



1981年的诺贝尔医学奖颁发给了David Hubel、TorstenWiesel和Roger Sperry。David Hubel是一个出生在加拿大的美国神经生物学家,他和TorstenWiesel的主要贡献是“发现了视觉系统的信息处理”,即可视皮层是分级的 [1] ,如图2-1所示。
图2-1 人脑可视皮层分级
1958年,DavidHubel和Torsten Wiesel在JohnHopkins University,研究瞳孔区域与大脑皮层神经元的对应关系。他们在猫的后脑头骨上,开了一个3毫米的小洞,向洞里插入电极,测量神经元的活跃程度。
然后,他们在小猫的眼前,展现各种形状、各种亮度的物体。并且,在展现每一件物体时,还改变物体放置的位置和角度。他们期望通过这个办法,让小猫瞳孔感受不同类型、不同强度的刺激。
之所以做这个试验,目的是证明一个猜测。位于后脑皮层的不同视觉神经元,与瞳孔所受刺激之间,存在某种对应关系。一旦瞳孔受到某一种刺激,后脑皮层的某一部分神经元就会活跃。经历了很多天反复的枯燥的试验,同时牺牲了若干只可怜的小猫,David Hubel和Torsten Wiesel发现了一种被称为“方向选择性细胞(Orientation Selective Cell)”的神经元细胞。当瞳孔发现了眼前的物体的边缘,而且这个边缘指向某个方向时,这种神经元细胞就会活跃。
这个发现激发了人们对于神经系统的进一步思考。神经-中枢-大脑的工作过程,或许是一个不断迭代、不断抽象的过程。这里的关键词有两个:一个是抽象,一个是迭代。从原始信号,做低级抽象,逐渐向高级抽象迭代。
人类的逻辑思维,经常使用高度抽象的概念。例如,从原始信号摄入开始(瞳孔摄入像素Pixels),接着做初步处理(大脑皮层某些细胞发现边缘和方向),然后抽象(大脑判定眼前的物体的形状是圆形的),然后进一步抽象(大脑进一步判定该物体是个气球)。
图2-2 人脑视觉机制
这个生理学的发现,促成了计算机人工智能在40年后的突破性发展。总的来说,人的视觉系统的信息处理是分级的。从低级的V1区提取边缘特征,再到V2区的形状或者目标的部分内容,再到更高层,形成整个目标和目标的行为,如图2-2所示。也就是说高层的特征是低层特征的组合,从低层到高层的特征表示越来越抽象,越来越能表现语义或者意图。而抽象层面越高,存在的可能猜测就越少,就越利于分类。例如,单词集合和句子的对应是多对一的,句子和语义的对应又是多对一的,语义和意图的对应还是多对一的,这是一个层级体系。
生物神经元的结构如图2-3所示,包括以下部分。
(1)细胞体:细胞核、细胞质和细胞膜。
(2)树突:胞体短而多分枝的突起。相当于神经元的输入端。
(3)轴突:胞体上最长枝的突起,也称神经纤维。端部有很多神经末梢传出神经冲动。
(4)突触:神经元间的连接接口,每个神经元约有1万~10万个突触。神经元通过其轴突的神经末梢,经突触与另一个神经元的树突连接,实现信息的传递。由于突触的信息传递特性是可变的,形成了神经元间连接的柔性,称为结构的可塑性。
(5)细胞膜电位:神经细胞在受到电、化学、机械的刺激后,能产生兴奋与抑制。
图2-3 生物神经元结构
生物神经元功能如下。
(1)兴奋与抑制:当传入神经元冲动,经整合使细胞膜电位长高,超过动作电位的阈值时,为兴奋状态,产生神经冲动,由轴突经神经末梢传出。当传入神经元的冲动,经整合,使细胞膜电位降低,低于阈值时,为抑制状态,不产生神经冲动。
(2)学习与遗忘:由于神经元结构的可塑性,突触的传递作用可增强与减弱,因此,神经元具有学习与遗忘的功能。
人工神经网络是在现代神经科学的基础上提出和发展起来的,旨在反映人脑结构及功能的一种抽象数学模型。自1943年美国心理学家W. McCulloch和数学家W.A Pitts提出形式神经元的抽象数学模型——MP模型以来 [2] ,人工神经网络理论技术经过了50多年的曲折发展。特别是20世纪80年代,人工神经网络的研究取得了重大进展,有关的理论和方法已经发展成一门界于物理学、数学、计算机科学和神经生物学之间的交叉学科。它在模式识别、图像处理、智能控制、组合优化、金融预测与管理、通信、机器人及专家系统等领域得到广泛的应用,有40多种神经网络模型被提出,其中比较著名的有感知机 [3] 、Hopfield网络 [4] 、Boltzman机 [5] 、自适应共振理论 [6] 及反向传播网络(BP) [7] 等。
1.人工神经元模型
图2-4显示了作为人工神经网络(Artificial Neural Network)的基本单元的神经元模型,它有三个基本要素。
图2-4 人工神经元结构
(1)一组连接(对应生物神经元的突触),连接强度由各连接上的权值表示,权值为正表示激活,为负表示抑制。
(2)一个求和单元,用于求取各输入信号的加权和(线性组合)。
(3)一个非线性激活函数,起非线性映射作用并将神经元输出幅度限制在一定范围内(一般限值在[0,1]或[-1,1]之间)。
(4)阈值 θ k (或偏置 b k =- θ k )。
以上作用可分别以数据公式表达出来:
式中 x 1 , x 2 ,…, x p 为输入信号, w k 1 , w k 2 ,…, w kp 为神经元 k 之权值, u k 为线性组合结果, θ k 为阈值, ϕ (•)为激活函数, y k 为神经元 k 的输出。
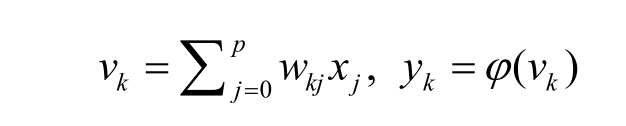
若把输入的维数增加一维,则可把阈值 θ k 包括进去。例如:
此处增加了一个新的连接,其输入为 x 0 = -1(或+1),权值为 w k 0 = θ k (或 b k ),如图2-5所示。
图2-5 人工神经元数学表达
2.激活函数
激活函数 ϕ (•)有以下几种。
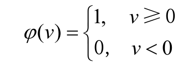
(1)阈值函数
即阶梯函数。这时相应的输出 y k 为
其中
,常称此种神经元为M-P模型。
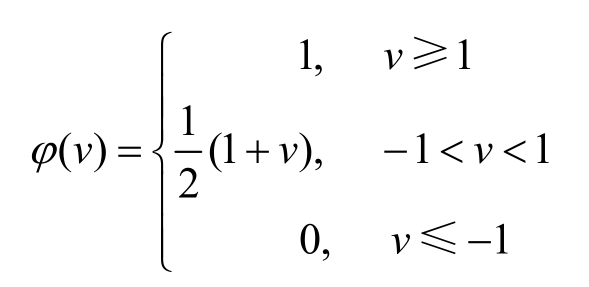
(2)分段线性函数
它类似于一个放大系数为1的非线性放大器,当工作于线性区时它是一个线性组合器,放大系数趋于无穷大时它变成一个阈值单元。
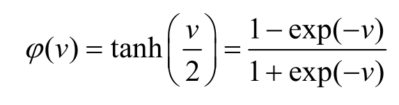
(3)sigmoid函数
最常用的函数形式为
参数 α >0可控制其斜率。另一种常用的是双曲正切函数。
这类函数具有平滑和渐近性,并保持单调性。