



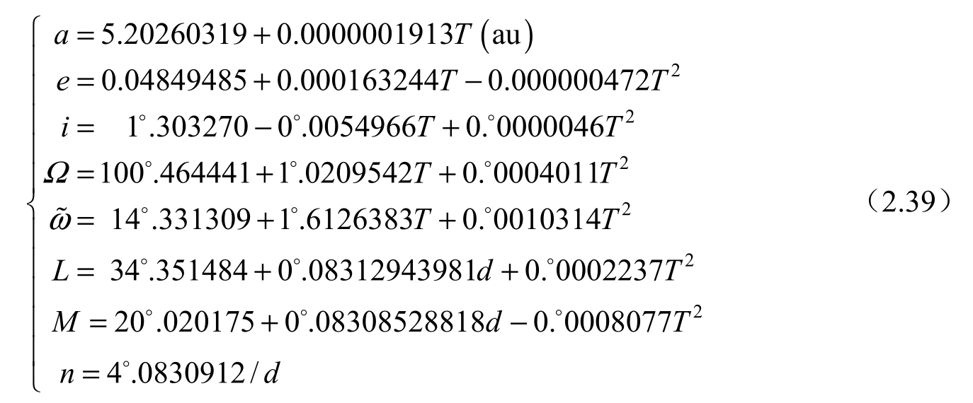
深空探测器的运动将涉及太阳系各大天体的星历,要获得这些大天体(这里指的太阳系主要天体,即八大行星和月球)的星历,有两条途径:一是高精度的数值历表,自2014年起,大行星的基本历表采用 DE421 ,这可从网上直接调用;另一是由大行星轨道变化的摄动分析解计算公式提供。为了轨道力学问题研究中的某些需要,作为参考,下面列出平均轨道根数的一种近似计算公式,均为J2000.0日心黄道坐标系中的数据,引自本章参考文献[7];如需更高精度的分析公式,可查阅参考文献[8]。
水星的平均轨道根数为
金星的平均轨道根数为
地球的平均轨道根数为
火星的平均轨道根数为
木星的平均轨道根数为
土星的平均轨道根数为
天王星的平均轨道根数为
海王星的平均轨道根数为
上述轨道根数
分别为轨道半长径、偏心率、倾角、升交点经度、近日点经度和平经度。au=1.495 978 707 00×10
11
m 是距离的天文单位。
的定义如下
其中n是各大行星绕日运行的平运动角速度,μ是各大行星的引力常数,m即各大行星的质量,而S是太阳的质量。各式中的时间单位d和T是自J2000.0起算的时刻t对应的儒略日和儒略世纪数,有
月球在J2000.0地心黄道坐标系中平均轨道根数的近似计算公式为
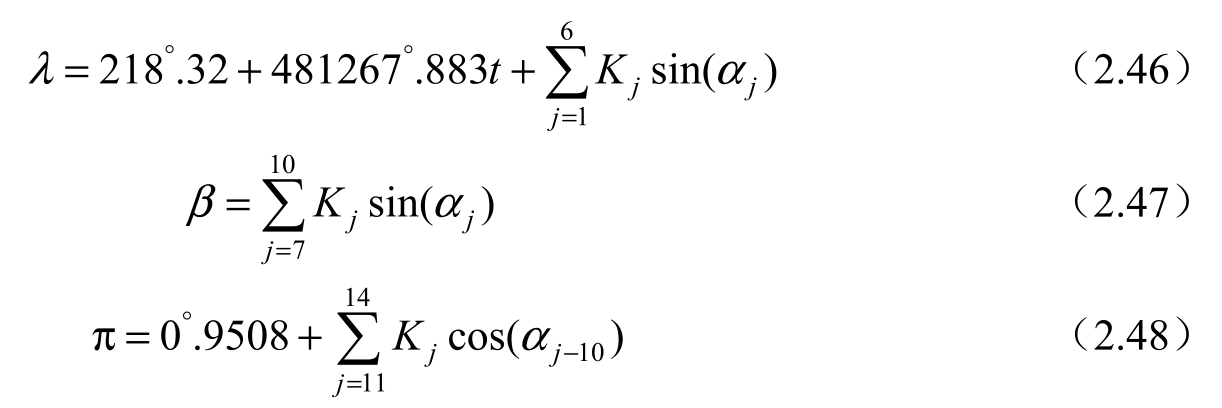
对于月球,由于其轨道摄动变化较大,最大的周期项振幅可达2×10 -2 ,故由上述平均轨道根数给出的位置精度较低。另有一种精度稍高的半分析历表,即考虑了主要周期项的星历计算方法,下面做一简单介绍。
首先计算月球的地心黄道坐标(λ,β,π),公式如下
其中系数K j 和幅角α j 分别为
由上述(λ,β,π)计算月球的地心赤道坐标
=(X,Y,Z):
这是瞬时平赤道坐标系中的位置矢量。相应的历元J2000.0地心平赤道坐标系中的位置矢量
需经岁差改正,有
式中岁差矩阵(PR)见本章参考文献[1]的第8章。上述各式中出现的t即式(2.44)给出的T。这一半分析方法给出的位置精度
可达10
-3
。