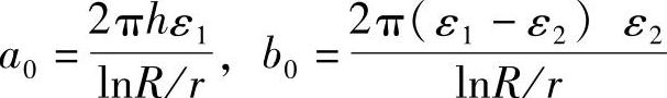
所以总电容量 C 为
式中, h 为电容器的总高度; x 为电容器浸入液体中的深度;R为同心圆电极的外半径; r 为同心圆电极的内半径; ε 1 为被测液体的介电常数; ε 2 为空气的介电常数。
当容器的尺寸和被测介质确定后,则 h 、 R 、 r 、 ε 1 和 ε 2 均为常数,令
则有
C = a 0 + b 0 x (1-32)
这说明,电容量C的大小与电容器浸入液体的深度 x 成正比。
图1-26b是在一个固定电容器的极板之间放入被测片状材料,则它的电容量为
式中, S 为电容器的遮盖面积; d 1 为被测物体上侧至电极之间的距离; d 2 为被测物体的厚度; d 3 为被测物体下侧至电极之间的距离; ε 1 为被测物体上侧至电极之间介质的介电常数; ε 2 为被测物体的介电常数; ε 3 为被测物体下侧至电极之间介质的介电常数。
由于 d 1 + d 3 = d - d 2 ,巨当 ε 1 = ε 3 时,式(1-33)还可写为
式中, d 为两极板之间的距离。
显然,在电容器极板的遮盖面积 S ,两极板之间的距离d,被测物体上下侧至电极之间介质的介电常数 ε 1 和 ε 3 确定时,电容量的大小就和被测材料的厚度 d 2 及介电常数 ε 2 有关。如被测材料介电常数 ε 2 已知,就可以测量材料的厚度 d 2 ;或者被测材料的厚度 d 2 已知,就可测量其介电常数 ε 2 。这就是电容式测厚仪和电容式介电常数测量仪的工作原理。
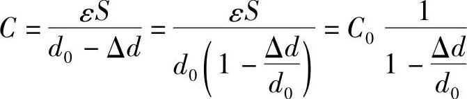
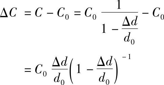
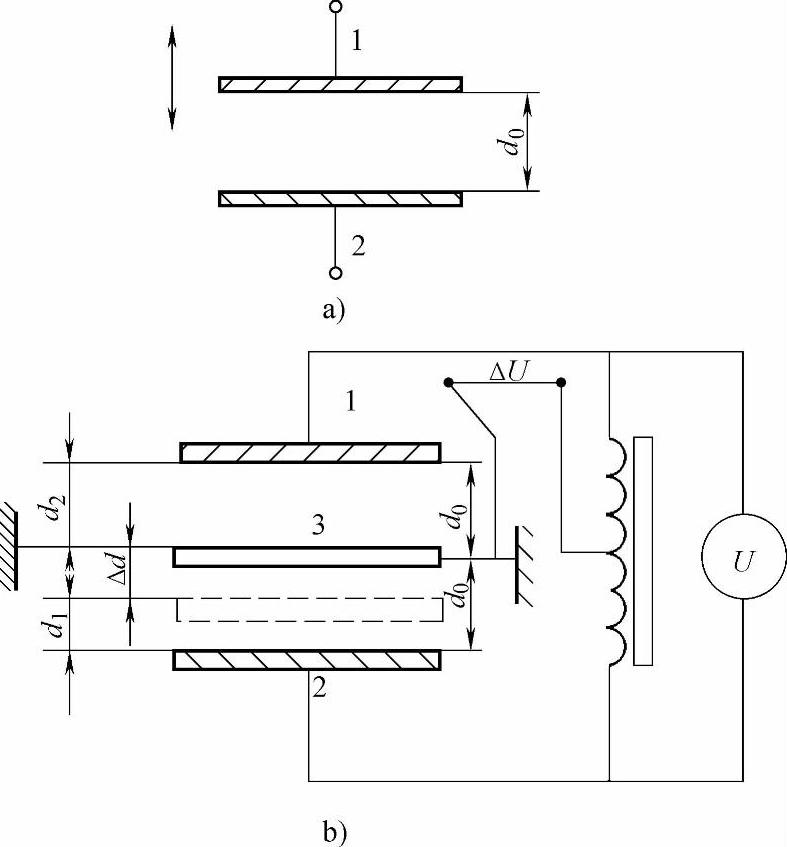
图1-27是这类传感器的原理图,图1-27a由两块极板构成,其中极板2为固定极板,极板1为与被测物体相连的活动极板,可上下移动。当极板间的遮盖面积为 S ,极板间介质的介电常数为 ε ,初始极板间距为 d 0 时,则初始电容 C 0 为
当活动极板1在被测物体的作用下向固定极板2位移Δ d 时,此时电容 C 为
电容的变化量为
当电容器的活动极板1移动极小时,即Δ d << d 0 时,上式按泰勒级数展开为
电容器电容变化量与位移Δ
d
之间表现为非线性关系,只有当
时(通常取
),可去除高次项得
这时电容器的变化量Δ C 才近似地和位移Δ d 成正比。其相对非线性误差为
图1-27 改变极板间距离的电容式传感器原理图
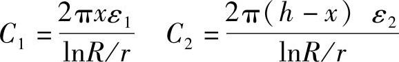
显然,这种单边活动的电容式传感器随着测量范围的增大,相应的误差也增大。在实际应用中,为了提高这类传感器的灵敏度、提高测量范围和减小非线性误差,常将其做成差动式电容器及互感器电桥组合结构,如图1-27b所示。两边是固定的电极板1和2,中间是由弹簧片支承的活动极板3。两个固定极板与互感器两端及交流电源 U 相连接,活动极板连接端子和互感器中间抽头端子为传感器的输出端,该输出端电压Δ U 随着活动极板运动而变化。