



前面 2.2 和 2.3 两节是环绕型航天器定轨的理论基础,即相应的数学模型和解的存在状况,为构建定轨方法和计算软件提供理论依据,这一节将针对非环绕型航天器的定轨问题对相应的数学模型作必要的处理。
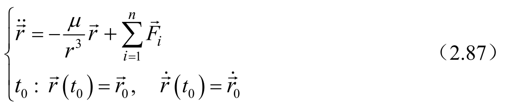
2.1 节中已指出:在现实的太阳系中,非环绕型航天器(包括各种深空探测器)的运行过程中,主要外力源有一个或两个,无法确定具体采用哪一类数学模型,而且即使可以考虑成具有两个主要外力源的数学模型——受摄限制性三体问题,从定轨方法来看,也没有实用价值,因为该模型不存在定轨所需要的分析解,仍然需要采用数值法才能解决问题。既然如此,那么就采用一般限制性(n+1)体问题模型,相应的运动归结为下列运动微分方程——常微初值问题,即
 
   
    其中,μ=GM是选定的中心天体的引力常数,坐标系的原点为在此中心天体的质心。所有其他外力源引起的加速度
     ,其大小不受任何限制。
    ,其大小不受任何限制。
   
尽管方程(2.87)对了解天体的运动特征,或寻找相应的求解方法,并无直接采用的价值,但这种表达方式在定轨问题的处理上却是不可少的,它不受特定运动类型的限制,有一种普适性。