



在工控技术中,常常要进行不同数制之间的转换,下面仅介绍最常用的二进制、十进制、十六进制数制之间的转换。
二进制、十六进制数转换成十进制数前面已经有初步的讲解。
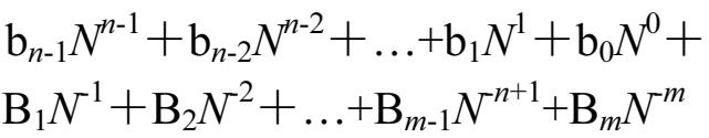
一般地说,一个 N 进制数有 n 位整数部分和 m 位小数部分,则其转换为十进制数的公式是:
    十进制值=
     
   
【 例 1.1-1 】试把二进制数B11011 转换成等值的十进制数。
解: B11011 = 1×2 4 +1×2 3 +0×2 2 +1×2 1 +1×2 0 = K27
从中可以看出,b i 为 0 的位,其值也位 0,可以不用加,这样把一个二进制数转换为十进制数只要把位码为 1 的权值相加即可。
【 例 1.1-2 】试把十六进制数H3E8 转换成十进制数。
解: H3E8 = 3×16 2 +14×16 1 +8×16 0 =K1000
其转换过程和二进制完全一样。
【 例 1.1-3 】 试把二进制数B101.101 转换成十进制数。
解: B101.101 = 1×2 2 +1×2 0 +1×2 -1 +1×2 -3 = K5.625
【 例 1.1-4 】 试把十六进制数H28.3F转换成十进制数。
解: H28.3F = 2×16 1 +8×16 0 +3×16 -1 +15×16 -2
= 32+8+0.1875+0.05859375= K40.2409375
当小数进行转换时,会发生位值出现商的位数太多的情况,这时可根据实际需要近似处理。
十进制数转换成二进制,十六进制数远比二进制,十六进制数转换成十进制数复杂,其整数部分和小数部分要分开处理。
转换的方法有两种,分别给予介绍。
整数部分:除 N 取余,逆序排列;
小数部分:乘 N 取整,顺序排列。
【 例 1.1-5 】 试把十进制数K200.13 转换成二进制数。
解: 整数部分: 200÷2 = 100……0
 
   
    小数部分:
     
   
则K200.13≈B11001000.001
小数部分按原则应取乘后为 1.00 为止,但这样二进制数太长了,只能取近似数。
【 例 1.1-6 】 试把十进制数K1435.85 转换成十六进制数
    
     解:
    
    整数部分:
     
   
    小数部分:
     
   
则K1435.85≈H59B.D99
辗转除 N 法,在碰到较大整数时,要除多很多次才能给出答案。这就产生了辗转除权法。
辗转除权法,首先要有一张位权表,如表 1.1-5。然后,将数与表中位权相比,找到一个位权比数稍大的位,则从下一位开始辗转除权,取商留余。
表 1.1-5 二进制位权表
 
   【 例 1.1-7 】 试把十进制数K3695 转换成二进制数。
解: 将K3695 与表中位权相比,K4096 比K3695 稍大,故从b 11 位开始辗转除以位权值,取商留余。
 
   【 例 1.1-8 】 试把十进制数K10000 转换成十六进制数。
解: 十六进制位权表如表 1.1-6。与位权相比,K10000 比K4096 稍大,从b 4 位开始辗转相除位权值。
表 1.1-6 十六进制位权表
 
    
   这种方法仅对整数转换比较方便,对小数来说,由于小数的位权值位数太多,很不方便,所以如果小数转换仍然采用乘 N 取整法。
上面介绍的都是用人工转换的。实际应用时,整数的转换比较多,完全可以采用windows软件中的“附件/计数器”工具自动进行二进制,十进制,十六进制之间的互换;它只能进行正整数转换,不能进行负整数的转换,也不能进行小数的转换。
二进制,十六进制转换比较简单,一位十六进制数和 4 位二进制数正好有一一对应关系,因此只要按表对应即可。二-十六进制数对应表见表 1.1-7。
表 1.1-7 二-十六进制数对应表
 
   【 例 1.1-9 】 试把二进制数B 11010110111.000111 转换成十六进制数。
解: 二进制数转换成十六进制数的方法是:四位并一位,整数部分高位补 0,小数部分低位补 0,按表写数。
 
   【 例 1.1-10 】 试把十六进制数H 3F5D.4A转换成二进制数
解: 十六进制数转换成二进制数的方法是:一位变四位,按数写码。
 
   
     【试试,你行的】
    【试试,你行的】
   
(1)将下面二进制数分别转换成十进制数和十六进制数。
(1)B1011001(2)B0.101011 (3)B1011.0101
(2)将下面十进制数分别转换成二进制数和十六进制数。
(1)K235(2)K0.625(3)K16.34357
(3)将下面十六进制数分别转换成二进制数和十进制数。
(1)H4E5(2)H0.8(3)H2A.3
(4)将下面八进制数分别转换成二进制、十进制和十六进制数。
(1)(35) 8 (2)(0.26) 8