



根据 IAU 地图坐标及旋转参数工作组向 IAU(国际天文联合会)大会递交的工作报告,给出了各大天体的体固坐标系与J2000.0天球坐标系之间的转换关系。以图2.4表示这一天体定向模型,图中,α 0 ,δ 0 分别是天体平北极的赤经、赤纬,W是距春分点90 ° +α 0 的节点方向Q至天体本初子午线方向B的角距。该天体定向模型,把各天体的天球坐标系、体固坐标系直接与地球的天球坐标系、体固坐标系联系起来,引用方便。关于该系统的详细说明,见本书 附录2 。
图2.4 天体的定向模型
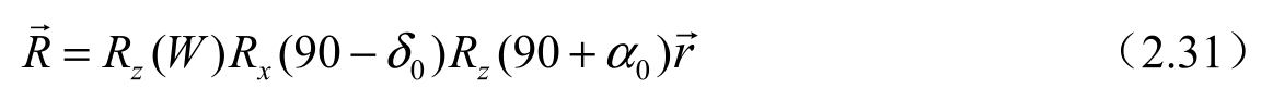
引用上述定向模型,从J2000.0天球坐标系(实为ICRF,下同)
到体固坐标系
的转换关系就可表示为
其中旋转矩阵R x,y,z (θ)的定义见式(2.28)~式(2.30)。
以火星为例,IAU2000天体定向模型给出了因岁差原因火星平天极在火心天球坐标系(注意,该坐标系的x-y坐标面是J2000.0的地球赤道面,即图2.4中的ICRF equator)中的赤经、赤纬计算公式,即
T即前面定义的自J2000.0起算的时刻t对应的儒略世纪数。式(2.32)表达的是类似地球平天极的长期(长周期)变化,对于J2000.0历元,有
此为火星历元平极在火心天球坐标系中的指向。
在上述定义下,火星自转角将由图2.4中的W(QB弧)定义,即从Q点向东计量至B点(火星本初子午线方向,相当于火星上的格林尼治方向),可以将角度W看作火星上的格林尼治恒星时,由于没有考虑火星自转的章动效应,故不再区分真恒星时和平恒星时。IAU2000模型给出火星的自转矩阵为
d即自J2000.0起算的儒略日。
上述选择容易与地球坐标系统相连,这对处理火星探测器的轨道问题,包括发射轨道和环火运行轨道及其有关问题都很方便。同样,对于太阳系其他大天体的探测而言,也可采用IAU2000天体定向模型来处理类似问题,相关数据详见本书附录2。
关于地球和月球,除上述 IAU 工作组的定义之外,各自都另有一套高精度的坐标转换方案,考虑了地球的岁差、章动和月球的物理天平动等因素导致的变化,这在本套专著的第2本 [4] 和本章参考文献[6]中有相应的论述。