



为了阐述内容的需要,将受摄二体问题运动方程(2.1)改写成
 
   
    其中,μ=G(M+m),M和m为各中心天体和运动天体的质量,对于环绕型航天器这类小天体而言,m=0。
     是摄动加速度,其形式由具体的摄动源所确定。以一般形式的运动方程(2.47)作为背景,讨论以其基本模型二体问题的积分常数(即轨道根数)的变化形式来表达相应的摄动运动方程。
    是摄动加速度,其形式由具体的摄动源所确定。以一般形式的运动方程(2.47)作为背景,讨论以其基本模型二体问题的积分常数(即轨道根数)的变化形式来表达相应的摄动运动方程。
   
    首先考虑无摄运动(即二体问题),此时
     ,相应的运动方程为
    ,相应的运动方程为
   
 
   前面 2.2 节已给出该问题的解,可归结为下列形式,即
 
   其中
 
   六个积分常数c 1 ,c 2 ,…,c 6 为六个轨道根数,对于椭圆运动,即a,e,i,Ω,ω,τ。
    回到方程(2.47),
     ,求解式(2.50)和式(2.51)当然不满足方程(2.47)。如果要使这一无摄运动解的形式仍满足受摄运动方程(2.47),则c
    
     1
    
    ,c
    
     2
    
    ,…,c
    
     6
    
    不再是常数,应为t的函数,这就是常微分方程求解中的常数变易法。根据这一原理导出的原积分常数c
    
     j
    
    (j=1,2,…,6)所满足的微分方程,即为通常所指的“摄动运动方程”。其建立过程简述如下。
    ,求解式(2.50)和式(2.51)当然不满足方程(2.47)。如果要使这一无摄运动解的形式仍满足受摄运动方程(2.47),则c
    
     1
    
    ,c
    
     2
    
    ,…,c
    
     6
    
    不再是常数,应为t的函数,这就是常微分方程求解中的常数变易法。根据这一原理导出的原积分常数c
    
     j
    
    (j=1,2,…,6)所满足的微分方程,即为通常所指的“摄动运动方程”。其建立过程简述如下。
   
对式(2.50)t求导数得
 
   由于要求式(2.51)亦满足受摄运动方程,故有
 
   此时再对t求一次导数,并让其满足受摄运动方程(2.47),即
 
   
    而
     ,由此可知,常数变易的两个条件应为
    ,由此可知,常数变易的两个条件应为
   
 
   
    这是关于
     所满足的线型代数方程组,其中系数
    所满足的线型代数方程组,其中系数
     和
    和
     都是c
    
     j
    
    和 t 的已知函数,其偏导数
    都是c
    
     j
    
    和 t 的已知函数,其偏导数
     均容易给出。原则上可由这一方程组导出
    均容易给出。原则上可由这一方程组导出
     的形式为
    的形式为
   
 
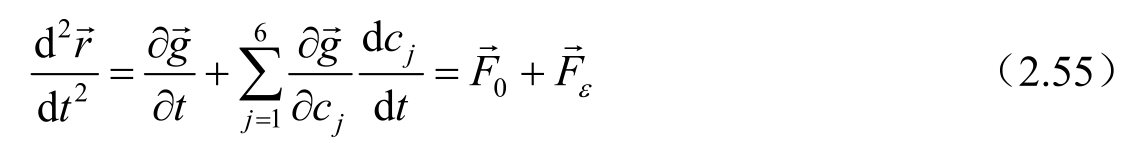
   此即所需要的摄动运动方程,具体推导细节无需在此阐明,下面将直接给出方程(2.57)的具体形式。
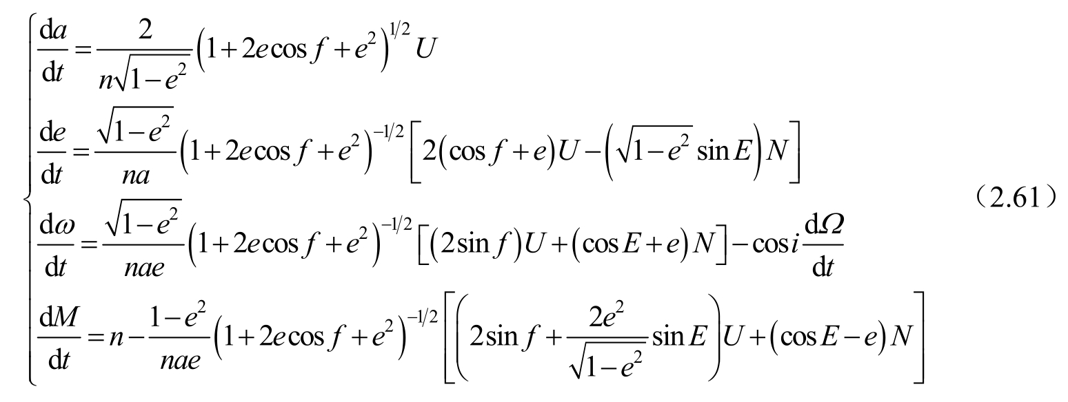
摄动运动方程有如下几种常用形式。
 型
    型
   如果摄动源是保守力,如天体引力,则存在相应的梯度函数,称为摄动函数,常用符号R表示,即
 
   对存在R的情况,利用上述常数变易原理导出的方程(2.57),称为拉格朗日(Lagrange)型摄动运动方程,简称摄动运动方程,其具体形式,即
 
   
    摄动运动方程(2.59)有一明显特点:在前三个方程的右端项中,只涉及
     ,而在后三个方程的右端项中却只涉及
    ,而在后三个方程的右端项中却只涉及
     ,具有一种“对称性”,这也是三个角变量Ω,ω,M与三个角动量a,e,i之间的差别,特别是角变量中的快变量M,其变化的快慢主要由运动天体的平运动角速度
    ,具有一种“对称性”,这也是三个角变量Ω,ω,M与三个角动量a,e,i之间的差别,特别是角变量中的快变量M,其变化的快慢主要由运动天体的平运动角速度
     所确定。
    所确定。
   
    在上述摄动运动方程的建立中,第六个根数没有选择运动天体过近星点的时刻τ,亦未像某些天体力学书籍中选择
     ,而是选择了平近点角M。其原因很简单,一是因为在受摄运动中,τ和M
    
     0
    
    都是变化的,已无实用意义,而平近点角M的意义仍是明确的,引用方便;二是因为M=n(t-τ),它是两个根数a和τ的组合,在相应的摄动运动方程中出现的∂R ∂a就不再涉及R中通过M隐含a的问题,此时M本身是独立的,这就不会引起考虑相应问题的麻烦。
    ,而是选择了平近点角M。其原因很简单,一是因为在受摄运动中,τ和M
    
     0
    
    都是变化的,已无实用意义,而平近点角M的意义仍是明确的,引用方便;二是因为M=n(t-τ),它是两个根数a和τ的组合,在相应的摄动运动方程中出现的∂R ∂a就不再涉及R中通过M隐含a的问题,此时M本身是独立的,这就不会引起考虑相应问题的麻烦。
   
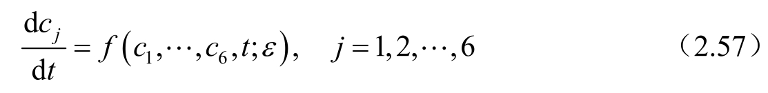
    在有些情况下,摄动力并非保守力,即便是保守力,亦可采用摄动加速度分量的形式来建立相应的摄动运动方程。通常是将
     分解成径向、横向和轨道面法向三个分量,依次记为S,T,W;或分解成切向、主法向和次法向(即轨道面法向)三个分量,分别记为U,N,W。这两种形式统称为高斯(Gauss)型摄动运动方程,具体形式分别如下。
    分解成径向、横向和轨道面法向三个分量,依次记为S,T,W;或分解成切向、主法向和次法向(即轨道面法向)三个分量,分别记为U,N,W。这两种形式统称为高斯(Gauss)型摄动运动方程,具体形式分别如下。
   
(S,T,W)型具体形式为
 
   其中,u=f+ω,p=a(1-e 2 ),f 和E分别为真近点角和偏近点角。
(U,N,W)型具体形式为
 
   
     与前面相同。
    与前面相同。
   
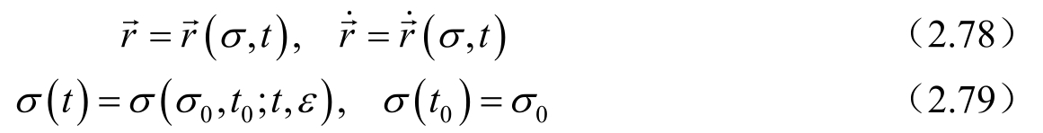
关于S,T,W 三分量如何给出,这要根据具体摄动源的状况而定。如果不易直接给出,那么当摄动力是保守力,并已知摄动函数R的形式,则可由下列关系式给出S,T,W,即
 
   
    如果
     的直角坐标分量
    的直角坐标分量
     容易给出,则可由下列转换关系,即
    容易给出,则可由下列转换关系,即
   
 
   导出S,T,W,转换矩阵( ZH )由三次旋转构成:( ZH )= R z (u) R x (i) R z (Ω),就是前面的逆变换,其具体形式为
 
   
    于是,由
     到(S,T,W)的转换公式即可写成
    到(S,T,W)的转换公式即可写成
   
 
   
    其中,
     分别为径向、横向和轨道面法向单位矢量,有
    分别为径向、横向和轨道面法向单位矢量,有
   
 
   
    这里的
     与第2章中的
    与第2章中的
     方向不同,其表达式为
    方向不同,其表达式为
   
 
   (S,T)与(U,N)之间的转换关系为 [5,6]
 
   因此,方程(2.61)很容易由方程(2.60)导出。
    从摄动运动方程(2.59)可以看出,
     的右端含有因子
    的右端含有因子
     的右端含有
    的右端含有
     ,因此,e=0和sin i=0(即i=0或180
    
     °
    
    )是摄动运动方程的奇点。它将在后面几章给出的摄动解中反映出来,当e≈0,i≈0或180
    
     °
    
    时,解就将失效,但是,相应的运动仍然是正常的,例如近圆轨道显然是存在的。这一小e、小i问题的产生,是由于相应的基本变量的选择不当引起的。因为当e=0时,ω不确定,与之有关的M 也随之不确定;而当e=0或180
    
     °
    
    时,Ω不确定,与之有关的ω亦随之不确定。这种变量的选择不当,在上述方程中必然要反映出来,只要对相应变量的选择加以修改,即可消除上述奇点。
    ,因此,e=0和sin i=0(即i=0或180
    
     °
    
    )是摄动运动方程的奇点。它将在后面几章给出的摄动解中反映出来,当e≈0,i≈0或180
    
     °
    
    时,解就将失效,但是,相应的运动仍然是正常的,例如近圆轨道显然是存在的。这一小e、小i问题的产生,是由于相应的基本变量的选择不当引起的。因为当e=0时,ω不确定,与之有关的M 也随之不确定;而当e=0或180
    
     °
    
    时,Ω不确定,与之有关的ω亦随之不确定。这种变量的选择不当,在上述方程中必然要反映出来,只要对相应变量的选择加以修改,即可消除上述奇点。
   
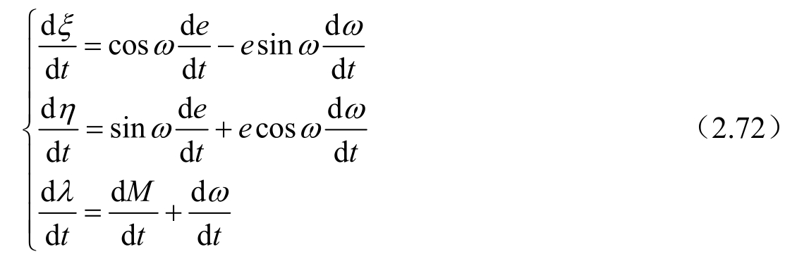
引进下述变量
 
   对e=0而言是一组无奇点变量,显然,当e=0时,ξ,η,λ均是有意义的。
按公式(2.71)和下列关系
 
   即可利用原方程(2.59)导出以新变量表达的无奇点摄动运动方程,具体形式略。
下述变量
 
   对i=0而言是一组无奇点变量,显然,当i=0时,h,k,ω~是有意义的。一般不会出现i=180 ° 的情况,而同时出现e=0和i=0的情况是有的,为此引进下述无奇点变量,即
 
   经常数变易法的处理,原受摄运动方程,即
 
   的求解问题已转化为相应的摄动运动方程,即
 
   的求解问题。这里σ表示一6维矢量,6个分量即瞬时轨道根数,或2.3.2小节引进的无奇点变量。右函数 f ε 则是6维矢量函数,有
 
   原受摄运动问题的解将由两部分组成,即
 
   
    其中,
     的表达式是已知的,即第
    
     2.2
    
    节中的式(2.37)和式(2.46),它们对应于一个瞬时椭圆,σ
    
     0
    
    为t
    
     0
    
    时刻椭圆根数或相应变量的初值。剩下的问题是如何求解小参数方程(2.76),得出摄动解σ(t)。
    的表达式是已知的,即第
    
     2.2
    
    节中的式(2.37)和式(2.46),它们对应于一个瞬时椭圆,σ
    
     0
    
    为t
    
     0
    
    时刻椭圆根数或相应变量的初值。剩下的问题是如何求解小参数方程(2.76),得出摄动解σ(t)。
   
尽管方程(2.76)是复杂的非线性方程组,但其右端为小量(对应小参数ε),给出相应的小参数幂级数解并不困难,已有成熟的方法,即摄动法。为了让读者深入了解摄动法的原理,以便在采用分析法定轨中可以正确地引用相关结果,有必要在天体力学基础上对小参数幂级数解的存在性以及如何构造相应级数解的基本过程作一简要阐述。
这是常微分方程分析理论中的一个基本问题。与天体力学密切相关的一个基本定理,即邦加雷(Poincare)定理,叙述如下。
设小参数方程为
 
   的右函数X i 当0≤t≤t 1 时,对 t 连续且可展为 x 及ε的收敛幂级数,则此方程组的解x i =f i (t,ε),当0≤t≤t 1 ,ε充分小时,可展为小参数ε的收敛幂级数,M满足下列条件,即
 
   式中,M是右函数X i 在所讨论区间上的最大值,α是与变量x i 有关的实数。
这一收敛条件可看成相应幂级数解的收敛范围,对于运动天体而言,可理解为该级数解在天体运动弧段s满足下列条件时是有意义的,即
 
   这里改用弧段s,是因为t涉及不同的时间尺度和运动速度的快慢,无“统一”的实际意义,这将会从后面几章的内容中看清。显然,摄动小参数ε愈小,幂级数解的收敛区间就愈大,这是容易理解的。在收敛区间内,可具体构造相应的幂级数解,这样构造的幂级数解虽然只能反映运动天体在局部时域的运动特征,但已能解决航天器运动的轨道问题。
为了使定轨方法和相应的软件适用各种轨道状态,通常都是采用消除各类奇点的拟平均根数法给出的相应的摄动分析解 [1,6~8] ,有如下形式,即
 
   
     是仅消除短周期项的拟平均根数,定义为
    是仅消除短周期项的拟平均根数,定义为
   
 
   关于大气阻力摄动和光压摄动中有关地影的处理等问题,将在后面第7章采用分析法定轨提供相应的分析解时再作必要的说明。