



根据式(3.34)表达的Jacobi积分,有
可给出5个平动点L i (i=1,2,…,5)对应的C i (μ)值。在L i 处,有v 2 =0(这是会合坐标系中的速度),因此,给出平动点对应的C值为
其中
。对L
1
,L
2
,L
3
有
对L 4 和L 5 有
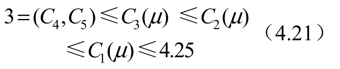
图4.2 Jacobi常数随μ值的变化
由式(4.19)、式(4.20)和x i (μ)与μ值的关系可知,5 个平动点处对应的 Jacobi 积分常数值C i (μ)的关系为
它们各自随μ值的变化如图4.2所示。
太阳—行星系统和地—月系统对应的圆型限制性三体问题,三个共线平动点的位置x i (μ)及其相应的 Jacobi 常数C i (μ),如表 4.1和表4.2所示。
表4.1 共线平动点的位置x i (μ)
表4.2 共线平动点对应的Jacobi常数C i (μ)
由于共线平动点L 1 与L 2 的位置排列顺序与文献[1]中的相应顺序互换,表 4.1和表4.2中相应的数据排列也同样互换。另外,所用的有关各大行星和月球的基本数据μ和目前给出的数值会有微小差别,但并没有任何实质性的影响。如有需要,可直接根据4.1节和4.2节给出的方法,利用新的数据进行计算,但结果不会有任何明显差别。