



1.工作原理概述
电饭煲,又称作电锅、电饭锅,是利用电能转变为内能的炊具,使用方便、清洁卫生,还具有对食品进行蒸、煮、炖、煨等多种操作功能。常见的电饭锅分为保温自动式、定时保温式以及新型的微电脑控制式三类。现在已经成为日常家用电器,电饭煲的发明缩减了很多家庭花费在煮饭上的时间。图2-4所示为某微电脑控制式电饭煲外观示意。
图2-4 微电脑控制式电饭煲外观示意
图2-5所示是一种双层自动保温式电饭锅的结构图,主要由锅盖、外壳、内胆、开关、发热板和温度控制装置组成。下面介绍它的主要部件:
1)内胆系采用纯铝板拉伸成型,底部加工呈球面状,使之与发热板很好吻合,以提高热效率。胆的内壁上有刻度,可指示出放米量和放水量。内胆的边向外翻口,既可增加强度,又可使溢出的饭水流到壳外,以防损坏内部电器零件。
2)外壳是用冷轧薄钢板拉伸成型,外面喷涂装饰性漆层。外壳与内胆之间有一层空气间隔,起保温作用,同时可以安装开关、发热板和温度控制装置。
3)有的锅盖中央部位嵌有一块玻璃,能观察烹饪情况;有的装有压紧锅盖用的手柄,兼具便携作用。
4)发热板是将环形金属管状电热元件铸造在铝合金体中,再经加工而成,它具有较好的热传导性能和较大的机械强度,板面形状要求与锅底相吻合,在其中心处装有磁性温度控制元件。
5)电饭锅之所以能够自动断电和保温,是因为它内部装有磁钢限温器和热双金属片恒温器两个自动装置。
图2-5 双层自动保温式电饭锅的结构图
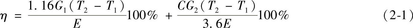
2.电饭煲的热效率
对于电饭煲来说,其热效率一般定义为,在按要求规定的工作条件下,在规定时间内试验用水所获得的热量与该段时间所消耗电能(量)的当量之比。
电饭锅热效率的试验方法如下:
测试时,初始水温应与环境温度一致,用称重法向内锅加水,达内锅额定容积的80%,测量初始水温 T 1 ,将热电偶穿过锅盖,应不影响电饭锅的正常煮饭状态,设法将热电偶测温点固定在内锅距底部中心点10mm处,然后按规定通电,并用电能表测量电饭锅的耗电能(量)。当内锅水温升到95℃时,立即切断电源,读取耗电能(量)。断电后,由于发热板的热容量及滞后原因,内锅水温在断电后还会上升,观察水温升高到下降为止,读取内锅中水温最高温度值 T 2 。按公式(2-1)计算热效率:
式中 η ——热效率(%),准确到0.1%;
G 1 ——试验前水量(kg);
T 1 ——试验前初始水温(℃);
T 2 ——试验后最高水温(℃);
C ——内锅材料的比热(kJ/kg·K);
G 2 ——内锅质量(kg);
E ——耗电能(量)(Wh)。
3.电饭煲的节能小窍门
电饭煲节能的小窍门主要有以下几种:
1)要充分利用发热板的余热。当电饭锅中的米饭汤沸腾时,可关闭电源开关8~10min,充分利用发热板的余热后再通电。当电饭锅的红灯灭、黄灯亮时,表示锅中米饭已熟,这时可关闭电源开关,利用发热板的余热保温10min左右。
2)避免用电高峰。同样功率的电饭锅,当电压低于其额定值10%时,则需延长用电时间12%左右,用电高峰时最好别用或者少用。
3)内锅底与发热板、内锅及锅盖均应保持最佳接触。若内锅变形,即内凹或外凸,均会影响内锅底部的良好接触,应及时矫正才好。
4)在日常使用完电饭煲后,最好放在桌面上保存,防止灰尘进入电饭煲的底部,也不要把电饭煲放在厨房或者容易被水喷溅到的地方,以免影响电饭煲的使用安全。使用过程中还应该保证,电饭煲内胆和发热板之间的清洁,避免出现水点、饭粒等杂物,这样会影响煮饭的效果,严重时有烧坏元器件的可能。
5)在购买了较大功率的电饭煲后,一定不要让它和其他电器共用一个组合插座,这样会导致插座容量不够,使电源线温度过高,发生危险。电饭煲在使用后,一定要记得把插头从插座上拔下来,通常情况下电饭煲都拥有自动保温功能,插上电源后,即使没有在煮饭状态下,电饭锅也会处在保温状态,造成对电能的浪费。
6)做米饭时最好将米淘净在清水中浸泡15min左右,然后再下锅,这样可以大大缩短煮饭的时间,且煮出的米饭特别香。假若缩短的时间为10min,以一个700W的电饭煲计算,一天煮三顿饭可节省电量0.35kW·h。
7)保持内锅外锅清洁。电饭锅使用过久而又不及时清洁的话,会使内锅底部与外表面聚一层氧化物,应把它浸在水中,用较粗糙的布擦拭,直到露出金属本色光泽为止。
8)功率大的电饭煲,省时又省电。煮1kg的饭,500W的电饭煲需30min,耗电0.27kW·h;而用700W电饭煲约需20min,耗电共0.23kW·h。同时在电饭煲用完后,一定要拔下电源插头,不然锅内温度下降到70℃以下时,它会断断续续地自动通电,比较费电。据了解,保温的是小功率约15W左右,饭熟后电饭煲每多开一小时将耗电0.015 kW·h。