



尽管从卫星轨道力学方法这一角度来看,显然应该着重讨论椭圆轨道及其变化规律,但考虑到卫星轨道过渡等问题中,有可能涉及抛物线和双曲线轨道,特别是双曲线轨道。因此,作为二体问题,对这两种轨道作一简单介绍也是有必要的。此时已不是环绕型的探测器(卫星),不妨就泛称其为航天器。
此时,e=1,a→∞,故面积积分式(2.19)和轨道积分式(2.17)变为
该抛物线的焦点仍是地球质心,p是半通径,q是近地距。仍定义f为真近点角,有
那么式(2.138)和式(2.139)即可分别写成下列形式,即
将式(2.142)代入式(2.141),积分得
其中,τ是最后一个积分常数,与椭圆运动类似,它也是航天器过近地点的时刻。因此,抛物线轨道根数由于e=1只剩下5个,即 i,Ω,q,ω,τ。
此时e>1,相应的面积积分式(2.19)和轨道方程式(2.17)变为
其中
这里的p也为半通径,p和a的几何意义如图2.4所示,f是真近点角,ω是近地点角距,
图2.4 卫星s相对地球质心(焦点O)的双曲线轨道
而相应的近星距为
活力公式(2.21)在这里变为
类似于对椭圆运动的积分方法,由式(2.149)利用式(2.144)消除
得
引进辅助变量E,有
代入式(2.150),积分得
其中τ为第六个积分常数,也是过近星点的时刻。虽然这里引进的E与椭圆运动中的偏近点角E意义不同,但上述f,E和M之间的几何关系与椭圆运动中的相应关系类似,即
由轨道方程式(2.147)不难看出,1+ ecos f =0,r→∞,由此可知
式(2.153)类似椭圆运动中的Kepler方程,但由于e>1,不能用简单迭代法求解,但用牛顿迭代法,也容易由给定的e,M求出E。若取初值
,则改正公式为
一般情况下,迭代过程中式(2.157)的改正部分只要取到ΔE的一次项,即
。为此,下面给出一算例。
由e=1.5,
,求E值。经计算,取
,相应的改正过程为
E ( 4) 对应的e shE-E=0.785398163,与M值在9位有效数字上完全相同。当然,还可充分利用计算机的条件,采用更快速的迭代算法,这里只是举一个简单的算例供读者参考。
2.6.3 位置矢量和速度矢量的计算公式
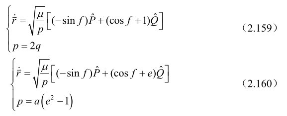
对于上述两种轨道,航天器的位置矢量
的表达式与椭圆轨道相同,即
其中
和
即近地点方向和半通径方向的单位矢量,它们的表达式与椭圆运动中的形式相同,见式(2.43)和式(2.44)两式。
关于速度矢量
的表达式,两种轨道稍有不同,对于抛物线轨道和双曲线轨道分别为