



航天器的轨道运动是一个动力学问题,处理一个具体的动力学问题,首先需要选择适当的时空参考系。太阳系探测中,各类航天器的运行轨道将涉及地球参考系、月球参考系、各大行星参考系及日心参考系等。在定轨工作的具体计算中,首先要确定的就是时空参考系。关于太阳系中基本参考系的有关内容,在本系列专著“航天器轨道力学理论与工程应用”的第一本——《参考坐标系及航天应用》(黄珹、刘林著) [1] 中已作了全面的论述,特别是第3、4和8章,阐述了天文参考系与航天应用的联系,本书将直接引用相关内容,但为了使读者能够顺畅地阅读本书,在某些章节中会有必要的“重复”。
参考系包括:①一套理论和数据处理方法;②一组模型和常数;③一个对应的参考架。例如,目前国际上通用的ⅠERS(Ⅰnternational Earth Rotation and Reference System Service)的国际天球参考系(ⅠCRS)包括:①ⅠERS的天球参考架,即国际天球参考架(ⅠCRF);②确定该参考架所采用的一组模型常数,即ⅠERS 规范;③确定该参考架参考点(河外射电源或光学对应体)坐标值的一套理论和数据处理方法。参考系是多方因素组成的系统,例如国际天球参考系(ⅠCRS),它的原点在太阳系的质心,采用一组精确测量的河外射电源的坐标实现其坐标轴的指向,其基本平面(XY平面)接近J2000.0平赤道,X坐标轴指向接近J2000.0平春分点。
与参考系对应的坐标系是用于描述物体位置、运动和姿态的一种数学工具。对于欧氏空间,坐标系的定义包括三个要素:坐标原点的位置、坐标轴的指向、坐标尺度。坐标系是理论定义的,因而没有误差可言。坐标系之间的转换关系包括坐标原点间的平移、坐标轴方向的旋转及坐标尺度的调整。
参考架是数学上定义的坐标系的物理实现,它通过一定数量的物理点的标定坐标来实现,由标定了坐标值的一组物理点组成的框架称为参考架。国际天球参考架(ⅠCRF)作为国际天球参考系(ⅠCRS)的实现,由一组精确测量的河外射电源的坐标实现其坐标轴的指向,并确定了212颗定义源作为定标的基准和坐标网格,这些河外射电源非常遥远,因此可以自行忽略。尽管如此,射电源的结构不稳定,仍会导致参考架的不稳定,因此需要长期监测。而在光学波段由依巴谷星表(Hipparcos)给予实现,并将其命名为依巴谷天球参考架(HCRF)。有了参考架,其他天体的位置可以相对于这个框架加以描述,天体的位置及其变化才有真正定量的描述。
总之,坐标系是理论概念的数学表示,参考架是坐标系的物理实现,参考系是包含理论概念和物理实体(参考架)的综合系统。
尽管参考系与坐标系在概念上有所区别,但在航天应用中,并在不引起误解的情况下,一般就混用参考系与坐标系这两种称谓。
对于航天应用来说,有两个基本坐标系是必需的,即基本天球坐标系和基本地球坐标系。基本天球坐标系用于描述航天器或太阳系各天体的位置和运动,基本地球坐标系用于描述地球探测器的位置和运动及基于地球的观测描述。
为描述天体和航天器在空间的位置和运动,需要在空间定义这样一个坐标系:其原点在太阳系(或地球)质心,坐标标架相对于遥远的天体背景的整体没有旋转。如果这样的坐标系得以实现,就认为,相对于这个坐标系所描述的物体的运动属于该物体本身相对于太阳系质心系(或地心系)的运动。通常将符合这种要求的天球赤道坐标系称为基本天球坐标系,并用符号FCCS(Fundamental Celestial Coordinate System)表示。其他各种在实际应用中导出的天球坐标系都要与基本天球坐标系发生联系。
同时,为描述测站在地球上的位置和运动,需要在地球本体内定义这样一个坐标系:其原点在地球总质量(含流体部分)的质心,其标架相对于地球的平均岩石圈整体没有旋转。如果这样的坐标系得以实现,就认为,相对于这个坐标系描述的测站的运动属于该测站自身的运动,而这个坐标系相对于基本天球坐标系的运动是地球质心的平动和绕质心的自转运动。本套专著就将符合这种要求的地球赤道坐标系称为基本地球坐标系,并用符号 FTCS (Fundamental Terrestrial Coordinate System)表示。其他各种在实际应用中导出的地球坐标系都要与基本地球坐标系建立联系。
基本天球坐标系(FCCS)和基本地球坐标系(FTCS),它们的基本面(或基本方向)都和地球的动力学平面(或动力学轴)相联系。由于地球的各动力学轴的方向(自转角速度方向、自转角动量方向、最大惯量矩方向和轨道角动量方向)无论相对于空间还是相对于地球本体都存在着复杂的运动,为实现基本坐标系,需要精确描述瞬时动力学轴的运动规律,给出瞬时坐标系和基本坐标系间的转换关系,这在本套专著第一本《参考坐标系及航天应用》 [1] 的第3、4章和第5章中有详细介绍,本书只是从实际应用角度直接引用。
上述基本坐标系只是一个理想的物理定义,而依赖实体参考架实现的是全局的国际天球参考系(ⅠCRS)和局部的地心天球参考系(GCRS),前者坐标原点在太阳系质心,而后者的坐标原点从太阳系质心移至地球质心。还有国际地球参考系(ⅠTRS),它是一种协议地球参考系(CTRS),即通常所说的地固参考系,目前仍符合WGS84地球引力场系统。
特别要说明一点:考虑到参考系的延续性,ⅠCRS 的坐标轴与 FK5 参考系在J2000.0历元需尽量保持接近。ⅠCRS 的基本平面由ⅤLBⅠ观测确定,它的极与动力学参考系的极之间的偏差大约为20 mas,导致这个偏差的原因比较复杂。ⅠCRS和FK5参考系(即J2000.0 平赤道参考系)的关系由三个参数决定:天极的偏差ξ 0 和η 0 及经度零点差dα 0 。其值分别为
 
   于是ⅠCRS 和 J2000.0 平赤道参考系的关系可以写为
 
   
    其中,常数矩阵B=R
    
     1
    
    (-η
    
     0
    
    )R
    
     2
    
    (ξ
    
     0
    
    )R
    
     3
    
    (dα
    
     0
    
    ),称为参考架偏差矩阵,由三个小角度旋转组成;
     是同一个单位矢量在不同参考系中的表示。在目前航天领域中,上述参考架偏差甚小,通常无须考虑,因此,本书将不再区分ⅠCRS 和FK5参考系,都理解为J2000.0平赤道参考系。那么,基本参考系就归结为:ⅠCRS、GCRS和ⅠTRS,即国际天球参考系、地心天球参考系和地固参考系。
    是同一个单位矢量在不同参考系中的表示。在目前航天领域中,上述参考架偏差甚小,通常无须考虑,因此,本书将不再区分ⅠCRS 和FK5参考系,都理解为J2000.0平赤道参考系。那么,基本参考系就归结为:ⅠCRS、GCRS和ⅠTRS,即国际天球参考系、地心天球参考系和地固参考系。
   
在上述天球和地球两个参考系中,用作历表和动力学方程的时间变量基准是 质心力学时 (Barycentric Dynamical Time,TDB)和 地球时 (Terrestrial Time,TT)。关于地球时,曾经称为地球动力学时(TDT),1991 年后改称为地球时(TT)。两种动力学时的差别是由相对论效应引起的,它们之间的转换关系由引力理论确定。就实际应用而言,在2000年ⅠAU决议给出了两者之间的转换公式,即
 
   其中,g 是地球绕日运行轨道的平近点角,(L-L J )是太阳平黄经与木星平黄经之差,可由下式计算,即
 
   其中,JD (t)是时刻t对应的儒略日,其含义将在本节最后介绍。式(1.1)的适用时段为 1980-2050 年,误差不超过30μs (微秒)。在地面附近,如果精确到毫秒量级,则近似值为
 
   在新的时空参考系下,已采用ⅠAU 2009天文常数系统(见《参考坐标系及航天应用》 [1] 一书的第3章3.5节),其中天文单位au采用了ⅠAU 2012年决议,它与长度单位m(米)直接联系起来,不再沿用过去的相对定义方法,该值就是ⅠAU 2009天文常数系统中的值,即
 
   关于时间基准,具体实现地球时(TT)的是原子时。用原子振荡周期作为计时标准的原子钟出现于1949年。1967年第十三届国际度量衡会议规定铯133原子基态的两个超精细能级在零磁场下跃迁辐射振荡9 192 631 770周所持续的时间为一个国际制秒,作为计时的基本尺度。以国际制秒为单位,1958年1月1日世界时0时为原点的连续计时系统称为原子时,简写为 TAI (法文 Temps AtomiqueⅠnternational的缩写)。从1971 年起,原子时由设在法国巴黎的国际度量局(BⅠPM)根据遍布世界各地的50多个国家计时实验室的200多座原子钟的测量数据加权平均得到并发布。原子时和地球时只有原点之差,两者的换算关系为
 
   原子时是当今最均匀的计时基准,其精度已接近10 -16 s (秒),10 亿年内的误差不超过1s。
在地球上研究各种天体(包括各类人造天体)的运动问题,既需要一个反映天体运动过程的均匀时间尺度,又需要一个反映地面观测站位置(与地球自转有关)的测量时间系统。采用原子时作为计时基准前,地球自转曾长期作为这两种时间系统的统一基准。但由于地球自转的不均匀性和测量精度的不断提高,问题也复杂化了,既要有一个均匀时间基准,又要与地球自转相协调(联系到对天体的测量)。因此,除均匀的原子时计时基准外,还需要一个与地球自转相连的时间系统,以及如何解决两种时间系统之间的协调机制。
(1)恒星时(ST)。春分点连续两次过中天的时间间隔称为一“恒星日”,那么,恒星时就是春分点的时角,它的数值S等于上中天恒星的赤经α,即
 
   这是经度为λ(不要与黄经混淆)处的地方恒星时。与下述世界时密切相关的格林尼治(Greenwich)恒星时S G 为
 
   格林尼治恒星时有真恒星时(GST)与平恒星时(GMST)之分。恒星时是由地球自转所确定,那么地球自转的不均匀性就可通过它与均匀时间尺度的差别来测定。
(2)世界时(UT)。与恒星时相同,世界时也是根据地球自转测定的时间,以平太阳日为单位,1/86 400平太阳日为秒长。根据天文观测直接测定的世界时,记为UT0,对应于瞬时极的子午圈。加上引起测站子午圈位置变化的地极移动(极移)的修正,就得到对应平均极的子午圈的世界时,记为UT1,即
 
   Δλ是极移改正量。
由于地球自转的不均匀性,UT1并不是均匀的时间尺度。而地球自转的不均匀性呈现三种特性:长期慢变化(每百年使日长增加1.6μs)、周期变化(主要是季节变化,一年里日长约有0.001s的变化,除此之外还有一些影响较小的周期变化)和不规则变化。这三种变化不易修正,只有周年变化可根据多年实测结果给出的经验公式进行改正,改正值记为ΔT s ,由此引进世界时UT2,即
 
   相对而言,这是一个比较均匀的时间尺度,但它仍包含着地球自转的长期变化和不规则变化,特别是不规则变化,其物理机制尚不清楚,至今无法改正。
周期项ΔT s 的振幅并不大,而UT1又直接与地球瞬时位置相关联,因此,对于过去一般精度要求不太高的问题,就用 UT1 作为统一的时间系统。而对于高精度问题,即使 UT2 也不能满足,必须寻求更均匀的时间尺度,故有必要引进原子时(TAI)作为计时基准。
国际原子时作为计时基准(TAI)的起算点靠近1958年1月1日的UT2的0时,有
 
   因上述原子时(TAI)是在地心参考系中定义的具有国际单位制秒长的坐标时间基准,从1984年起,它就取代历书时(ET)正式作为动力学中所要求的均匀时间尺度。由此引入地球动力学时(TDT),1991年后改称地球时(TT),它与原子时(TAI)的关系是根据1977年1月1日00 h 00 m 00 s (TAI)对应TDT为1977年1月1 d .000 372 5而来。此起始历元的差别就是该时刻历书时与原子时的差别,这样定义起始历元就便于用TT系统代替ET系统。
(3)协调世界时(UTC)。有了均匀的时间系统,只能解决对精度要求日益增高的历书时的要求,也就是时间间隔对尺度的均匀要求,但它无法代替与地球自转相连的不均匀的时间系统,必须建立两种时间系统的协调机制,这就引进了协调世界时(UTC)。尽管这带来一些麻烦,国际上一直有各种争论和建议,但至今仍未定论,结果仍是保留两种时间系统,因它们各有各的用途。
上述两种时间系统,00.0000000000000000在1958年1月1日世界时零时,TAI与UT1之差约为零,即(UT1-TAI) 1958.0 =+0 s .0039。如果不加处理,由于地球自转长期变慢,这一差别将愈来愈大,会导致一些不便。针对这种现状,为了兼顾对世界时时刻和原子时秒长的两种需要,国际时间“机构”引入第三种时间系统,即协调世界时(UTC)。该时间系统仍然是一种“均匀”时间系统,其秒长与原子时秒长一致,而在时刻上则要求尽量与世界时接近。从1972年起规定两者的差值保持在±0 s .9以内。为此,可能在每年的年中或年底对UTC作一整秒的调整(即拨慢1秒,也叫闰秒),具体调整由国际时间局根据天文观测资料作出规定,读者可以在EOP的网站上得到相关的和最新的调整信息。到2012年7月1日为止,已调整35 s ,根据ⅠERS(国际地球自转服务)最新公报,将在2015年6月30日最后一秒后引入闰秒,届时将有
 
   由UTC到UT1的具体换算过程是:首先从EOP网站下载最新的EOP数据(对于过去距离现在超过一个月的时间,采用B报数据,对于其他时间则采用A报数据),内插得到ΔUT,然后按下式计算即得到UT1,即
 
   通常给出的测量数据对应的时刻t,如不加说明,均为协调世界时(UTC),这是国际惯例。
除上述时间系统外,在计算中常常会遇到历元的取法及几种年的长度问题。一种是贝塞耳(Bessel)年,或称假年,其长度为平回归年的长度,即365.242 198 8平太阳日。常用的贝塞耳历元是指太阳平黄经等于280 ° 的时刻,例如 1950.0,并不是1950年1月1日0时,而是1949年12月31日22 h 09 m 42 s (世界时),相应的儒略(Julian)日为2 433 282.423 4。另一种就是儒略年,其长度为365.25平太阳日。儒略历元是指真正的年初,例如1950.0,即1950年1月1日0时。显然,引用儒略年较为方便。因此,从1984年起,贝塞耳年被儒略年代替。这两种历元之间的对应关系见表1.1。
表1.1 两种历元的儒略日
 
   为了方便和缩短有效字长,常用简约儒略日(MJD),定义为
 
   例如,JD(1950.0)对应MJD为33 282.0。与上述两种年的长度对应的回归世纪(即100年)和儒略世纪的长度分别为36 524.22平太阳日和36 525平太阳日。
相对太阳系,研究天体运动常采用的空间坐标系主要有三类:地平坐标系、赤道坐标系和黄道坐标系,无论是从地球上处理问题,还是从其他星球(大行星和月球等)上处理同类问题,都是如此。一个空间坐标系应包含三个要素:坐标原点、参考平面(xy坐标面)和该平面的主方向(x轴方向)。首先相对地球,分别介绍上述三类坐标系的具体定义。
地平坐标系(Horizontal System)。确切地说应该是站心地平坐标系,坐标原点为观测站“中心”(或采样点),参考平面为过站心与地球参考椭球体相切的平面(地平面),其主方向是地平面中朝北的方向,即天球上的北点(N)方向,该坐标系的z轴方向即天球上的天顶(Z)方向,见图1.1。
赤道坐标系(Equatorial System)。该坐标系又分为站心赤道坐标系和地心赤道坐标系。前者的原点是站心,后者则是地心,参考平面是地球赤道面,但要注意,对于站心赤道坐标系,参考平面与地球赤道面平行,而在天球上两者合一,主方向相同。因此,这两个坐标系之间只是一个平移关系。
黄道坐标系(Ecliptic System),可分为地心黄道坐标系和日心黄道坐标系。坐标原点分别为地心和日心,参考平面都是地球绕日运动的轨道面,即黄道面,而主方向仍是“春分点”方向。
地平坐标系与赤道坐标系之间、赤道坐标系与黄道坐标系之间的几何关系分别如图1.1和图1.2所示,图中各符号均为天文领域中的常用符号,在此不再加以说明。
 
    图1.1 地平坐标系与赤道坐标系
 
    图1.2 赤道坐标系与黄道坐标系
    若在地平坐标系、地心赤道坐标系和日心黄道坐标系三个坐标系中,将天体的坐标矢量分别记为
     ,则相应的球坐标分别为ρ,A,h(或E)和r,α,δ及R,λ,β。其中,ρ,r和R各为天体到坐标原点的距离;A为地平经度,从北点沿地平经圈向东点(与图1.1中西点W相对)(顺时针方向计量;h为地平高度(或称高度角 E),它与天顶距z的关系为h=90°-z;α为赤经,从春分点方向沿赤道向东计量;δ是赤纬;λ是黄经,从春分点方向沿黄道向东计量;β是黄纬。在各自对应的直角坐标系中,有下列关系存在,即
    ,则相应的球坐标分别为ρ,A,h(或E)和r,α,δ及R,λ,β。其中,ρ,r和R各为天体到坐标原点的距离;A为地平经度,从北点沿地平经圈向东点(与图1.1中西点W相对)(顺时针方向计量;h为地平高度(或称高度角 E),它与天顶距z的关系为h=90°-z;α为赤经,从春分点方向沿赤道向东计量;δ是赤纬;λ是黄经,从春分点方向沿黄道向东计量;β是黄纬。在各自对应的直角坐标系中,有下列关系存在,即
   
 
   关于地平经度A的度量,也有从南点(S)沿地平经圈向东逆时针方向计量的,请读者注意测量数据的说明,在此定义下,相应的表达式则改为
 
   
    站心赤道坐标系和地心黄道坐标系中的位置矢量用
     表示,相应的表达式中与
    表示,相应的表达式中与
     相同,但需要将r改为r′,R改为R′,α,δ和λ,β应理解为站心赤道坐标和地心黄道坐标。
    相同,但需要将r改为r′,R改为R′,α,δ和λ,β应理解为站心赤道坐标和地心黄道坐标。
   
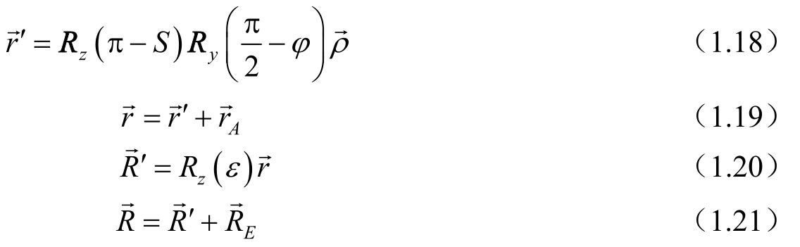
上述几种坐标系之间的转换关系是简单的,仅涉及平移和旋转,有
 
   
    其中,φ是测站的天文纬度,S是春分点的时角,即测站的地方恒星时(见图1.1),
     是测站的地心坐标矢量,ε是黄赤交角,
    是测站的地心坐标矢量,ε是黄赤交角,
     是地心的日心坐标矢量。上述坐标转换中涉及的旋转矩阵由下式表示,即
    是地心的日心坐标矢量。上述坐标转换中涉及的旋转矩阵由下式表示,即
   
 
   对于太阳系动力学,讨论大行星和小行星的运动时,采用的是日心黄道坐标系,而在环绕型航天器轨道动力学中,采用的则是中心天体的质心赤道坐标系,如地心赤道坐标系、月心赤道坐标系,火心赤道坐标系等。这些带有具体应用背景的实用坐标系,都要与基本天球坐标系(FCCS)和基本地球坐标系(FTCS)建立联系,更确切地说,要与国际天球参考系(ⅠCRS)和国际地球参考系(ⅠTRS)建立联系。下面三节将针对当今空间探测的主要对象——地球、月球和火星,分别介绍地球坐标系统、月球坐标系统和火星坐标系统。对于其他探测对象,如某个大行星或小行星,会有相应的定义、转换规则和具体实现方法。如果读者对地球、月球和火星三个坐标系统和转换关系有清晰的概念,那么,对其他天体坐标系统的引入和具体转换就很容易理解。