购买
下载掌阅APP,畅读海量书库
立即打开
畅读海量书库
扫码下载掌阅APP

1.4 月球坐标系统 [13]

就月球卫星(环绕型探测器)的运动而言,将涉及三类月心坐标系,即月固坐标系、月心赤道球坐标系和月心黄道坐标系。

1.4.1 三个月心坐标系的定义

与地球赤道面在空间的摆动类似,月球赤道面也有此摆动现象,即物理天平动,它同样引起月心赤道坐标系的各种不同定义,这将涉及环月卫星运动的轨道确定和星下点(卫星与月心连线在月球表面的交点)位置的确定。

1.月固坐标系O XYZ-

坐标原点O是月心,而Z轴方向是月球的自转轴方向,XY坐标面即过月心并与自转轴方向垂直的月球赤道面,X轴指向月球上的“格林尼治”子午线方向,基本平面(XY坐标面)与过月面上Sinus Medii子午面的交线方向,即月球赤道面上那一指向地球的惯性主轴方向。显然,在这种坐标系中,相应的月球引力位也是确定的。各种月球引力场模型及其参考椭球体也都是在这种坐标系中给定的,它们同样是一个自洽系统。

2.月心赤道坐标系O-xyz

此类坐标系又有两种定义。其一是历元(J2000.0)月心天球坐标系,该坐标系的原点O同样是月心,但xy坐标面却是历元(J2000.0)时刻的地球平赤道面,x轴方向是该历元的平春分点γ方向。这一坐标系的选择在深空探测中便于将地球坐标系与探测目标天体坐标系相联系,详见第1.5节的内容。

另一种定义与历元(J2000.0)地心天球坐标系类似,该坐标系的xy坐标面就是历元(J2000.0)时刻的月球平赤道面,x轴方向是该赤道面上的平春分点γ方向,这一方向是由月球绕地运行轨道升交点的平黄经Ω m 确定的,如图 1.2 所示。与处理地球卫星轨道问题类似,这是处理环月探测器轨道问题中必须采用的坐标系,但为了区别上述J2000.0月心天球坐标系,称其为历元(J2000.0)月心平赤道坐标系,或简称J2000.0月心赤道坐标系。与地心天球坐标系类似,也是一个在一定意义下(消除了坐标轴因月球赤道面摆动引起的转动)的月心“不变”坐标系,它可以在同一个坐标系中来表达不同时刻的探测器轨道,同样,在该坐标系中,月球非球形引力位也是变化的。

3.月心黄道坐标系O-x´y´z´

该坐标系的原点O是月心,和地心黄道坐标系只是一个平移关系。x´y´坐标面是历元时刻的黄道面,x´轴方向与上述天球坐标系O-xyz的指向一致,即该历元的平春分点方向。

1.4.2 月球物理天平动

1.两种物理天平动的表达形式

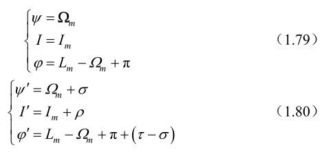
月球的物理天平动同样是一个复杂的定点转动问题。与地球自转的岁差章动类似,多年来的研究,曾先后给出过多种有关物理天平动的理论,几乎都以物理天平动的经度分量、倾角分量和节点分量(τ,ρ,σ)的分析解来表达,这三个量就将月球的平赤道与真赤道以分析形式相联系。

对于平赤道,根据Cassini定律,月球轨道,黄道与月球平赤道交于一点 。由于天平动的原因,月球真赤道将通过(τ,ρ,σ)三个量在空间与平赤道联系起来,如图1.2所示。图中各量的关系为

其中I m ,Ω m ,L m 分别为月球平黄赤交角、轨道升交点平黄经和月球平黄经。

美国喷气推进实验室(JPL)的数值历表(如DE405)却以另一种形式表达了月球物理天平动,它是直接给出另三个欧拉角(Ω´,i s ,Λ)的每天具体数值(见图1.3),可用于计算月球卫星在月固坐标系中的精确位置。

上述两种物理天平动的表达形式(分析形式和数值形式),可通过图 1.3 来表明它们之间的关系。图中x b 是月固坐标系的x轴指向,即图1.2 中的ξ´方向。三个欧拉角(Ω´,i s ,Λ)在图1.3中已表明清楚,不再加以说明,ε是地球的平黄赤交角

图1.2 月球真赤道与月球平赤道之间的关系

根据月球自转理论,给出的天平动三个参数(τ,ρ,σ)的分析表达式,类似于地球的章动序列,也包含几百项,最大的周期项振幅超过100角秒(100´´),但没有地球赤道面摆动中的长周期项(周期近26000年的岁差项)。月球自转理论越来越精确,给出的分析表达式与 DE405 高精度数值历表也越来越接近,相差不到1´´。但若精度要求高,分析表达式取项太多,不便应用,而数值历表似乎简捷易用,但它不便于对某些问题的分析。下面将分别作一比较,从而可以表明,在不同问题中可采用不同的表达形式,分析解(τ,ρ,σ)或数值历表(Ω´,i s ,Λ)。通过比较证实,在涉及弧段不太长(1~2 天或更长些)的情况下,探测器定轨或预报,无论是采用数值法还是分析法,涉及物理天平动问题,均可采用下一小节给出的Eckhardt分析解的前四项简化表达式(1.82)。

图1.3 月心坐标系与物理天平动示意图

2.两种物理天平动表达形式的比较

下面首先列出分析表达式(τ,ρ,σ)的前几项,作为与数值历表(Ω´,i s ,Λ)的比对依据。

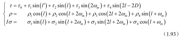
选择精度较高的Eckhardt结果的前四项 [14] ,即

式(1.81)中的τ包含了自由项214´´.170,I=1°.542461=5552´´.86即月球的平黄赤交角。l,l´,F和D各为月球的平近点角、太阳的平近点角、月球的平升交点角距(F=l+ω m ,ω m 是月球轨道的近地点幅角)和日月平角距,它们的计算公式为

其中角度F和D在前面地球坐标系涉及的计算公式中出现过,见式(1.52)和式(1.53)。

下面将采用(τ,ρ,σ)的分析表达式(1.813)和式(1.82)与DE405数值历表值(Ω´,i s ,Λ)通过坐标转换来进行比较,(Ω´,i s ,Λ)涉及月心天球坐标系O-x e y e z e 这里所说的月心天球坐标系中,x e y e 坐标面即前面定义的J2000地球平赤道面,为了区别起见,在该坐标系中的坐标矢量记作 。月固坐标系O-XYZ(图1.2中的 O-ξ´η´ζ´)中相应的坐标矢量记作 。对这两种坐标系,分别采用上述两种天平动表达形式(数值和分析)建立坐标转换关系,有

其中两个转换关系分别表达为

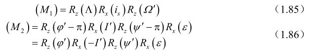
式(1.86)第一行是按图 1.3 给出的,而第二行是按图 1.2 给出的,两者实为同一种转换关系。上述式(1.85)和式(1.86)式分别给出的两种转换矩阵之间的差别取决于(τ,ρ,σ)的取项多少,分别计算2003年11月1日0时,2004年6月15日0时和2008年1月1日0时月球表面一点的空间坐标转换到月固坐标系中的位置,结果表明,两种转换之差为公里级,相应的转换矩阵元素的最大差别达到10 -3 。因此,具体采用哪一种转换关系应根据不同问题的具体要求而选择。

根据上述比较可知,直接采用分析解的简化表达式,在某些问题中是不能满足精度要求的。但在考虑物理天平动对环月探测器轨道的影响时,在一定精度要求的前提下,则无妨,因为它是通过非球形引力位(最大的J 2 项仅为10 -4 的量级)来体现的。定轨或预报中涉及轨道外推弧段为1 2 0 时(对低轨探测器为1~2天的间隔),要保证10米级甚至米级精度,采用Eckhardt的前四项表达形式,式(1.81)是可以达到的。

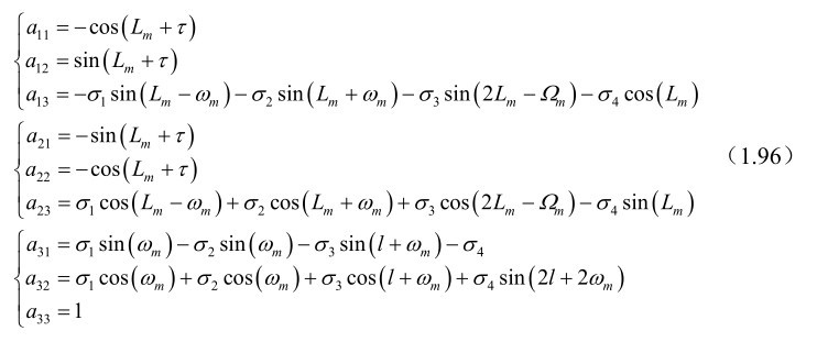
鉴于上述比较结果,建立月球卫星轨道理论提供轨道变化规律,或直接反映月球卫星相对月心坐标系的几何状况,又必须采用月心赤道坐标系,而不是月心地球赤道坐标系(前面定义的J2000月心天球坐标系),那么采用(τ,ρ,σ)的分析表达式来建立历元月心平赤道坐标系O-xyz与月固坐标系(对应真赤道)O-ξ´η´ζ´之间的关系,显然是可取的。而若要通过历元月心平赤道坐标系O-xyz与月心天球坐标系O-x e y e z e 之间的转换关系(利用高精度的Ω´,,i s ,Λ值)来计算月球卫星在月固坐标系中的精确位置 也很简单,有

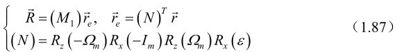
是通过定轨或预报给出的月心平赤道坐标系中的月球卫星位置矢量。这里变换矩阵(N)并不涉及物理天平动的表达形式,转换的精度只取决于月球卫星定轨或预报的精度。

1.4.3 三个月心坐标系之间的转换关系

1.月固坐标系O-XYZ与月心赤道坐标系O-xyz之间的转换

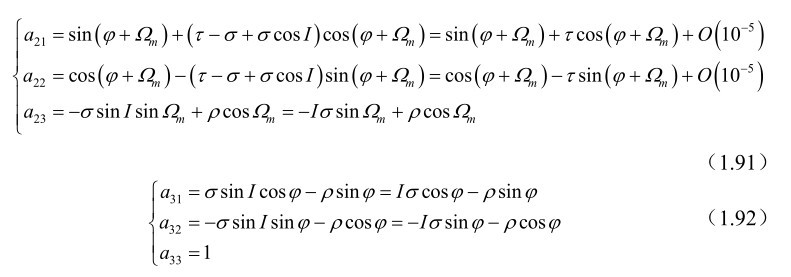
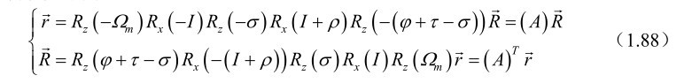
对于月球卫星的运动,要构造相应的轨道分析解,就不必像对待人造地球卫星那样,为了避免岁差章动的影响,引进混合形式的轨道坐标系 [13-15] ,完全可以在历元月心平赤道坐标系中考虑问题。该坐标系的xy坐标面即采用历元(如J 2000.0)平赤道,x轴方向采用相应的平春分点方向,该方向可由月球轨道升交点的平黄经Ω m 来确定。在分析法定轨和数值法定轨,以及预报中均采用这种统一坐标系,只需要将相应的由物理天平动引起的坐标系附加摄动给出即可,而这种附加摄动并不复杂,作者已经具体给出 [16] 。为此,首先要建立历元月心赤道坐标系与月固坐标系之间的转换关系。

分别记月心赤道坐标系(历元月心平赤道坐标系)O-xyz和月固坐标系(对应真赤道)O-ξ´η´ζ´中月球卫星的坐标矢量为 ,两者之间的转换关系为

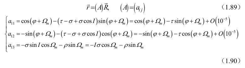
其中R z (-Ω m ),R x (-I),R z (-σ),R x (I+ρ),R z (-(ψ+τ-σ))是正交矩阵。在建立月球卫星轨道解时,涉及坐标系附加摄动问题,需要给出上述转换关系的具体表达形式。略去推导过程,且仅保留τ,σ,ρ的一阶量,可得

若记式(1.81)为

且取合理近似为

并利用式(1.95)近似,即

可进一步将矩阵(A)中的元素a ij 简化为

2.月心天球标系与地心天球坐标系之间的转换

由于目前对月球探测器的测控都是由地面测控站来完成的,这就涉及历元地心天球坐标系,同时出现了历元地心天球坐标系、历元月心天球坐标系和历元月心赤道坐标系。它们之间的转换,会涉及月球的地心坐标,这同样可由两种途径获得,一种是高精度的数值历表(如JPL历表),另一种是精度较低的简易分析历表,或精度稍高一些的半分析历表。

下面列出月球平均轨道根数的一种近似计算公式,引自本章参考文献[15],如需更高精度的分析公式,可查阅参考文献[16]。在 J2000.0 地心黄道坐标系中的计算公式为

式(1.97)中出现的T和d分别为由标准历元 J2000.0起算的世纪数和儒略日,定义在前面已介绍过,不再重复。对于月球,由于其轨道摄动变化较大,最大的周期项振幅可达2×10 2 ,下面给出考虑了主要周期项、位置精度 可达10 3 的半径分析计算方法。

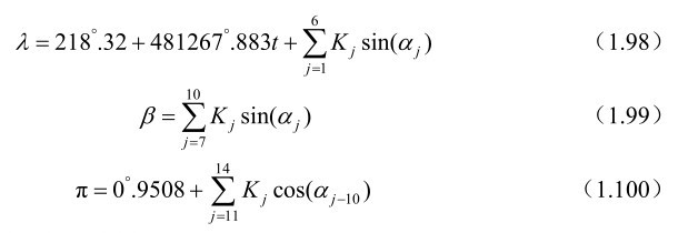
首先计算月球的地心黄道坐标(λ,β,π),公式为

其中系数K j 和幅角α j 分别为

由上述(λ,β,π)计算月球的地心赤道坐标 ,则

这是瞬时平赤道坐标系中的位置矢量。相应的历元J2000.0地心平赤道坐标系中的位置矢量 需经岁差改正,有

上述各式中出现的t=[JD(t)-JD(J 2000.0)]/36525.0,与式(1.97)中出现的T意义相同。 iXMdhv/Eq7Wy3I0vnJqmX1GlIKm0KWVaCeFfjChTIb7mkcFxcwNnBq77rnYybzii

点击中间区域
呼出菜单
上一章
目录
下一章
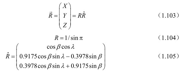
×