



戴维南定理指出:任何一个线性有源二端网络,对外电路来说,总可以用一个电压源与电阻的串联模型来替代。电压源的电压等于该有源二端网络的开路电压 U oc ,其电阻则等于该有源二端网络中所有电压源短路、电流源开路后的等效电阻 R eq 。
图2-27 戴维南定理
戴维南定理可用图2-27所示框图表示。图中电压源串电阻支路称戴维南等效电路,所串电阻则称为戴维南等效内阻,也称输出电阻。
(1)应用一 将复杂的有源二端网络化为最简形式
【例2.13】 用戴维南定理化简图2-28a所示电路。
解 1)求开路端电压 U oc 。在图2-28a所示电路中:
(3+6) I +9-18=0
I =1A
U oc = U a b=6 I +9=(6×1+9)V=15V
或 U oc = U ab =-3 I +18=(-3×1+18)V=15V
图2-28 例2.13图
2)求等效电阻 R eq 。将电路中的电压源短路,得无源二端网络,如图2-28b所示。可得
3)作等效电压源模型。作图时,应注意使等效电源电压的极性与原二端网络开路端电压的极性一致,电路如图2-28c所示。
(2)应用二 计算电路中某一支路的电压或电流
当计算复杂电路中某一支路的电压或电流时,采用戴维南定理比较方便。
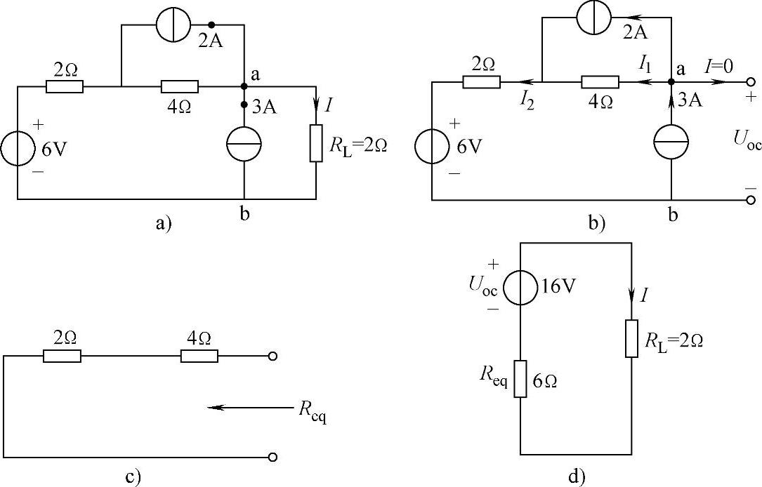
【例2.14】 用戴维南定理计算图2-28a所示电路中电阻 R L 上的电流。
解: 1)把电路分为待求支路和有源二端网络两个部分。移开待求支路,得有源二端网络,如图2-29b所示。
图2-29 例2.14图
2)求有源二端网络的开路端电压 U oc 因为此时 I =0,由图2-29b可得
I 1 =(3-2)A=1A
I 2 =(2+1)A=3A
U oc =(1×4+3×2+6)V=16V
3)求等效电阻 R eq 将有源二端网络中的电压源短路、电流源开路,可得无源二端网络,如图2-29c所示,则
R eq =2+4=6Ω
4)画出等效电压源模型 接上待求支路,电路如图2-29d所示。所求电流为
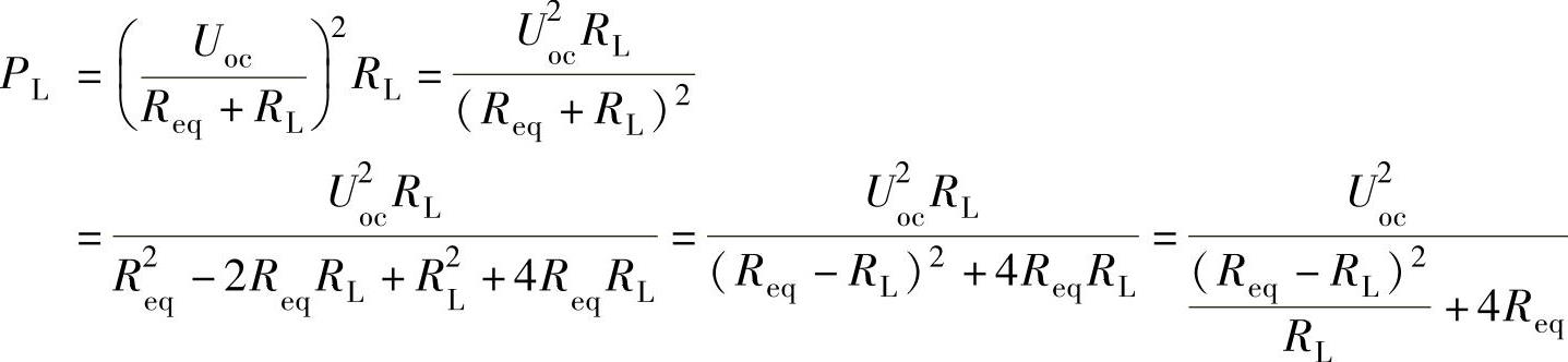
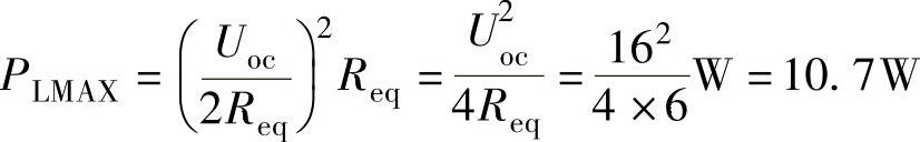
(3)应用三 分析负载获得最大功率的条件
【例2.15】 试求上题中负载电阻 R L 的功率。若 R L 为可调电阻,问 R L 何值时获得的功率最大?其最大功率是多少?由此总结出负载获得最大功率的条件。
解: 1)利用例2.14的计算结果可得:
P L = I 2 R L =2 2 ×2W=8W
2)若负载 R L 是可变电阻,由图2-29d,可得
则 R L 从网络中所获得的功率
由上式可知,当 R L = R eq 时,功率 P 1 达到最大值。
最大值为:
综上所述,负载获得最大功率的条件是负载电阻等于等效电源的内阻,即 R L = R eq 。电路的这种工作状态称为电阻匹配。